Noise Sensitivities for an Atom Shuttled by a Moving Optical Lattice via Shortcuts to Adiabaticity
Abstract
1. Introduction
2. Invariant-Based Inverse Engineering and Noise Sensitivities
2.1. Invariant-Based Inverse Engineering
2.2. Noise Sensitivity
3. Noise in a Moving Optical Lattice
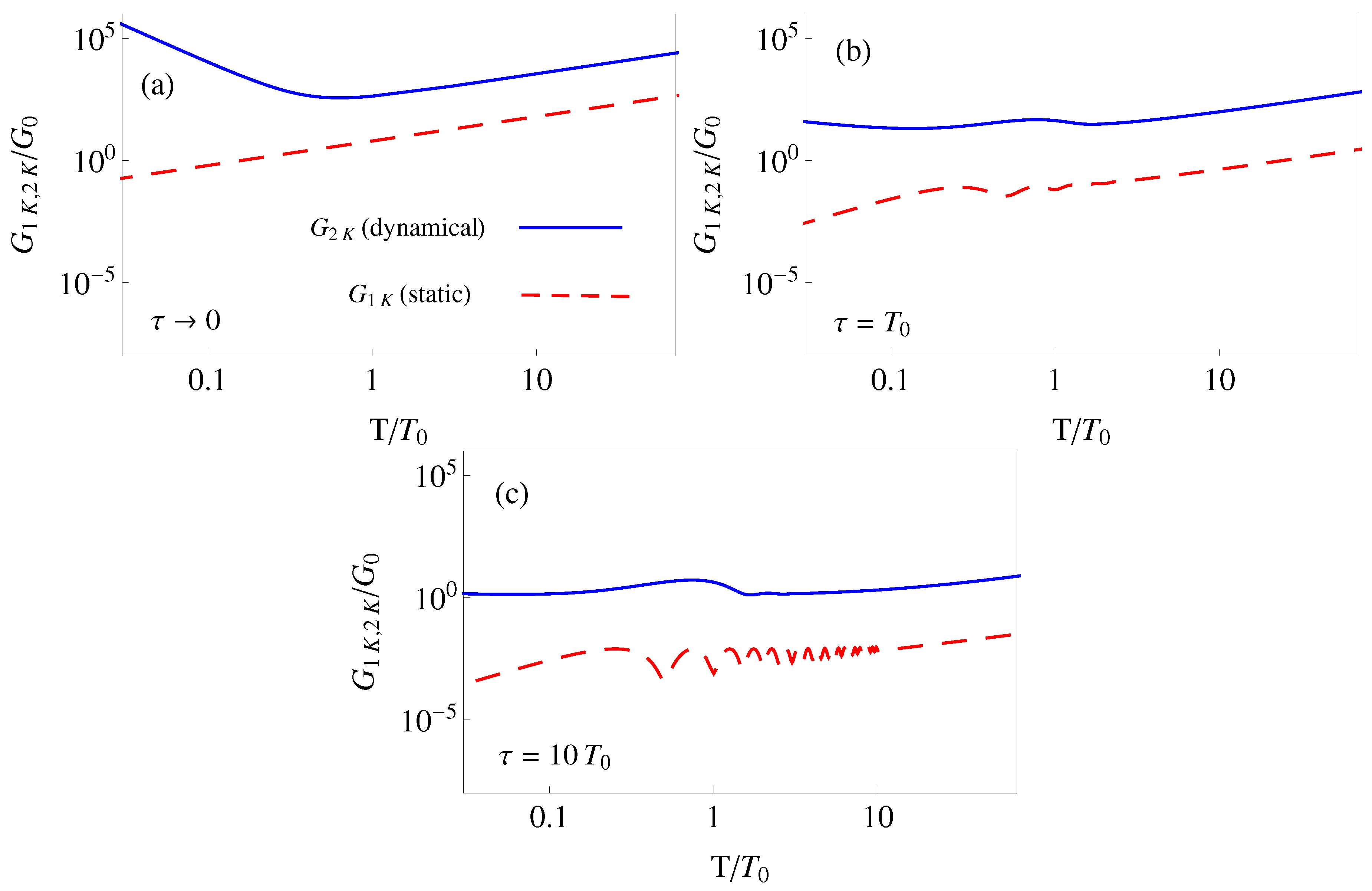
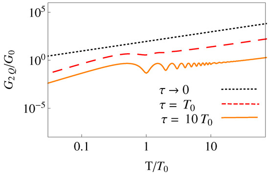
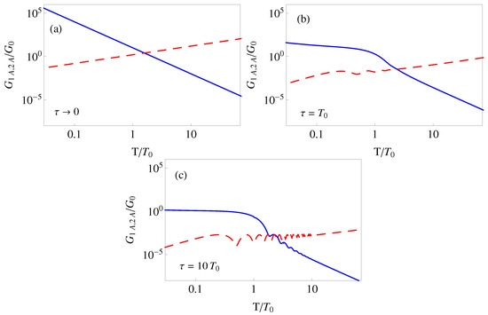
3.1. Wavenumber (Accordion) Noise
3.2. Amplitude (Trap Depth) Noise
3.3. Phase (Trap Position) Noise
4. Discussion
Author Contributions
Funding
Acknowledgments
Conflicts of Interest
References
- Mun, J.; Medley, P.; Campbell, G.K.; Marcassa, L.G.; Pritchard, D.E.; Ketterle, W. Phase diagram for a Bose-Einstein condensate moving in an optical lattice. Phys. Rev. Lett. 2007, 99, 150604. [Google Scholar] [CrossRef] [PubMed]
- Kiely, A.; Muga, J.G.; Ruschhaupt, A. Selective population of a large-angular-momentum state in an optical lattice. Phys. Rev. A 2018, 98, 053616. [Google Scholar] [CrossRef]
- Eckardt, A. Colloquium: Atomic quantum gases in periodically driven optical lattices. Rev. Mod. Phys. 2017, 89, 011004. [Google Scholar] [CrossRef]
- Okaba, S.; Takano, T.; Benabid, F.; Bradley, T.; Vincetti, L.; Maizelis, Z.; Yampol’skii, V.; Nori, F.; Katori, H. Lamb-Dicke spectroscopy of atoms in a hollow-core photonic crystal fibre. Nat. Commun. 2014, 5, 1–9. [Google Scholar] [CrossRef] [PubMed]
- Langbecker, M.; Wirtz, R.; Knoch, F.; Noaman, M.; Speck, T.; Windpassinger, P. Highly controlled optical transport of cold atoms into a hollow-core fiber. New J. Phys. 2018, 20, 083038. [Google Scholar] [CrossRef]
- Mandel, O.; Greiner, M.; Widera, A.; Rom, T.; Hänsch, T.W.; Bloch, I. Coherent transport of neutral atoms in spin-dependent optical lattice potentials. Phys. Rev. Lett. 2003, 91, 010407. [Google Scholar] [CrossRef]
- Middelmann, T.; Falke, S.; Lisdat, C.; Sterr, U. Long-range transport of ultracold atoms in a far-detuned one-dimensional optical lattice. New J. Phys. 2012, 14, 073020. [Google Scholar] [CrossRef][Green Version]
- Dinardo, B.A.; Anderson, D.Z. A technique for individual atom delivery into a crossed vortex bottle beam trap using a dynamic 1D optical lattice. Rev. Sci. Instrum. 2016, 87, 123108. [Google Scholar] [CrossRef]
- Schrader, D.; Kuhr, S.; Alt, W.; Müller, M.; Gomer, V.; Meschede, D. An optical conveyor belt for single neutral atoms. Appl. Phys. B 2001, 73, 819–824. [Google Scholar] [CrossRef]
- Kuhr, S. Deterministic Delivery of a Single Atom. Science 2001, 293, 278–280. [Google Scholar] [CrossRef]
- Kuhr, S.; Alt, W.; Schrader, D.; Dotsenko, I.; Miroshnychenko, Y.; Rosenfeld, W.; Khudaverdyan, M.; Gomer, V.; Rauschenbeutel, A.; Meschede, D. Coherence properties and quantum state transportation in an optical conveyor belt. Phys. Rev. Lett. 2003, 91, 213002. [Google Scholar] [CrossRef] [PubMed]
- Miroshnychenko, Y.; Schrader, D.; Kuhr, S.; Alt, W.; Dotsenko, I.; Khudaverdyan, M.; Rauschenbeutel, A.; Meschede, D. Continued imaging of the transport of a single neutral atom. Opt. Express 2003, 11, 3498. [Google Scholar] [CrossRef] [PubMed]
- Dotsenko, I.; Alt, W.; Khudaverdyan, M.; Kuhr, S.; Meschede, D.; Miroshnychenko, Y.; Schrader, D.; Rauschenbeutel, A. Submicrometer position control of single trapped neutral atoms. Phys. Rev. Lett. 2005, 95, 033002. [Google Scholar] [CrossRef] [PubMed]
- Miroshnychenko, Y.; Alt, W.; Dotsenko, I.; Förster, L.; Khudaverdyan, M.; Meschede, D.; Schrader, D.; Rauschenbeutel, A. An atom-sorting machine. Nature 2006, 442, 151. [Google Scholar] [CrossRef]
- Lee, P.J.; Anderlini, M.; Brown, B.L.; Sebby-Strabley, J.; Phillips, W.D.; Porto, J.V. Sublattice addressing and spin-dependent motion of atoms in a double-well lattice. Phys. Rev. Lett. 2007, 99, 020402. [Google Scholar] [CrossRef]
- Steffen, A.; Alberti, A.; Alt, W.; Belmechri, N.; Hild, S.; Karski, M.; Widera, A.; Meschede, D. Digital atom interferometer with single particle control on a discretized space-time geometry. Proc. Natl. Acad. Sci. USA 2012, 109, 9770–9774. [Google Scholar] [CrossRef]
- Calarco, T.; Dorner, U.; Julienne, P.S.; Williams, C.J.; Zoller, P. Quantum computations with atoms in optical lattices: Marker qubits and molecular interactions. Phys. Rev. A 2004, 70, 012306. [Google Scholar] [CrossRef]
- Dür, W.; Raussendorf, R.; Kendon, V.M.; Briegel, H.J. Quantum walks in optical lattices. Phys. Rev. A 2002, 66, 052319. [Google Scholar] [CrossRef]
- Alberti, A.; Alt, W.; Werner, R.; Meschede, D. Decoherence models for discrete-time quantum walks and their application to neutral atom experiments. New J. Phys. 2014, 16, 123052. [Google Scholar] [CrossRef]
- Jané, E.; Vidal, G.; Dür, W.; Zoller, P.; Cirac, J.I. Simulation of quantum dynamics with quantum optical systems. Quantum Inf. Comput. 2003, 3, 15–37. [Google Scholar]
- Schmid, S.; Thalhammer, G.; Winkler, K.; Lang, F.; Denschlag, J.H. Long distance transport of ultracold atoms using a 1D optical lattice. New J. Phys. 2006, 8, 159. [Google Scholar] [CrossRef]
- Jaksch, D.; Briegel, H.J.; Cirac, J.I.; Gardiner, C.W.; Zoller, P. Entanglement of atoms via cold controlled collisions. Phys. Rev. Lett. 1999, 82, 1975–1978. [Google Scholar] [CrossRef]
- Treutlein, P.; Steinmetz, T.; Colombe, Y.; Lev, B.; Hommelhoff, P.; Reichel, J.; Greiner, M.; Mandel, O.; Widera, A.; Rom, T.; et al. Quantum information processing in optical lattices and magnetic microtraps. Fortschr. Phys. 2006, 54, 702–718. [Google Scholar] [CrossRef]
- Kim, M.E.; Chang, T.H.; Fields, B.M.; Chen, C.A.; Hung, C.L. Trapping single atoms on a nanophotonic circuit with configurable tweezer lattices. Nat. Commun. 2019, 10, 1647. [Google Scholar] [CrossRef]
- Brennen, G.K.; Caves, C.M.; Jessen, P.S.; Deutsch, I.H. Quantum logic gates in optical lattices. Phys. Rev. Lett. 1999, 82, 1060–1063. [Google Scholar] [CrossRef]
- Bloch, I. Exploring quantum matter with ultracold atoms in optical lattices. J. Phys. B Atom. Mol. Opt. Phys. 2005, 38, S629–S643. [Google Scholar] [CrossRef]
- Torrontegui, E.; Ibáñez, S.; Martínez-Garaot, S.; Modugno, M.; del Campo, A.; Guéry-Odelin, D.; Ruschhaupt, A.; Chen, X.; Muga, J.G. Shortcuts to Adiabaticity. In Advances In Atomic, Molecular, and Optical Physics, 2013th ed.; Elsevier: Amsterdam, The Netherlands, 2013; Volume 62, pp. 117–169. [Google Scholar] [CrossRef]
- Guéry-Odelin, D.; Ruschhaupt, A.; Kiely, A.; Torrontegui, E.; Martínez-Garaot, S.; Muga, J.G. Shortcuts to adiabaticity: Concepts, methods, and applications. Rev. Mod. Phys. 2019, 91, 045001. [Google Scholar] [CrossRef]
- Couvert, A.; Kawalec, T.; Reinaudi, G.; Guéry-Odelin, D. Optimal transport of ultracold atoms in the non-adiabatic regime. Europhys. Lett. 2008, 83, 13001. [Google Scholar] [CrossRef]
- Schmiedl, T.; Dieterich, E.; Dieterich, P.S.; Seifert, U. Optimal protocols for Hamiltonian and Schrödinger dynamics. J. Stat. Mech. 2009, 2009, P07013. [Google Scholar] [CrossRef]
- Masuda, S.; Nakamura, K. Fast-forward of adiabatic dynamics in quantum mechanics. Proc. R. Soc. A Math. Phys. Eng. Sci. 2010, 466, 1135–1154. [Google Scholar] [CrossRef]
- Torrontegui, E.; Ibáñez, S.; Chen, X.; Ruschhaupt, A.; Guéry-Odelin, D.; Muga, J.G. Fast atomic transport without vibrational heating. Phys. Rev. A 2011, 83, 013415. [Google Scholar] [CrossRef]
- Chen, X.; Torrontegui, E.; Stefanatos, D.; Li, J.S.; Muga, J.G. Optimal trajectories for efficient atomic transport without final excitation. Phys. Rev. A 2011, 84, 043415. [Google Scholar] [CrossRef]
- Pandey, S.; Mas, H.; Drougakis, G.; Thekkeppatt, P.; Bolpasi, V.; Vasilakis, G.; Poulios, K.; von Klitzing, W. Hypersonic Bose–Einstein condensates in accelerator rings. Nature 2019, 570, 205–209. [Google Scholar] [CrossRef] [PubMed]
- Tobalina, A.; Palmero, M.; Martínez-Garaot, S.; Muga, J.G. Fast atom transport and launching in a nonrigid trap. Sci. Rep. 2017, 7, 5753. [Google Scholar] [CrossRef] [PubMed]
- Ruschhaupt, A.; Chen, X.; Alonso, D.; Muga, J.G. Optimally robust shortcuts to population inversion in two-level quantum systems. New J. Phys. 2012, 14, 093040. [Google Scholar] [CrossRef]
- Lu, X.J.; Chen, X.; Ruschhaupt, A.; Alonso, D.; Guérin, S.; Muga, J.G. Fast and robust population transfer in two-level quantum systems with dephasing noise and/or systematic frequency errors. Phys. Rev. A 2013, 88, 033406. [Google Scholar] [CrossRef]
- Daems, D.; Ruschhaupt, A.; Sugny, D.; Guérin, S. Robust quantum control by a single-shot shaped pulse. Phys. Rev. Lett. 2013, 111, 050404. [Google Scholar] [CrossRef]
- Lu, X.J.; Muga, J.G.; Chen, X.; Poschinger, U.G.; Schmidt-Kaler, F.; Ruschhaupt, A. Fast shuttling of a trapped ion in the presence of noise. Phys. Rev. A 2014, 89, 063414. [Google Scholar] [CrossRef]
- Lu, X.J.; Ruschhaupt, A.; Muga, J.G. Fast shuttling of a particle under weak spring-constant noise of the moving trap. Phys. Rev. A 2018, 97, 053402. [Google Scholar] [CrossRef]
- Lewis, H.R.; Riesenfeld, W.B. An exact quantum theory of the time-dependent harmonic oscillator and of a charged particle in a time-dependent electromagnetic field. J. Math. Phys. 1969, 10, 1458–1473. [Google Scholar] [CrossRef]
- Lewis, H.R.; Leach, P.G.L. A direct approach to finding exact invariants for one-dimensional time-dependent classical Hamiltonians. J. Math. Phys. 1982, 23, 2371–2374. [Google Scholar] [CrossRef]
- Dhara, A.K.; Lawande, S.V. Feynman propagator for time-dependent Lagrangians possessing an invariant quadratic in momentum. J. Phys. A Math. Gen. 1984, 17, 2423–2431. [Google Scholar] [CrossRef]
- Li, T.C.; Kelkar, H.; Medellin, D.; Raizen, M.G. Real-time control of the periodicity of a standing wave: An optical accordion. Opt. Express 2008, 16, 5465. [Google Scholar] [CrossRef] [PubMed]
- Williams, R.A.; Pillet, J.D.; Al-Assam, S.; Fletcher, B.; Shotter, M.; Foot, C.J. Dynamic optical lattices: Two-dimensional rotating and accordion lattices for ultracold atoms. Opt. Express 2008, 16, 16977. [Google Scholar] [CrossRef]
- Al-Assam, S.; Williams, R.A.; Foot, C.J. Ultracold atoms in an optical lattice with dynamically variable periodicity. Phys. Rev. A 2010, 82, 021604. [Google Scholar] [CrossRef]
- Tao, J.; Wang, Y.; He, Y.; Wu, S. Wavelength-limited optical accordion. Opt. Express 2018, 26, 14346. [Google Scholar] [CrossRef]
- Lehle, B.; Peinke, J. Analyzing a stochastic process driven by Ornstein-Uhlenbeck noise. Phys. Rev. E 2018, 97, 012113. [Google Scholar] [CrossRef]
- Belmechri, N.; Förster, L.; Alt, W.; Widera, A.; Meschede, D.; Alberti, A. Microwave control of atomic motional states in a spin-dependent optical lattice. J. Phys. B Atom. Mol. Opt. Phys. 2013, 46, 104006. [Google Scholar] [CrossRef]
- Savard, T.A.; O’Hara, K.M.; Thomas, J.E. Laser-noise-induced heating in far-off resonance optical traps. Phys. Rev. A 1997, 56, R1095–R1098. [Google Scholar] [CrossRef]
- Gehm, M.E.; O’Hara, K.M.; Savard, T.A.; Thomas, J.E. Dynamics of noise-induced heating in atom traps. Phys. Rev. A 1998, 58, 3914–3921. [Google Scholar] [CrossRef]
- Zemánek, P.; Volpe, G.; Jonáš, A.; Brzobohatý, O. Perspective on light-induced transport of particles: From optical forces to phoretic motion. Adv. Opt. Photonics 2019, 11, 577. [Google Scholar] [CrossRef]
- Keil, M.; Amit, O.; Zhou, S.; Groswasser, D.; Japha, Y.; Folman, R. Fifteen years of cold matter on the atom chip: Promise, realizations, and prospects. J. Mod. Opt. 2016, 63, 1840–1885. [Google Scholar] [CrossRef] [PubMed]
- Navez, P.; Pandey, S.; Mas, H.; Poulios, K.; Fernholz, T.; von Klitzing, W. Matter-wave interferometers using TAAP rings. New J. Phys. 2016, 18, 075014. [Google Scholar] [CrossRef]
- Bowler, R.; Gaebler, J.; Lin, Y.; Tan, T.R.; Hanneke, D.; Jost, J.D.; Home, J.P.; Leibfried, D.; Wineland, D.J. Coherent diabatic Ion transport and separation in a multizone trap array. Phys. Rev. Lett. 2012, 109, 080502. [Google Scholar] [CrossRef]
- Walther, A.; Ziesel, F.; Ruster, T.; Dawkins, S.T.; Ott, K.; Hettrich, M.; Singer, K.; Schmidt-Kaler, F.; Poschinger, U. Controlling Fast Transport of Cold Trapped Ions. Phys. Rev. Lett. 2012, 109, 080501. [Google Scholar] [CrossRef]
- Kaufmann, P.; Gloger, T.F.; Kaufmann, D.; Johanning, M.; Wunderlich, C. High-fidelity preservation of quantum information during trapped-ion transport. Phys. Rev. Lett. 2018, 120, 010501. [Google Scholar] [CrossRef]






© 2020 by the authors. Licensee MDPI, Basel, Switzerland. This article is an open access article distributed under the terms and conditions of the Creative Commons Attribution (CC BY) license (http://creativecommons.org/licenses/by/4.0/).
Share and Cite
Lu, X.-J.; Ruschhaupt, A.; Martínez-Garaot, S.; Muga, J.G. Noise Sensitivities for an Atom Shuttled by a Moving Optical Lattice via Shortcuts to Adiabaticity. Entropy 2020, 22, 262. https://doi.org/10.3390/e22030262
Lu X-J, Ruschhaupt A, Martínez-Garaot S, Muga JG. Noise Sensitivities for an Atom Shuttled by a Moving Optical Lattice via Shortcuts to Adiabaticity. Entropy. 2020; 22(3):262. https://doi.org/10.3390/e22030262
Chicago/Turabian StyleLu, Xiao-Jing, Andreas Ruschhaupt, Sofía Martínez-Garaot, and Juan Gonzalo Muga. 2020. "Noise Sensitivities for an Atom Shuttled by a Moving Optical Lattice via Shortcuts to Adiabaticity" Entropy 22, no. 3: 262. https://doi.org/10.3390/e22030262
APA StyleLu, X.-J., Ruschhaupt, A., Martínez-Garaot, S., & Muga, J. G. (2020). Noise Sensitivities for an Atom Shuttled by a Moving Optical Lattice via Shortcuts to Adiabaticity. Entropy, 22(3), 262. https://doi.org/10.3390/e22030262

