Landauer’s Principle in a Quantum Szilard Engine without Maxwell’s Demon
Abstract
1. Introduction
2. A Szilard Engine without Maxwell’s Demon?
3. Thermodynamics of a Demonless Quantum Szilard Engine under Confinement Effects
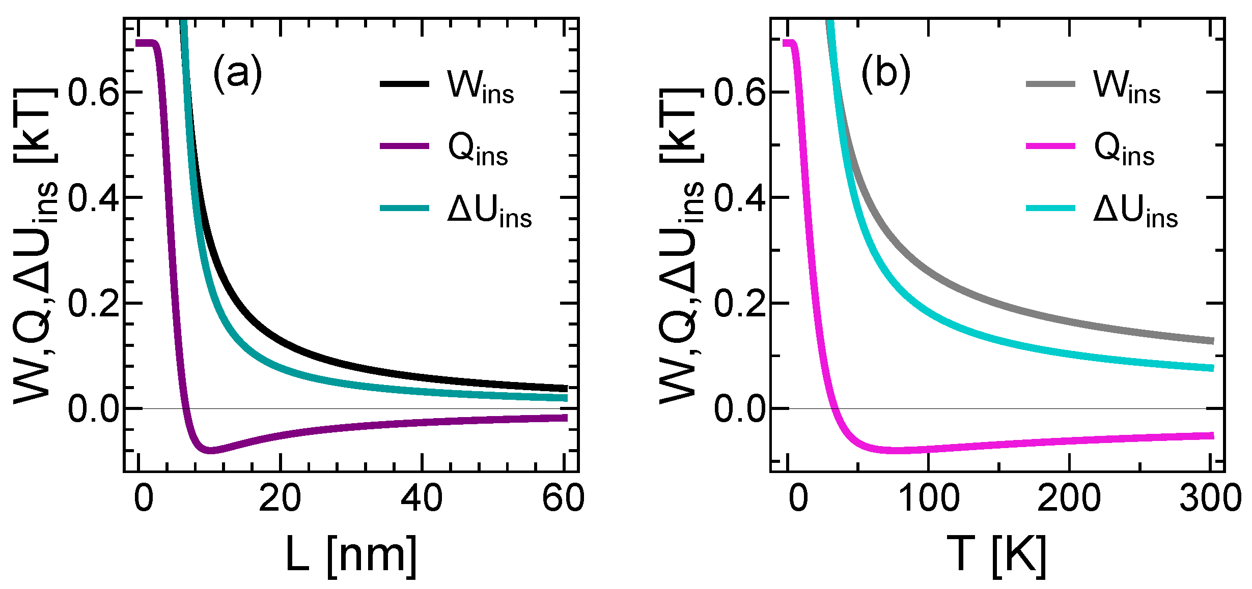
3.1. Step I: Creating Superposition by Insertion
3.2. Step II: Localization by Quantum Measurement
3.3. Step III: Work Extraction by Expansion
3.4. Step IV: Removal
4. Conclusions and Future Work
Author Contributions
Funding
Acknowledgments
Conflicts of Interest
Appendix A. Analytical Expressions for Work, Heat and Energy Exchanges
References
- Goold, J.; Huber, M.; Riera, A.; del Rio, L.; Skrzypczyk, P. The role of quantum information in thermodynamics- a topical review. J. Phys. A Math. Theor. 2016, 49, 143001. [Google Scholar] [CrossRef]
- Maxwell, J.C. Theory of Heat; Longmans: London, UK, 1871. [Google Scholar]
- Smoluchowski, M. Experimentell nachweisbare, der üblichen Thermodynamik widersprechende Molekularphanomene. Phys. Z. 1912, 13, 1069. [Google Scholar]
- Szilard, L. Über die Entropieverminderung in einem thermodynamischen System bei Eingriffen intelligenter Wesen. Z. Phys. 1929, 53, 840. [Google Scholar] [CrossRef]
- Maroney, O. Information Processing and Thermodynamic Entropy; Zalta, E.N., Ed.; The Stanford Encyclopedia of Philosophy: Stanford, CA, USA, 2009. [Google Scholar]
- Landauer, R. Irreversibility and Heat Generation in the Computing Process. IBM J. Res. Dev. 1961, 5, 183. [Google Scholar] [CrossRef]
- Penrose, O. Foundations of Statistical Mechanics; Pergamon Press: Oxford, UK, 1970. [Google Scholar]
- Bennett, C.H. The Thermodynamics of Computation—A Review. Int. J. Theor. Phys. 1982, 21, 905–940. [Google Scholar] [CrossRef]
- Piechocinska, B. Information erasure. Phys. Rev. A 2000, 61, 062314. [Google Scholar] [CrossRef]
- Maruyama, K.; Nori, F.; Vedral, V. Colloquium: The physics of Maxwell’s demon and information. Rev. Mod. Phys. 2009, 81, 1. [Google Scholar] [CrossRef]
- Zurek, W.H. Maxwell’s demon, Szilard’s engine and quantum measurements. In Frontiers of Nonequilibrium Statistical Physics; Moore, G., Scully, M., Eds.; Plenum Press: New York, NY, USA, 1986. [Google Scholar]
- Zurek, W.H. Eliminating ensembles from equilibrium statistical physics: Maxwell’s demon, Szilard’s engine, and thermodynamics via entanglement. Phys. Rep. 2018, 755, 1–21. [Google Scholar] [CrossRef]
- Biedenharn, L.C.; Solem, J.C. A Quantum-Mechanical Treatment of Szilard’s Engine: Implications for the Entropy of Information. Found. Phys. 1995, 25, 1221–1229. [Google Scholar] [CrossRef]
- Bender, C.M.; Brody, D.C.; Meister, B.K. Unusual quantum states: Non-locality, entropy, Maxwell’s demon and fractals. Proc. R. Soc. A 2005, 461, 733–753. [Google Scholar] [CrossRef]
- Parrondo, J.M.R. The Szilard engine revisited: Entropy, macroscopic randomness, and symmetry breaking phase transitions. Chaos 2001, 11, 725–733. [Google Scholar] [CrossRef] [PubMed]
- Parrondo, J.M.R. Universal features in the energetics of symmetry breaking. Nat. Phys. 2014, 10, 457–461. [Google Scholar]
- Alicki, R.; Horodecki, M. Information-thermodynamics link revisited. J. Phys. A Math. Theor. 2019, 52, 204001. [Google Scholar] [CrossRef]
- Lloyd, S. Quantum-mechanical Maxwell’s demon. Phys. Rev. A 1997, 56, 3374. [Google Scholar] [CrossRef]
- Kim, S.W.; Sagawa, T.; De Liberato, S.; Ueda, M. Quantum Szilard Engine. Phys. Rev. Lett. 2011, 106, 070401. [Google Scholar] [CrossRef]
- Plesch, M.; Dahlsten, O.; Goold, J.; Vedral, V. Maxwell’s Daemon: Information versus Particle Statistics. Sci. Rep. 2014, 4, 6995. [Google Scholar] [CrossRef]
- Bengtsson, J.; Tengstrand, M.N.; Wacker, A.; Samuelsson, P.; Ueda, M.; Linke, H.; Reimann, S.M. Quantum Szilard Engine with Attractively Interacting Bosons. Phys. Rev. Lett. 2018, 120, 100601. [Google Scholar] [CrossRef]
- Dong, H.; Xu, D.Z.; Cai, C.Y.; Sun, C.P. Quantum Maxwell’s demon in thermodynamic cycles. Phys. Rev. E 2011, 83, 061108. [Google Scholar] [CrossRef]
- Li, H.; Zou, J.; Li, J.G.; Shao, B.; Wu, L.A. Revisiting the quantum Szilard engine with fully quantum considerations. Ann. Phys. 2012, 327, 2955–2971. [Google Scholar] [CrossRef]
- Cai, C.Y.; Dong, H.; Sun, C.P. Multiparticle quantum Szilard engine with optimal cycles assisted by a Maxwell’s demon. Phys. Rev. E 2012, 85, 031114. [Google Scholar] [CrossRef]
- Naghiloo, M.; Alonso, J.J.; Romito, A.; Lutz, E.; Murch, K.W. Information Gain and Loss for a Quantum Maxwell’s Demon. Phys. Rev. Lett. 2018, 121, 030604. [Google Scholar] [CrossRef] [PubMed]
- Mohammady, M.H.; Anders, J. A quantum Szilard engine without heat from a thermal reservoir. New J. Phys. 2017, 19, 113026. [Google Scholar] [CrossRef]
- Toyabe, S.; Sagawa, T.; Ueda, M.; Muneyuki, E.; Sano, M. Experimental demonstration of information-to-energy conversion and validation of the generalized Jarzynski equality. Nat. Phys. 2010, 6, 988–992. [Google Scholar] [CrossRef]
- Berut, A.; Arakelyan, A.; Petrosyan, A.; Ciliberto, S.; Dillenschneider, R.; Lutz, E. Experimental verification of Landauer’s principle linking information and thermodynamics. Nature 2012, 483, 187–189. [Google Scholar] [CrossRef] [PubMed]
- Koski, J.V.; Maisi, V.F.; Pekola, J.P.; Averin, D.V. Experimental realization of a Szilard engine with a single electron. Proc. Natl. Acad. Sci. USA 2014, 111, 13786–13789. [Google Scholar] [CrossRef]
- Koski, J.V.; Kutvonen, A.; Khaymovich, I.M.; Ala-Nissila, T.; Pekola, J.P. On-Chip Maxwell’s Demon as an Information-Powered Refrigerator. Phys. Rev. Lett. 2015, 115, 260602. [Google Scholar] [CrossRef]
- Vidrighin, M.D.; Dahlsten, O.; Barbieri, M.; Kim, M.S.; Vedral, V.; Walmsley, I.A. Photonic Maxwell’s Demon. Phys. Rev. Lett. 2016, 116, 050401. [Google Scholar] [CrossRef]
- Cottet, N.; Jezouin, S.; Bretheau, L.; Campagne-Ibarcq, P.; Ficheux, Q.; Anders, J.; Auffèves, A.; Azouit, R.; Rouchon, P.; Huard, B. Observing a quantum Maxwell demon at work. Proc. Natl. Acad. Sci. USA 2017, 114, 7561–7564. [Google Scholar] [CrossRef]
- Yan, L.L.; Xiong, T.P.; Rehan, K.; Zhou, F.; Liang, D.F.; Chen, L.; Zhang, J.Q.; Yang, W.L.; Ma, Z.H.; Feng, M. Single-Atom Demonstration of the Quantum Landauer Principle. Phys. Rev. Lett. 2018, 120, 210601. [Google Scholar] [CrossRef]
- Plenio, M.B.; Vitelli, V. The physics of forgetting: Landauer’s erasure principle and information theory. Contemp. Phys. 2001, 42, 25–60. [Google Scholar] [CrossRef]
- Jauch, J.; Baron, J. Entropy, Information, and Szilard’s Paradox. Helv. Phys. Acta 1972, 45, 220. [Google Scholar]
- Hemmo, M.; Shenker, O.R. The Road to Maxwell’s Demon; Cambridge University Press: New York, NY, USA, 2012. [Google Scholar]
- Norton, J.D. All Shook Up: Fluctuations, Maxwell’s Demon and the Thermodynamics of Computation. Entropy 2013, 15, 4432–4483. [Google Scholar] [CrossRef]
- Earman, J.; Norton, J. Exorcist XIV: The wrath of Maxwell’s demon. Part I. From Maxwell to Szilard. Stud. Hist. Philos. Mod. Phys. 1998, 29, 435–472. [Google Scholar] [CrossRef]
- Earman, J.; Norton, J. Exorcist XIV: The wrath of Maxwell’s demon. Part II. From Szilard to Landauer. Stud. Hist. Philos. Mod. Phys. 1999, 30, 1–40. [Google Scholar] [CrossRef]
- Kish, L.B.; Granqvist, C.G. Electrical Maxwell Demon and Szilard Engine Utilizing Johnson Noise, Measurement, Logic and Control. PLoS ONE 2012, 7, e46800. [Google Scholar] [CrossRef]
- Magnasco, M.O. Szilard’s heat engine. EPL 1996, 33, 583. [Google Scholar] [CrossRef]
- Leff, H.S.; Rex, A.F. Maxwell’s Demon: Entropy, Information, Computing; Princeton University Press: Princeton, NJ, USA, 1990. [Google Scholar]
- Leff, H.S.; Rex, A.F. Maxwell’s Demon 2: Entropy, Classical and Quantum Information, Computing; Institute of Physics Publishing: Philadelphia, PA, USA, 2003. [Google Scholar]
- Berger, J. Szilard’s Demon Revisited. Int. J. Theor. Phys. 1990, 29, 985–995. [Google Scholar] [CrossRef]
- Numerical Simulations Are Implemented in COMSOL Multiphysics® Software. Available online: https://comsol.com/comsol-multiphysics (accessed on 5 July 2019).
- Sisman, A.; Ozturk, Z.; Firat, C. Quantum boundary layer: A non-uniform density distribution of an ideal gas in thermodynamic equilibrium. Phys. Lett. A 2007, 362, 16–20. [Google Scholar] [CrossRef]
- Firat, C.; Sisman, A. Quantum forces of a gas confined in nano structures. Phys. Scr. 2013, 87, 045008. [Google Scholar] [CrossRef]
- Aydin, A.; Sisman, A. Quantum shape effects and novel thermodynamic behaviors at nanoscale. Phys. Lett. A 2019, 383, 655. [Google Scholar] [CrossRef]
- Sisman, A.; Muller, I. The Casimir-like size effects in ideal gases. Phys. Lett. A 2004, 320, 360. [Google Scholar] [CrossRef]
- Parrondo, J.M.R.; Horowitz, J.M.; Sagawa, T. Thermodynamics of information. Nat. Phys. 2015, 11, 131–139. [Google Scholar] [CrossRef]
- Jacobs, K. Second law of thermodynamics and quantum feedback control: Maxwell’s demon with weak measurements. Phys. Rev. A 2009, 80, 012322. [Google Scholar] [CrossRef]
- Jacobs, K. Quantum measurement and the first law of thermodynamics: The energy cost of measurement is the work value of the acquired information. Phys. Rev. E 2012, 86, 040106. [Google Scholar] [CrossRef] [PubMed]
- Turgut, S. Relations between entropies produced in nondeterministic thermodynamic processes. Phys. Rev. E 2009, 79, 041102. [Google Scholar] [CrossRef] [PubMed]
- Sagawa, T.; Ueda, M. Minimal Energy Cost for Thermodynamic Information Processing: Measurement and Information Erasure. Phys. Rev. Lett. 2009, 102, 250602. [Google Scholar] [CrossRef]
- Granger, L.; Kantz, H. Thermodynamic cost of measurements. Phys. Rev. E 2011, 84, 061110. [Google Scholar] [CrossRef]
- Faist, P.; Dupuis, F.; Oppenheim, J.; Renner, R. The minimal work cost of information processing. Nat. Commun. 2015, 6, 7669. [Google Scholar] [CrossRef]
- Bruschi, D.E.; Perarnau-Llobet, M.; Friis, N.; Hovhannisyan, K.V.; Huber, M. Thermodynamics of creating correlations: Limitations and optimal protocols. Phys. Rev. E 2015, 91, 032118. [Google Scholar] [CrossRef]
- Deffner, S.; Jarzynski, C. Information Processing and the Second Law of Thermodynamics: An Inclusive, Hamiltonian Approach. Phys. Rev. X 2013, 3, 041003. [Google Scholar] [CrossRef]
- Huber, M.; Perarnau-Llobet, M.; Hovhannisyan, K.V.; Skrzypczyk, P.; Klockl, C.; Brunner, N.; Acín, A. Thermodynamic cost of creating correlations. New J. Phys. 2015, 17, 065008. [Google Scholar] [CrossRef]
- Park, J.J.; Kim, K.H.; Sagawa, T.; Kim, S.W. Heat Engine Driven by Purely Quantum Information. Phys. Rev. Lett. 2013, 111, 230402. [Google Scholar] [CrossRef] [PubMed]
- Deffner, S.; Paz, J.P.; Zurek, W.H. Quantum work and the thermodynamic cost of quantum measurements. Phys. Rev. E 2016, 94, 010103. [Google Scholar] [CrossRef] [PubMed]
- Zhang, J.; Liu, Y.; Wu, R.B.; Jacobs, K.; Nori, F. Quantum feedback: Theory, experiments, and applications. Phys. Rep. 2017, 679, 1–60. [Google Scholar] [CrossRef]
- Faist, P.; Renner, R. Fundamental Work Cost of Quantum Processes. Phys. Rev. X 2018, 8, 021011. [Google Scholar] [CrossRef]
- Sagawa, T.; Ueda, M. Second Law of Thermodynamics with Discrete Quantum Feedback Control. Phys. Rev. Lett. 2008, 100, 080403. [Google Scholar] [CrossRef]
- Kammerlander, P.; Anders, J. Coherence and measurement in quantum thermodynamics. Sci. Rep. 2016, 6, 22174. [Google Scholar] [CrossRef]
- Korzekwa, K.; Lostaglio, M.; Oppenheim, J.; Jennings, D. The extraction of work from quantum coherence. New J. Phys. 2016, 18, 023045. [Google Scholar] [CrossRef]
- Brandao, F.; Horodecki, M.; Ng, N.; Oppenheim, J.; Wehner, S. The second laws of quantum thermodynamics. Proc. Natl. Acad. Sci. USA 2015, 112, 3275–3279. [Google Scholar] [CrossRef]
- Funo, K.; Watanabe, Y.; Ueda, M. Thermodynamic work gain from entanglement. Phys. Rev. A 2013, 88, 052319. [Google Scholar] [CrossRef]
- Peña, F.J.; Negrete, O.; Barrios, G.A.; Zambrano, D.; González, A.; Nunez, A.S.; Orellana, P.A.; Vargas, P. Magnetic Otto Engine for an Electron in a Quantum Dot: Classical and Quantum Approach. Entropy 2019, 21, 512. [Google Scholar] [CrossRef]
- Insinga, A.; Andresen, B.; Salamon, P.; Kosloff, R. Quantum heat engines: Limit cycles and exceptional points. Phys. Rev. E 2018, 97, 062153. [Google Scholar] [CrossRef] [PubMed]
- Sisman, A.; Saygin, H. The improvement effect of quantum degeneracy on the work from a Carnot cycle. Appl. Energy 2001, 68, 367–376. [Google Scholar] [CrossRef]
- Saygin, H.; Sisman, A. Quantum degeneracy effect on the work output from a Stirling cycle. J. Appl. Phys. 2001, 90, 3086–3089. [Google Scholar] [CrossRef]
- Sisman, A.; Saygin, H. Efficiency Analysis of a Stirling Power Cycle under Quantum Degeneracy Conditions. Phys. Scr. 2001, 63, 263. [Google Scholar] [CrossRef]
- Quan, H.T. Quantum thermodynamic cycles and quantum heat engines. II. Phys. Rev. E 2009, 79, 041129. [Google Scholar] [CrossRef]






| I | II | III | IV | ||
|---|---|---|---|---|---|
| + | + | 0 | |||
| ++ | 0 | ||||
| + | 0 | 0 | |||
| 0 | 0 | 0 | |||
| 0 | + | 0 | 0 | ||
| 0 | 0 | 0 | 0 | ||
| 0 | ++ | 0 | |||
| + | 0 | 0 | |||
| 0 | + | 0 |
© 2020 by the authors. Licensee MDPI, Basel, Switzerland. This article is an open access article distributed under the terms and conditions of the Creative Commons Attribution (CC BY) license (http://creativecommons.org/licenses/by/4.0/).
Share and Cite
Aydin, A.; Sisman, A.; Kosloff, R. Landauer’s Principle in a Quantum Szilard Engine without Maxwell’s Demon. Entropy 2020, 22, 294. https://doi.org/10.3390/e22030294
Aydin A, Sisman A, Kosloff R. Landauer’s Principle in a Quantum Szilard Engine without Maxwell’s Demon. Entropy. 2020; 22(3):294. https://doi.org/10.3390/e22030294
Chicago/Turabian StyleAydin, Alhun, Altug Sisman, and Ronnie Kosloff. 2020. "Landauer’s Principle in a Quantum Szilard Engine without Maxwell’s Demon" Entropy 22, no. 3: 294. https://doi.org/10.3390/e22030294
APA StyleAydin, A., Sisman, A., & Kosloff, R. (2020). Landauer’s Principle in a Quantum Szilard Engine without Maxwell’s Demon. Entropy, 22(3), 294. https://doi.org/10.3390/e22030294

