Next Article in Journal
Generalised Measures of Multivariate Information Content
Next Article in Special Issue
Carnot Cycle and Heat Engine: Fundamentals and Applications
Previous Article in Journal
Sociophysics Analysis of Multi-Group Conflicts
Previous Article in Special Issue
Energy and Exergy Evaluation of a Two-Stage Axial Vapour Compressor on the LNG Carrier
 
 
Font Type:
Arial Georgia Verdana
Font Size:
Aa Aa Aa
Line Spacing:
Column Width:
Background:
Article

Second Law Analysis for the Experimental Performances of a Cold Heat Exchanger of a Stirling Refrigeration Machine

FEMTO-ST, Energy Department, Univ. Bourgogne Franche-Comté, CNRS Parc technologique, 2 avenue Jean Moulin, 90000 Belfort, France
*
Author to whom correspondence should be addressed.
Entropy 2020, 22(2), 215; https://doi.org/10.3390/e22020215
Submission received: 23 December 2019 / Revised: 8 February 2020 / Accepted: 11 February 2020 / Published: 14 February 2020
(This article belongs to the Special Issue Carnot Cycle and Heat Engine Fundamentals and Applications)

Abstract

The second law of thermodynamics is applied to evaluate the influence of entropy generation on the performances of a cold heat exchanger of an experimental Stirling refrigeration machine by means of three factors: the entropy generation rate N S , the irreversibility distribution ratio ϕ and the Bejan number B e | N S based on a dimensionless entropy ratio that we introduced. These factors are investigated as functions of characteristic dimensions of the heat exchanger (hydraulic diameter and length), coolant mass flow and cold gas temperature. We have demonstrated the role of these factors on the thermal and fluid friction irreversibilities. The conclusions are derived from the behavior of the entropy generation factors concerning the heat transfer and fluid friction characteristics of a double-pipe type heat exchanger crossed by a coolant liquid (55/45 by mass ethylene glycol/water mixture) in the temperature range 240 K < TC < 300 K. The mathematical model of entropy generation includes experimental measurements of pressures, temperatures and coolant mass flow, and the characteristic dimensions of the heat exchanger. A large characteristic length and small hydraulic diameter generate large entropy production, especially at a low mean temperature, because the high value of the coolant liquid viscosity increases the fluid frictions. The model and experiments showed the dominance of heat transfer over viscous friction in the cold heat exchanger and B e | N S 1 and ϕ → 0 for mass flow rates m ˙ 0.1 kg.s−1.

1. Introduction

Refrigeration plays a major role in many different sectors, ranging from food, air conditioning, healthcare, industry and, especially energy. Nowadays, the number of refrigeration air-conditioning and heat pump systems in operation worldwide is roughly 5 billion, if we consider 2.6 billion air-conditioning stationary and mobile units and 2 billion domestic refrigerators and freezers [1]. The global electricity demand for refrigeration, including air conditioning, could more than double by 2050 [2]. The Kyoto Protocol was adopted in 1997 and entered into force on 16 February 2005. It aimed to prevent global warming due to the use of HCFC/CFC refrigerants and the objective is to stabilise greenhouse gas concentrations at a level that would prevent dangerous anthropogenic (human-induced) interference with the climate system. It can be seen that developing a cooling system without using HCFC/CFC working fluid is unavoidable in the future. Stirling coolers are used as commercial cryocoolers in the cryogenic field, military applications, liquid air production plants, cooling electronics, carbon capture and domestic applications [3,4,5,6].
Thus, in order to decrease electricity consumption and to prevent global warning, it is necessary to optimize these cooling machines and systems, particularly the heat exchangers. These are systems to transfer heat between two or more fluids at different temperatures and pressures, separated by a heat-transfer surface. The optimal conversion of heat energy involves a heat exchanger in order to minimize the energy consumption and costs regarding several criteria, such as materials, geometries, flow rates, flow arrangements, operating temperatures and pressures, and transient or steady-state operation [7,8,9,10]. In the field of refrigeration, the objective is to extract heat from different products in gas, liquid or solid state with minimum energy cost and maximum efficiency.
This paper deals with the optimization of a heat exchanger (the freezer) of a refrigerating machine, used in a Stirling machine working at low and moderate temperatures (between −100 and 0 °C). This machine is a member of the cryocooler’s technology family (Figure 1). Generally, the closed cycle of the Stirling machine concerns engines, coolers and heat pumps [11,12]. The thermodynamic cycle is the same in each case except that the process direction is reversed. In its theoretical refrigerating cycle (Figure 2, Figure 3 and Figure 4), the working fluid is compressed at the highest constant temperature TH (1–2) and QH is the corresponding heat rejected to the environment through the cooler exchanger.
The fluid is cooled at constant volume (2–3) by the heat QR rejected from the gas to the regenerator. Then, the expansion work (3–4) takes place at the lowest constant temperature TC and the external heat QC is extracted from the surroundings and supplied to the gas through the freezer exchanger. Finally, the fluid is heated from the temperature TC to TH by the corresponding heat QR stored in the regenerator during the process at constant volume (4–1). Both isochoric processes take place in a porous heat exchanger called the regenerator [4,5], whose efficiency is a key point of Stirling machine performances.
In refrigeration operation, heat is then rejected to the hot sink during the compression (1–2) and provided to the cold source in the compression stage (3–4). In a Stirling machine, these exchangers play a crucial role in the optimization of the performances. The objective of this paper is to optimize the performance of these exchangers by means of the second law of analysis and to study the behavior of the entropy generation. This approach focuses on the cold source exchanger (the freezer) at constant temperature TC (Figure 5), considering that the same approach could concern the exchanger of the hot sink at temperature TH.
Entropy generation analysis is considered as a measure of sustainability because a process with a lower entropy generation rate is more sustainable and able to realize energy conversion more efficiently. Nowadays, new indicators based on an engineering approach of irreversibility are used to evaluate both the technological level and the environmental impact of the production process and the socio-economic conditions [13,14,15]. Heat and mass transfer processes and thermal systems like heat exchangers have been studied and optimized in order to minimize the irreversibilities using the second law of thermodynamics in fundamental works published since the 1980s [16,17,18,19]. The second law of thermodynamics method is applied to general convective heat transfer flows in ducts and it defines the entropy rate contributed by heat transfer irreversibilities and fluid flow frictions. Convective heat transfer through ducts is analyzed with constant heat flux or constant temperature [20,21,22,23,24].
The main objective of this work is to determine the optimum duct or heat exchanger geometry which minimize losses for a range of Reynold numbers, hydraulic diameters, and fins geometry (thickness, spacing). We describe the experimental setup based on a Beta Stirling refrigerator, specifically focusing on the cold heat exchanger. Then, we will focus our study on the second law analysis of the experimental performances of the cold heat exchanger. The model and optimization present complementary criteria and alternative ratios, like the dimensionless entropy ratio, irreversibility distribution ratio and Bejan number, that we used in this study to determine the performances of a cold heat exchanger of a Stirling refrigerator.

2. Experimental Setup

The Stirling refrigerator in the Beta configuration (Figure 5) is a single-cylinder machine. It consists of two pistons, a working piston and a displacer piston, a compression volume, an expansion volume, a volume occupied by a regenerator, and two heat exchangers. The working piston is used to compress and expand the fluid. The displacer piston function is to displace the gas between the hot and cold parts of the machine. The function of the regenerator is to store the heat of the fluid during one of the isochoric transformations of the cycle and to restore it in the other one. The heat exchanger of the hot part of the machine is water-cooled. The lower part of the machine, called the bounce space, contains the connecting rods and the crankshaft.
The main design parameters of the machine are: mean pressure between 15 and 20 bar, Nitrogen as working gas, stainless steel for the cold head and aluminum for the radiator at the hot sink (Table 1). The experimental cooling capacity is 550 W at 273 K and 280 W at 230 K.

3. Mathematical Model

In a heat exchanger, real processes present irreversibilities caused by losses due to fluid friction, heat exchange across a finite temperature difference and heat exchange with the environment [26]. Second law analysis is a method developed to design systems on minimum entropy production caused by these losses [16,27,28]. The second law equation describes the irreversibility of the process, in terms of entropy generation rate S ˙ g e n within the heat exchanger between inlet and outlet ducts of a system boundary.
S ˙ g e n = S t Q ˙ T i n m ˙ i n s + o u t m ˙ o u t s 0
For steady operation ( S / t = 0 ), consider an arbitrary flow passage of length dx with a finite temperature difference ∆T = (TwT) between the wall temperature Tw and the bulk temperature T of the fluid, the rate of entropy generation per unit length is
S ˙ g e n = Q ˙ Δ T T 2 ( 1 + τ ) + m ˙ ρ T ( d P d x )
where τ = ΔT/T a dimensionless temperature difference, Q ˙ the wall heat transfer per unit length, m ˙ the mass flow rate and ( d P / d x ) the longitudinal pressure gradient.
The quantity Q ˙ Δ T T 2 ( 1 + τ ) corresponds to the entropy generation rate accounting for the heat transfer irreversibility ( S ˙ g e n , Δ T ) and the term m ˙ ρ T ( d P d x ) corresponds to the entropy generation rate for the fluid friction irreversibility ( S ˙ g e n , Δ P ). Based on these quantities, Bejan defined the irreversibility distribution ratio ϕ by [29]:
ϕ = S ˙ g e n , Δ P S ˙ g e n , Δ T = m ˙ ρ T ( d P d x ) Q ˙ Δ T T 2 ( 1 + τ )
The entropy generation irreversibility can be described by the Bejan number Be as the ratio between the heat transfer irreversibility and the total irreversibility due to heat transfer and fluid flow [30,31]:
B e = S ˙ g e n , Δ T S ˙ g e n , Δ T + S ˙ g e n , Δ P = 1 1 + ϕ
The heat transfer dominates when B e 1 (or ϕ 0 ) and the fluid friction dominates when Be → 0 (or ϕ → ∞). The ideal equilibrium between these two irreversibilities is reached for Be = 1/2 or (ϕ = 1).
Assuming the refrigerating fluid to be incompressible, Equation (2) can be written as:
S ˙ g e n = m ˙ c p d T d x Δ T T 2 ( 1 + τ ) S ˙ g e n , Δ T + m ˙ ρ T ( d P d x ) S ˙ g e n , Δ P
Equation (6) represents the entropy generation per unit length due to heat transfer across finite temperature difference and to fluid friction, respectively. If we consider that the dimensionless temperature difference τ = ΔT/T ≪ 1, the following equation is obtained:
S ˙ g e n = m ˙ c p d T d x Δ T T 2 + m ˙ ρ T ( d P d x )
Derived from Figure 5, the Figure 6 presents the control volume of the Stirling cold heat exchanger for energy and entropy analysis.
The cold heat exchanger is a double-pipe type heat exchanger made up of two concentric circular tubes (Label 1 in Figure 6). The incompressible coolant liquid flows continuously, with a mass flow m ˙ , through the annular passage under the temperature ( T i T o ) and pressure ( P i P o ) gradients, respectively. The other fluid is the working gas (Nitrogen) of the Stirling refrigerator and it flows alternatively (corresponding to the rotational frequency of the machine) at constant temperature TC in the inner tube corresponding to the cylinder of the machine (Labels 8 and 10). The heat flux Q ˙ is extracted from the surface and maintained at the constant temperature TC along the heat exchanger surface. This temperature is measured in the expansion volume of the refrigerator and depends on different parameters like thermal load, pressure of the gas, rotational speed [12,32]. The heat exchanger is considered as a duct at constant temperature TC with a hydraulic diameter Dh and a total length L corresponding to mean distance between the inlet and the outlet of the heat exchanger.
Equation (7) is integrated along the length, and the expression of the entropy generation S ˙ g e n becomes [21,22,33]:
S ˙ g e n = m ˙ c p ( T o T i ) ( T c T o ) T i T o + 32 m ˙ 3 f ρ 2 π 2 D h 5 L T C
where d P / d x = 2 f ρ u m 2 / D h and u m = 4 m ˙ / ( ρ π D h 2 ) .
The hydraulic diameter approach is a simple dimensional parameter method to calculate the heat transfer and the pressure drop in the heat exchanger. The hydraulic diameter Dh of the cold heat exchanger is defined [34].
D h = 4 ( minimum   flow   area frontal   area ) ( total   volume total   surface   area )
The rate of entropy generation is represented as the dimensionless form NS [29]:
N S = S ˙ g e n m ˙ c p
where ( m ˙ c p ) is the heat capacity rate within the heat exchanger. In this work, the heat capacity rate is the product of the mass flow and specific heat capacity rate of the incompressible fluid.
The fluid flow is considered to be fully developed inside the exchanger. The friction factor f is given for a well-known correlation [35,36,37]. The complex flow field generated by the internal geometry of the heat exchanger influences the pressure gradient required to drive the flow. The friction factor f is defined
f = a R e b
with the Reynolds number R e = ρ u m D h / μ . The two constants a and b depend on the fluid properties, the flow regime and the geometry constraints of the heat exchanger. These two coefficients were identified from data reduction experimental results [38] and pressure drop data were correlated to ±10% for Re < 2000 (laminar flow condition).
f = 34.9   R e 0.775
The average of the inlet and outlet bulk temperatures is used to calculate the physical parameters (density, viscosity and specific heat capacity) of the coolant liquid (55/45 by mass ethylene glycol/water mixture) in the temperature range 240 K < T < 300 K (Table 2 and Figure 7). Ethylene glycol lowers the specific heat capacity of water mixtures relative to pure water.
Considering Equation (10), we get:
N S = ( T 0 T i ) ( T C T 0 ) T i T 0 N S , Δ T + 32 m ˙ 2 f c p ρ 2 π 2 D h 5 L T C N S , Δ P
The first term corresponds to dimensionless rate of entropy production due to the thermal irreversibilities (NS,T), and the second one, (NS,P), to the pressure irreversibilities.
From Equation (13), we introduce a Bejan number B e | N S based on a dimensionless entropy ratio:
B e | N S = N S , Δ T N S , Δ T + N S , Δ P = ( T 0 T i ) ( T C T 0 ) T i T 0 ( T 0 T i ) ( T C T 0 ) T i T 0 + 32 m ˙ 2 f c p ρ 2 π 2 D h 5 L T C

4. Results and Discussion

Both fluid friction and heat transfer contribute to the rate of entropy generation represented by Equations (4), (5), (10) and (13). Entropy generation is investigated with the effects of different parameters concerning the cold heat exchanger (Length L, hydraulic diameter Dh, mass flow m ˙ , temperature TC of the gas inside the cold volume of the Stirling refrigerator). Before examining the dependence of these parameters on entropy generation, it is necessary to discuss the following observations and assumptions. Measurements are performed in the cold heat exchanger (the freezer) of the Stirling refrigerator and concern the temperatures and pressures of the working gas inside the expansion volume corresponding to the internal cold heat exchanger, mass flow and pressures of the coolant liquid (mix water/ethylene–glycol) and rotational speed of the refrigerator (Figure 6).
In this section, we used constant values of inlet and outlet temperatures fixed at Ti = 300 K and To = 260 K, respectively. The temperature To corresponds to a constraint we need for an industrial process not described in this article. The hydraulic diameter of the cold heat exchanger is Dh = 0.015 m and its characteristic length is L = 0.10 m. For the coolant liquid, the variation of viscosity with temperature is responsible for most of the property effects. The coolant fluid flow m ˙ vary in the range (0.003–0.010 kg.s−1). In our study, we performed experiments with two mass flows rates of coolant liquid m ˙ = 0.003 kg.s−1 and m ˙ = 0.004 kg.s−1, respectively. At low temperatures, the viscosity increases significantly and between 243 K and 263 K the dynamic viscosity increases in a ratio of around 7 (Table 2) and has the direct effect of increasing the fluid frictions. We used the film temperature based on the wall and mean bulk temperatures of the liquid flow rate to calculate its properties. We performed the measurements when the machine was operating in steady state at a fixed rotational speed ω with 35 rad.s−1 < ω < 80 rad.s−1 and for a given working gas temperature TC with 190 K < TC < 273 K. At each extremity of the exchanger (inlet and outlet on Figure 6), we collected the characteristic data of the coolant fluid: the refrigerant mass flow rate m ˙ , the inlet and outlet pressures Pi and Po and their corresponding temperatures Ti and To, respectively. Then, we introduced the experimental data in the thermodynamic model concerning the temperatures, the pressures, the mass flows, the hydraulic diameter, and the mean length L of the cold heat exchanger. We finally used the model to extrapolate the performances of the refrigerator in terms of irreversibility distribution ratio ϕ (Equation (3)), entropy generation rate NS (Equations (10) and (13)) and Bejan numbers B e | N S (Equations (5) and (14)).

4.1. Effect of Characteristic Dimensions (Length L and Hydraulic Diameter Dh)

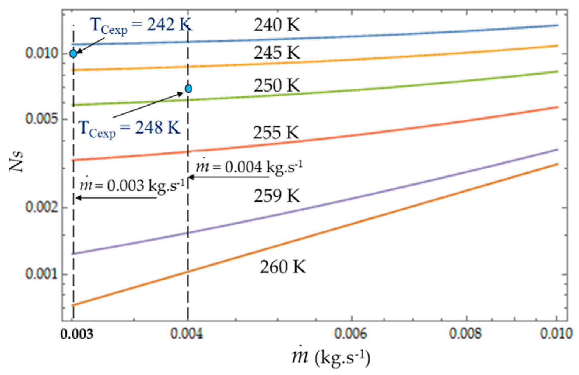
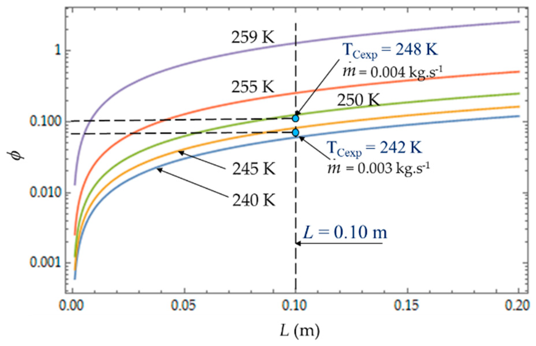
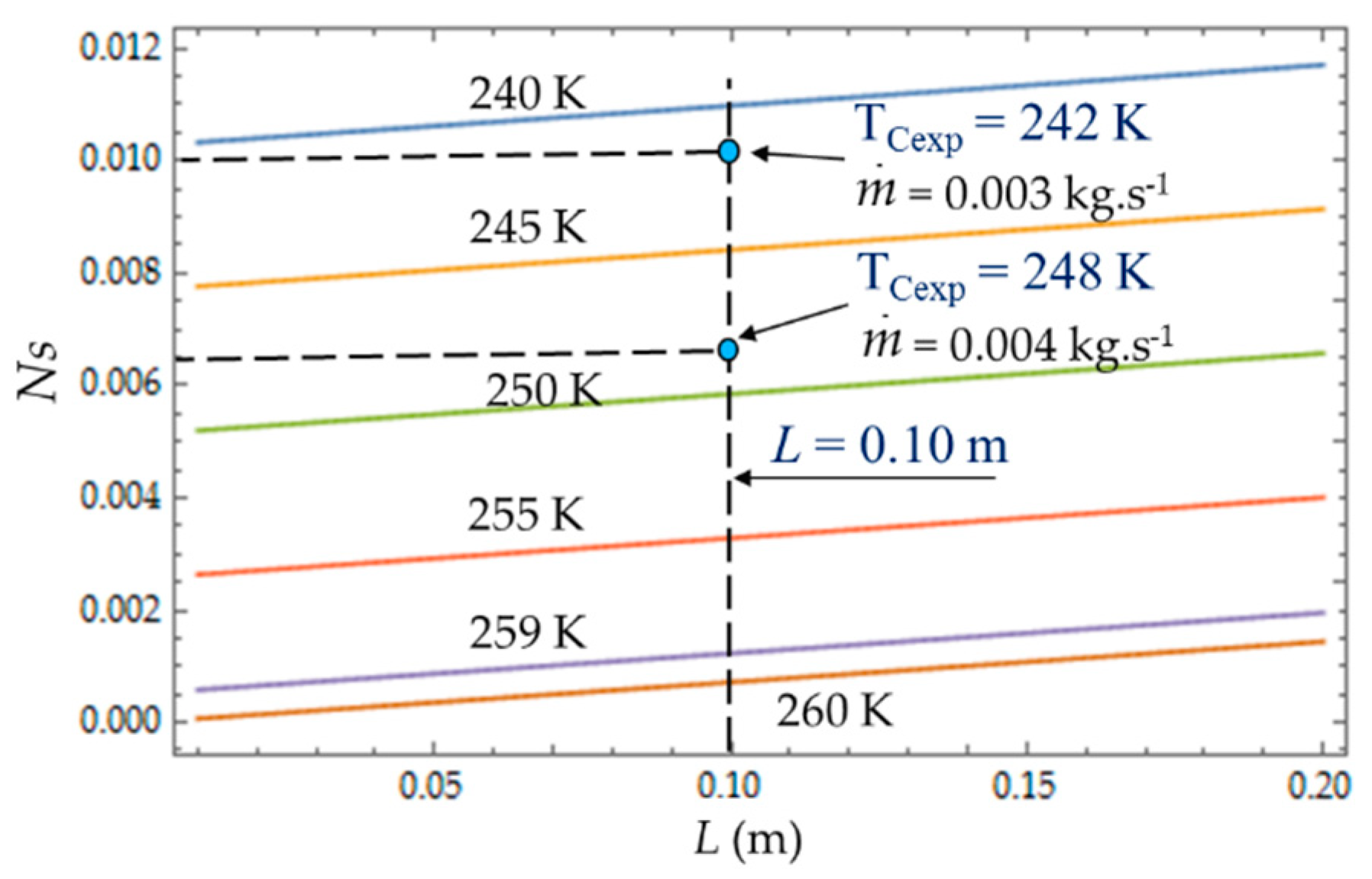
Figure 8, Figure 9 and Figure 10 present the entropy generation parameters (NS, B e | N S and φ) as functions of length (L) and hydraulic diameter (Dh) for fixed values of cold gas temperature (TC). The entropy generation number (NS) increases with the length L of the heat exchanger because of the increase in the fluid friction and pressure drop. For a given length, NS (Figure 8) increases when the temperature TC decreases because the heat transfer and the entropy production increase. For each mass flow rate m ˙ of the cooling liquid, we measured the temperature TC of the cold gas inside the expansion space of the refrigerator. For m ˙ = 0.003 kg.s−1, this temperature is TCexp = 242 K and it corresponds to the entropy generation number NS ≈ 0.010, while the theoretical model provides a higher value NS ≈ 0.011 (+10%) and a lower temperature TC = 240 K. When the flow rate increases ( m ˙ = 0.004 kg.s−1), the pressure drop also logically increases, causing the decrease in N S .
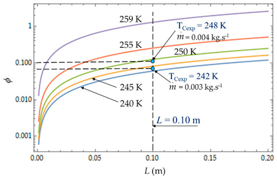
The irreversibility distribution ratio φ increases with the length L of the heat exchanger (Figure 9). At given length L, the smallest values of φ correspond to the case for which the heat transfer dominates. We observe at L = 0.10 m (Figure 9), an increase in φ as the mass flow rate m ˙ increases because the fluid frictions dominate, as was observed in the literature [3,22,40].
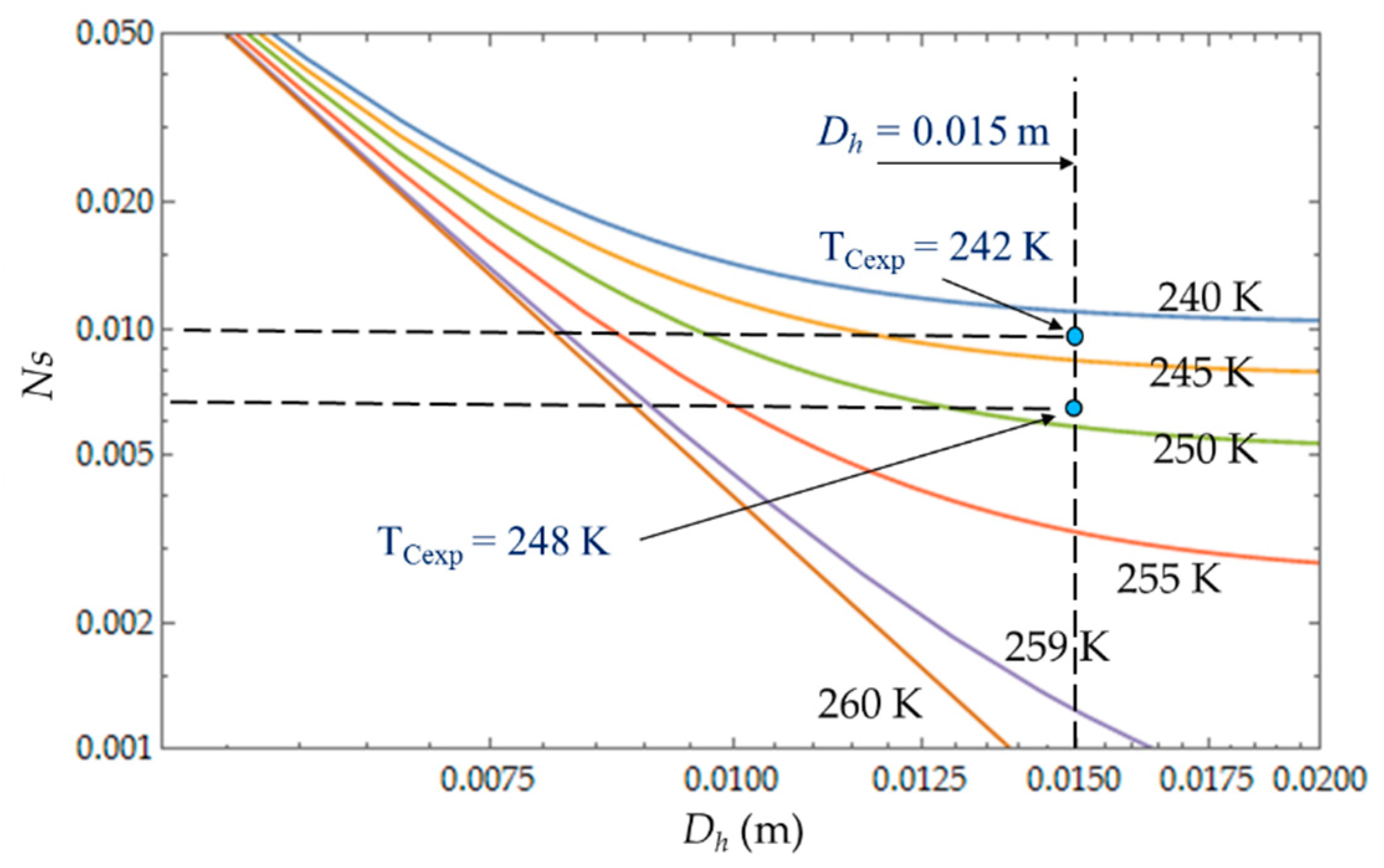
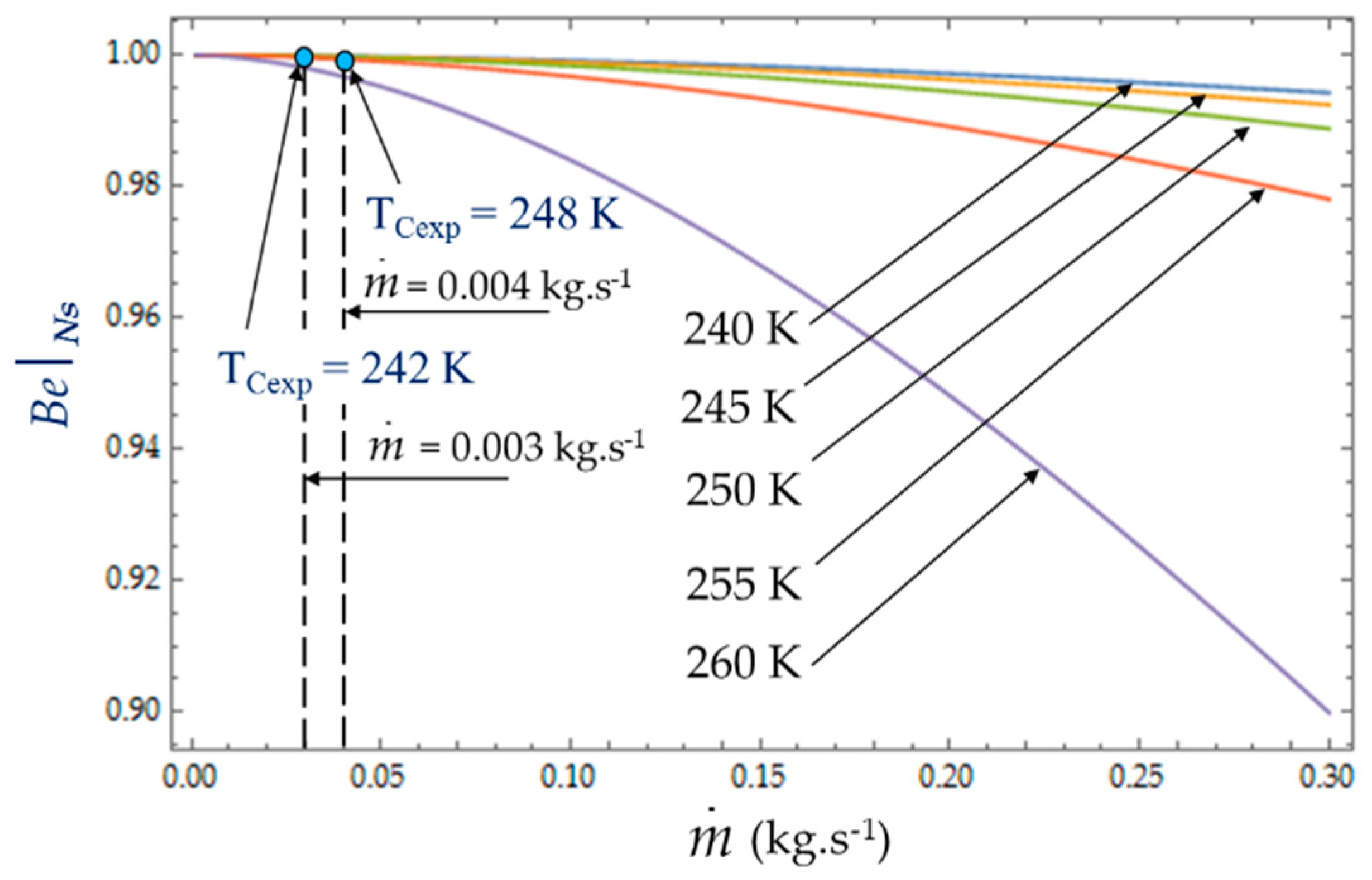
Figure 10 plots the evolution of B e | N S as a function of cold heat exchange length L at different temperatures TC. The limit B e | N S 1 when the heat transfer dominates. At given mass flow rate m ˙ , for small values of hydraulic diameter (Dh < 5 mm), the effect of fluid friction is more effective and B e | N S varies with great sensitivity to temperature TC. For higher values of hydraulic diameter, Dh > 5 mm, the heat transfer dominates fluid frictions regardless of the temperature TC of the cold volume and, consequently, ϕ → 0 (Figure 11). The effects of the variation in the mass flows m ˙ = 0.003   kg . s 1 and m ˙ = 0.004   kg . s 1 are of the same amplitude in our experiments and show the dominance of the heat transfer on the fluid frictions ( B e | N S 1 and ϕ → 0).
The heat transfer impacts the entropy generation rate NS, which logically decreases with the temperature TC, and the hydraulic diameter Dh, corresponding to the dominance of the heat transfer irresversibilities over fluid losses (Figure 12). That is what we observed with the two experimental temperatures TCexp = 242 K and TCexp = 248 K corresponding to the two mass flow rates m ˙ = 0.003   kg . s 1 and m ˙ = 0.004   kg . s 1 .
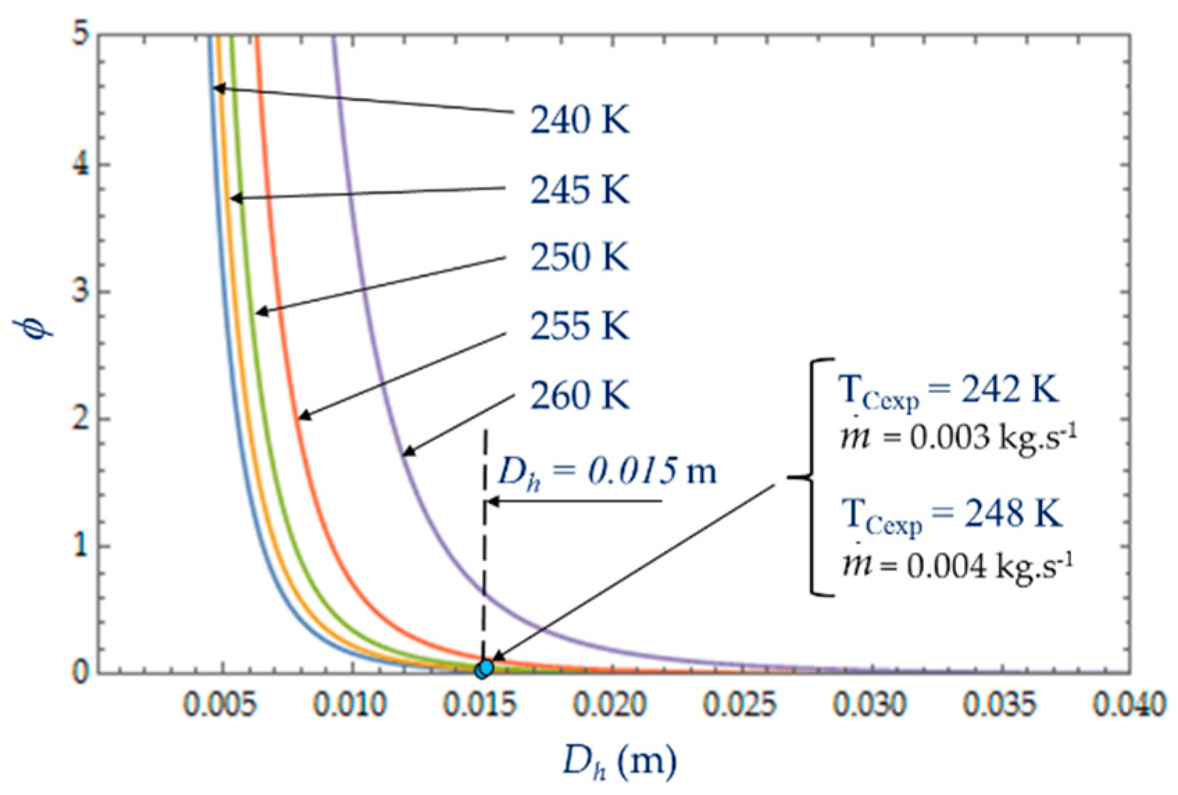
The objective is to reduce the degree of irreversibility of the refrigerator and to obtain small values of NS [16,22,33,41]. This objective depends on the parameters temperature of the cold volume and hydraulic diameter. We observe that the properties of the refrigerant play an important role. When the temperature of the fluid is too low, the viscosity of the fluid and the pressure drops increase and NS increases as well, which reduces the performance of the refrigerator. For large values of Dh, the entropy generated by the fluid losses is no longer affected by the flow friction losses. Ns tends towards a constant (in our case, this phenomenon is quite obvious for the temperatures 240 K < Tc < 250 K) and the irreversibility distribution ratio φ tends to zero (Figure 11). The entropy generation rate NS depends mainly on the part of the entropy due to heat transfers and then decreases as a function of temperature TC and hydraulic diameter Dh across a trade-off between fluid flow irreversibilities and heat transfer.

4.2. Effect of Coolant Mass Flow m ˙

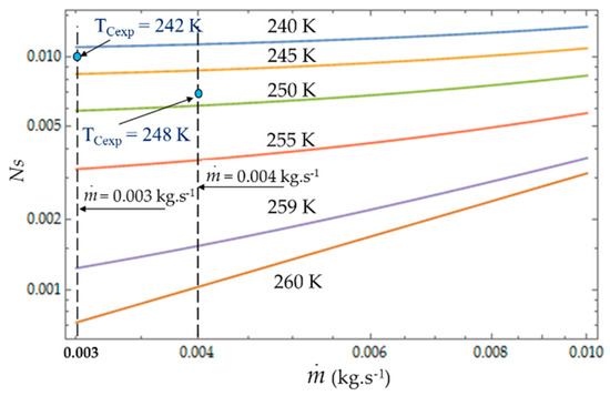
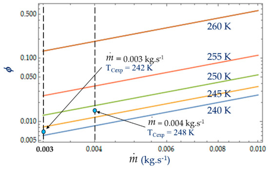
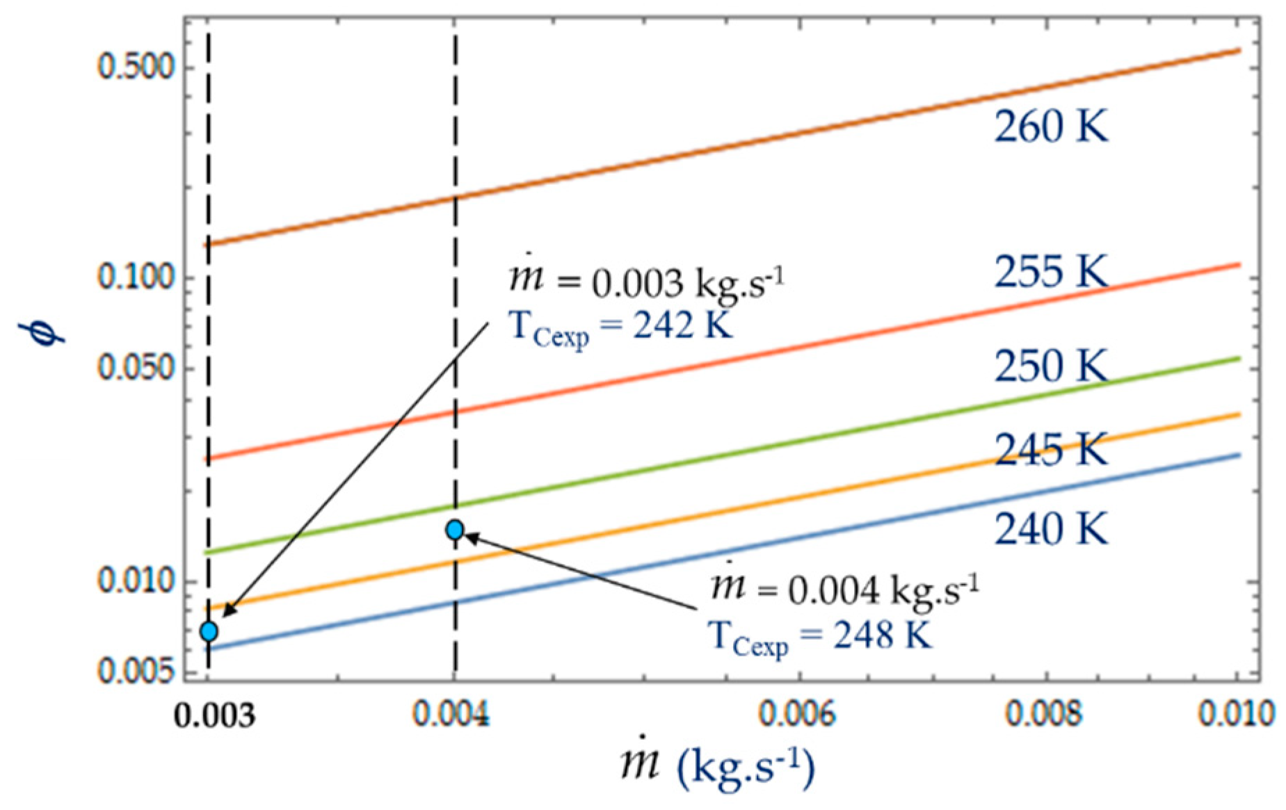
As shown in Equations (4), (8) and (13), it appears that the greater the mass flow m ˙ , the higher the fluid frictions and pressure drop. As a result, at a fixed mass flow, both entropy generation rate NS and irreversibility distribution ratio ϕ increase with the heat transfer (Figure 13). Effectively, at low temperatures (TC = 240 K), the heat transfer from the coolant at mean bulk temperature Tmb = (Ti + To)/2 to the gas is higher than at high temperatures (TC = 260 K) and Ns presents highest variations. This observed for the two experimental temperatures TCexp = 242 K and TCexp = 248 K corresponding to the mass flow rates m ˙ = 0.003 kg.s−1 and m ˙ = 0.004 kg.s−1, respectively. Consequently, at a low temperature (TC = 240 K) and small cooling flow rate, the irreversibility distribution ϕ and Bejan number B e | N s confirm that heat transfer dominates fluid frictions (Figure 14 and Figure 15). These phenomena are verified for both refrigerant flow rates m ˙ = 0.003 kg.s−1 and m ˙ = 0.004 kg.s−1.
At given temperatures Tc with 240 K < TC < 255 K, and for low mass flow rates, m ˙ < 0.10, the trend in the evolution of the Bejan number B e | N s shows the dominance of heat transfer over viscous friction and B e | N s → 1. Experimental tests with m ˙ = 0.003 kg.s−1 and m ˙ = 0.004 kg.s−1 are thus found in this working area of the refrigerating machine.

4.3. Effect of Cold Gas Temperature TC

The temperature TC of the cold gas inside the expansion volume is measured when the Stirling refrigerator runs at a steady rotational speed ω. For given inlet and outlet temperatures, Ti = 300 K and To = 260 K respectively, the heat transfer exchanged with the collant at mean bulk temperature decreases with the coolant temperature (Figure 16). This figure shows that, at the given cold gas temperature Tc, the entropy generation rate NS increases with the length L of the heat exchanger due to an increased pressure drop caused by viscous friction along the heat exchanger confirming the dominance of pressure drop [29,42]. As the amplitudes of gas temperature increase, both heat transfer exchanged with the coolant fluid at mean bulk temperature and irreversibility distribution ratio φ increase (Figure 17). At low temperatures (e.g., 240 K), the viscosity and the Prandlt number of the liquid increase sharply, with a factor around 7 between 243 K and 263 K, and the friction losses become high even at low flow rates. For the limit temperature Tc → 260 K, at fixed mass flow m ˙ , the heat transfer would require an infinite quantity or a perfect heat exchanger efficiency and that is why the irreversibility distribution ratio φ rises sharply as the temperature approaches the limit Tc → 260 K and would tend to infinity for Tc = 260 K.

5. Conclusions

We have developed an analysis of the entropy generation rate inside a cold heat exchanger of a Stirling refrigerator by examining the behavior of three criteria: the adimensionless entropy ratio NS, the irreversibility distribution ratio φ and the Bejan number B e | N s based on the adimensionless entropy ratio NS,T and NS,P corresponding to the heat transfer and fluid friction irreversibilities, respectively.
The cold heat exchanger is a double-pipe type heat exchanger made up of two concentric circular tubes. The incompressible coolant liquid flows continuously, with a mass flow rate, through the annular passage, under the temperature and pressure gradients, respectively. The other fluid is the working gas (Nitrogen) of the Stirling refrigerator and it flows alternatively (corresponding to the rotational frequency of the machine) at constant temperature TC in the inner tube corresponding to the cylinder of the machine.
The cold heat exchanger transfers heat from a gas to a coolant liquid in the temperature range (240–300 K) and the efficiency of this operation is a result of the competition between heat transfer and fluid flow irreversibilities. We have carried out experiments with two mass flow rates m ˙ = 0.003 kg.s−1 and m ˙ = 0.004 kg.s−1 and showed the dominance of heat transfer over viscous friction in the cold heat exchanger, which presents a hydraulic diameter Dh = 0.015 m and a length L = 0.10 m.
The aim of the analysis was to understand the impact of hydraulic diameter Dh, length L, coolant mass flow m ˙ and cold gas temperature TC on these three criteria. It could be shown that, to ensure a minimal entropy production ratio NS, it is necessary to minimize the fluid friction irreversibilities (NS,P). Experimental results have shown the trade-off between fluid flow irreversibilities and heat transfer. We showed that large characteristic length and small hydraulic diameter generate large entropy production especially at low mean temperatures because of the high value of the coolant liquid (mix water/ethylene–glycol) viscosity increasing the fluid friction.
Our analysis needs to be further improved on these different points:
-
Develop a second law analysis based on a heat exchanger submitted to periodic flows;
-
Investigate other cold exchanger geometries with a larger hydraulic diameter and length and different mass flow rates;
-
Perform exergetic and thermoeconomic analysis in order to define new indicators.

Author Contributions

Conceptualization, F.L.; methodology, S.D.-G., F.L. and S.B.; validation, S.D.-G., S.B. and F.L.; formal analysis, F.L.; investigation, S.D.-G.; writing—original draft preparation, F.L.; writing—review and editing, S.D.-G., F.L. and S.B. All authors have read and agreed to the published version of the manuscript.

Funding

This work has been supported by the EIPHI Graduate School (contract “ANR-17-EURE-0002”).

Conflicts of Interest

The authors declare no conflict of interest.

References

  1. IIF-IIR. The Role of Refrigeration in the Global Economy—38th Informatory Note on Refrigeration Technologies; Technical Report; International Institute of Refrigeration: Paris, France, 2019. [Google Scholar]
  2. IEA. The Future of Cooling, Opportunities for Energy-Efficient Air Conditioning; Technical Report; IEA: Paris, France, 2018; Available online: https://www.iea.org/futureofcooling/ (accessed on 13 February 2020).
  3. Hargreaves, C.M. The Phillips Stirling Engine; Elsevier Science Pub. Co., Inc.: New York, NY, USA, 1991. [Google Scholar]
  4. Song, C.F.; Kitamura, Y.; Li, S. Evaluation of Stirling cooler system for cryogenic CO2 capture. Appl. Energy 2012, 98, 491–501. [Google Scholar] [CrossRef]
  5. Walker, G. Cryocoolers—Part 1: Fundamentals; Springer: Berlin/Heidelberg, Germany, 2014. [Google Scholar]
  6. Cheng, C.H.; Huang, C.Y.; Yang, H.S. Development of a 90-k beta type Stirling cooler with rhombic drive mechanism. Int. J. Refrig. 2019, 98, 388–398. [Google Scholar] [CrossRef]
  7. Hewitt, G.F. Heat Exchanger Design Handbook; Begell House: New York, NY, USA, 1992. [Google Scholar]
  8. Hesselgreaves, J.E. Compact_Heat_Exchangers_Selection Design and Operation; Butterworth-Heinemann: Pergamon, Turkey, 2001. [Google Scholar]
  9. Kuppan, T. Heat Exchanger Design Handbook; Marcel Dekker: New York, NY, USA, 2000. [Google Scholar]
  10. Shah, R.K.; Sekulic, D.P. Fundamental of Heat Exchanger Design; Wiley: New York, NY, USA, 2003. [Google Scholar]
  11. Walker, G. Stirling Engines; Clarendon Press; Oxford University Press: Oxford, UK, 1980. [Google Scholar]
  12. Walker, G.; Senft, J.R. Free Piston Stirling Engine; Springer: Berlin, Heidelberg, 1985. [Google Scholar]
  13. Sciubba, E. On the second-law inconsistency of emergy analysis. Energy 2010, 35, 3696–3706. [Google Scholar] [CrossRef]
  14. Lucia, U. Entropy and exergy in irreversible renewable energy systems. Renew. Sustain. Energy Rev. 2013, 20, 559–564. [Google Scholar] [CrossRef]
  15. Lucia, U.; Grisolia, G. Exergy inefficiency: An indicator for sustainable development analysis. Energy Rep. 2019, 5, 62–69. [Google Scholar] [CrossRef]
  16. Bejan, A. General criterion for rating heat-exchanger performance. Int. J. Heat Mass Transf. 1978, 21, 655–658. [Google Scholar] [CrossRef]
  17. Poulikakos, D.; Bejan, A. Fin geometry for minimum entropy generation in forced convection. J. Heat Transf. 1982, 104, 616–623. [Google Scholar] [CrossRef]
  18. Bejan, A. The thermodynamic design of heat and mass transfer processes and devices. Int. J. Heat Fluid Flow 1987, 8, 258–276. [Google Scholar] [CrossRef]
  19. Sciacovelli, A.; Verda, V.; Sciubba, E. Entropy generation analysis as a design tool—A review. Renew. Sustain. Energy Rev. 2015, 43, 1167–1181. [Google Scholar] [CrossRef]
  20. Nag, P.K.; Kumar, N. Second law optimization of convective heat transfer through a duct with constant heat flux. Int. J. Energy Res. 1989, 13, 537–543. [Google Scholar] [CrossRef]
  21. Sahin, A.Z. Irreversibilities in various duct geometries with constant wall heat flux and laminar flow. Energy 1998, 23, 465–473. [Google Scholar] [CrossRef]
  22. Zimparov, V. Extended performance evaluation criteria for enhanced heat transfer surfaces: Heat transfer through ducts with constant wall temperature. Int. J. Heat Mass Transf. 2000, 43, 3137–3155. [Google Scholar] [CrossRef]
  23. Zimparov, V. Extended performance evaluation criteria for enhanced heat transfer surfaces: Heat transfer through ducts with constant heat flux. Int. J. Heat Mass Transf. 2001, 44, 169–180. [Google Scholar] [CrossRef]
  24. Khan, W.A.; Culham, R.J.; Yovanovich, M.M. Fluid flow around and heat transfer from elliptical cylinders: Analytical approach. J. Thermophys. Heat Transf. 2005, 19, 178–185. [Google Scholar] [CrossRef]
  25. Begot, S.; Dejtel-Gothe, S.; Khirzada, H.; Lanzetta, F.; Layes, G.; Nika, P. Machine Stirling de Type Beta. Patent FR 1873540/WOBR18SRERPV/FH, 19 March 2018. [Google Scholar]
  26. Yilmaz, M.; Sara, O.N.; Karsli, S. Performance evaluation criteria for heat exchangers based on second law analysis. Exergy Int. J. 2001, 1, 278–294. [Google Scholar] [CrossRef]
  27. Bejan, A. Second law analysis in heat transfer. Energy 1980, 5, 720–732. [Google Scholar] [CrossRef]
  28. Rosen, M.A. Second-law analysis: Approaches and implications. Int. J. Energy Res. 1999, 23, 415–429. [Google Scholar] [CrossRef]
  29. Bejan, A. Entropy Generation Minimization: The Method of Thermodynamic Optimization of Finite-Size Systems and Finite-Time Processes; CRC Press: Boca Raton, FL, USA, 2013. [Google Scholar]
  30. Natalini, G.; Sciubba, E. Minimization of the local rates of entropy production in the design of air-cooled gas turbine blades. J. Eng. Gas Turbines Power 1999, 121, 466–475. [Google Scholar] [CrossRef]
  31. Sciubba, E. Optimisation of turbomachinery components by constrained minimisation of the local entropy production rate. In Thermodynamic Optimization of Complex Energy Systems; Springer: Berlin/Heidelberg, Germany, 1999; pp. 163–186. [Google Scholar]
  32. Kagawa, N. Regenerative Thermal Machines (Stirling and Vuilleumier Cycle Machines) for Heating and Cooling; International Institut of Refrigeration: Paris, France, 2000. [Google Scholar]
  33. Zimparov, V.D.; Vulchanov, N.L. Performance evaluation criteria for enhanced heat transfer surfaces. Int. J. Heat Mass Transf. 1994, 37, 1807–1816. [Google Scholar] [CrossRef]
  34. Lotfi, B.; Sundén, B. Development of new finned tube heat exchanger: Innovative tube-bank design and thermohydraulic performance. Heat Transf. Eng. 2019, 1–23. [Google Scholar] [CrossRef]
  35. Li, M.; Lai, A.C.K. Thermodynamic optimization of ground heat exchangers with single u-tube by entropy generation minimization method. Energy Convers. Manag. 2013, 65, 133–139. [Google Scholar] [CrossRef]
  36. Bejan, A. Convection Heat Transfer; John Wiley & Sons: Hoboken, NJ, USA, 2013. [Google Scholar]
  37. Kandlikar, S.; Garimella, S.; Li, D.; Colin, S.; King, M.R. Heat Transfer and Fluid Flow in Minichannels and Microchannels; Elsevier: Amsterdam, The Netherlands, 2005. [Google Scholar]
  38. Djetel-Gothe, S. Modélisation et Réalisation d’une Machine Réceptrice de Stirling Pour la Production de Froid. Ph.D. Thesis, University Bourgogne Franche-Comté, Belfort, France, 2020. [Google Scholar]
  39. L&B. Available online: http://www.protekt.ch/ (accessed on 13 February 2020).
  40. Sahin, A.Z. Entropy generation in turbulent liquid flow through a smooth duct subjected to constant wall temperature. Int. J. Heat Mass Transf. 2000, 43, 1469–1478. [Google Scholar] [CrossRef]
  41. Khan, W. Modeling of Fluid Flow and Heat Transfer for Optimization of Pin-Fin Heat Sinks. Ph.D. Thesis, University of Waterloo, Waterloo, ON, Canada, 2004. [Google Scholar]
  42. Sahiti, N.; Krasniqi, F.; Fejzullahu, X.H.; Bunjaku, J.; Muriqi, A. Entropy generation minimization of a double-pipe pin fin heat exchanger. Appl. Therm. Eng. 2008, 28, 2337–2344. [Google Scholar] [CrossRef]
Figure 1. Classification of cryocoolers [12].
Figure 1. Classification of cryocoolers [12].
Entropy 22 00215 g001
Figure 2. Schematic diagram of an ideal Stirling refrigerator.
Figure 2. Schematic diagram of an ideal Stirling refrigerator.
Entropy 22 00215 g002
Figure 3. Ideal Stirling refrigeration cycle. (a) Pressure-Volume diagram; (b) Temperature-Entropy diagram.
Figure 3. Ideal Stirling refrigeration cycle. (a) Pressure-Volume diagram; (b) Temperature-Entropy diagram.
Entropy 22 00215 g003
Figure 4. Stirling refrigerator for an alpha architecture.
Figure 4. Stirling refrigerator for an alpha architecture.
Entropy 22 00215 g004
Figure 5. Stirling refrigerating machine [25]. (a) Profile of the mechanical configuration; (b) The cold heat exchanger is thermally insulated (white material on the photo).
Figure 5. Stirling refrigerating machine [25]. (a) Profile of the mechanical configuration; (b) The cold heat exchanger is thermally insulated (white material on the photo).
Entropy 22 00215 g005
Figure 6. Control volume of the cold heat exchanger.
Figure 6. Control volume of the cold heat exchanger.
Entropy 22 00215 g006
Figure 7. Physical properties of the coolant liquid (55/45 by mass ethylene glycol/water mixture) in the temperature range 240 K < T < 300 K [39] (a) Density ρ (kg.m−3) and dynamic viscosity μ (mPa.s); (b) Specific heat capacity cp (J.kg−1.K−1).
Figure 7. Physical properties of the coolant liquid (55/45 by mass ethylene glycol/water mixture) in the temperature range 240 K < T < 300 K [39] (a) Density ρ (kg.m−3) and dynamic viscosity μ (mPa.s); (b) Specific heat capacity cp (J.kg−1.K−1).
Entropy 22 00215 g007
Figure 8. Variations of entropy generation rate NS as function of cold heat exchange L for different temperatures TC. Experimental results for Dh = 0.015 m, L = 0.010 m, = 0.003 kg.s−1 and m ˙ = 0.004 kg.s−1.
Figure 8. Variations of entropy generation rate NS as function of cold heat exchange L for different temperatures TC. Experimental results for Dh = 0.015 m, L = 0.010 m, = 0.003 kg.s−1 and m ˙ = 0.004 kg.s−1.
Entropy 22 00215 g008
Figure 9. Variation of the irreversibility distribution ratio φ as function of cold heat exchange L for different temperatures TC. Experimental results for Dh = 0.015 m, L = 0.10 m, m ˙ = 0.003 kg.s−1 and m ˙ = 0.004 kg.s−1.
Figure 9. Variation of the irreversibility distribution ratio φ as function of cold heat exchange L for different temperatures TC. Experimental results for Dh = 0.015 m, L = 0.10 m, m ˙ = 0.003 kg.s−1 and m ˙ = 0.004 kg.s−1.
Entropy 22 00215 g009
Figure 10. Variations of Bejan number B e | N S as function of hydraulic diameter Dh for different temperatures TC. Experimental results for Dh = 0.015 m, L = 0.1 m, m ˙ = 0.003 kg.s−1 and m ˙ = 0.004 kg.s−1.
Figure 10. Variations of Bejan number B e | N S as function of hydraulic diameter Dh for different temperatures TC. Experimental results for Dh = 0.015 m, L = 0.1 m, m ˙ = 0.003 kg.s−1 and m ˙ = 0.004 kg.s−1.
Entropy 22 00215 g010
Figure 11. Variation of the irreversibility distribution ratio φ as function of hydraulic diameter Dh for different temperatures TC. Experimental results for Dh = 0.015 m, L = 0.1 m, m ˙ = 0.003 kg.s−1 and m ˙ = 0.004 kg.s−1.
Figure 11. Variation of the irreversibility distribution ratio φ as function of hydraulic diameter Dh for different temperatures TC. Experimental results for Dh = 0.015 m, L = 0.1 m, m ˙ = 0.003 kg.s−1 and m ˙ = 0.004 kg.s−1.
Entropy 22 00215 g011
Figure 12. Variations of entropy generation rate NS as function of hydraulic diameter Dh for different temperatures TC. Experimental results for Dh = 0.015 m, L = 0.1 m, m ˙ = 0.003 kg.s−1 and m ˙ = 0.004 kg.s−1.
Figure 12. Variations of entropy generation rate NS as function of hydraulic diameter Dh for different temperatures TC. Experimental results for Dh = 0.015 m, L = 0.1 m, m ˙ = 0.003 kg.s−1 and m ˙ = 0.004 kg.s−1.
Entropy 22 00215 g012
Figure 13. Variations in entropy generation rate NS as function of mass flow m ˙ for different temperatures TC Experimental results for Dh = 0.015 m, L = 0.1 m, m ˙ = 0.003 kg.s−1 and m ˙ = 0.004 kg.s−1.
Figure 13. Variations in entropy generation rate NS as function of mass flow m ˙ for different temperatures TC Experimental results for Dh = 0.015 m, L = 0.1 m, m ˙ = 0.003 kg.s−1 and m ˙ = 0.004 kg.s−1.
Entropy 22 00215 g013
Figure 14. Variation in the irreversibility distribution ratio φ as function of mass flow m ˙ for different temperatures TC. Experimental results for Dh = 0.015 m, L = 0.1 m, m ˙ = 0.003 kg.s−1 and m ˙ = 0.004 kg.s−1.
Figure 14. Variation in the irreversibility distribution ratio φ as function of mass flow m ˙ for different temperatures TC. Experimental results for Dh = 0.015 m, L = 0.1 m, m ˙ = 0.003 kg.s−1 and m ˙ = 0.004 kg.s−1.
Entropy 22 00215 g014
Figure 15. Variation in Bejan number B e | N s as function of mass flow m ˙ for different temperatures TC. Experimental results for Dh = 0.015 m, L = 0.1 m, m ˙ = 0.003 kg.s−1 and m ˙ = 0.004 kg.s−1.
Figure 15. Variation in Bejan number B e | N s as function of mass flow m ˙ for different temperatures TC. Experimental results for Dh = 0.015 m, L = 0.1 m, m ˙ = 0.003 kg.s−1 and m ˙ = 0.004 kg.s−1.
Entropy 22 00215 g015
Figure 16. Variations in entropy generation rate NS as function of temperature TC for different lengths L. Experimental results for Dh = 0.015 m, L = 0.1 m, m ˙ = 0.003 kg.s−1 and m ˙ = 0.004 kg.s−1.
Figure 16. Variations in entropy generation rate NS as function of temperature TC for different lengths L. Experimental results for Dh = 0.015 m, L = 0.1 m, m ˙ = 0.003 kg.s−1 and m ˙ = 0.004 kg.s−1.
Entropy 22 00215 g016
Figure 17. Variation in the irreversibility distribution ratio φ as function of temperature Tc for different mass flow m ˙ . Experimental results for Dh = 0.015 m, L = 0.1 m, m ˙ = 0.003 kg.s−1 and m ˙ = 0.004 kg.s−1.
Figure 17. Variation in the irreversibility distribution ratio φ as function of temperature Tc for different mass flow m ˙ . Experimental results for Dh = 0.015 m, L = 0.1 m, m ˙ = 0.003 kg.s−1 and m ˙ = 0.004 kg.s−1.
Entropy 22 00215 g017
Table 1. Mechanical characteristics of the Stirling refrigerator.
Table 1. Mechanical characteristics of the Stirling refrigerator.
CharacteristicsValues
Cooling capacity at 230 K/273 K280 W/550 W
Cold end temperature190 K < TC < 273 K
Hot sink temperatureTH = 300 K
Working gasNitrogen
Mean Pressure15 bar < P < 18 bar
Stirling refrigerator overall dimensions
Width × Height × Depth
19 × 46 × 18 cm
Power piston diameterD = 60 mm
Power piston strokeC = 40 mm
Compression swept volumeVswc = 120 cm3
RegeneratorStainless steel wire mesh
Rotational speed35 rad.s−1 < ω < 80 rad.s−1
Table 2. Physical properties of of the coolant liquid (55/45 by mass ethylene glycol/water mixture) in the temperature range 240 K < T < 300 K [39].
Table 2. Physical properties of of the coolant liquid (55/45 by mass ethylene glycol/water mixture) in the temperature range 240 K < T < 300 K [39].
TemperatureThermal ConductivityDensitySpecific Heat CapacityDynamic ViscosityPrandtl Number
T (°C)T (K)λ (W.m−1.K−1)ρ (kg.m−3)cp (J.kg−1.K−1)µ (mPa.s)Pr
−30243.150.33001057.403220.25004879.1
−25248.150.33601057.403242.52502412.6
−20253.150.33771056.803264.81301256.8
−15258.150.34061056.003287.195916.8
−10263.150.34061055.003309.470680.1
−5268.150.34061053.003331.755538.0
0273.150.34401050.903354.040390.0
5278.150.34801048.253376.330291.1
10283.150.35071045.603398.620193.8
15288.150.35361042.653420.9
20293.15 1039.703443.2
30303.15 1033.803487.8

Share and Cite

MDPI and ACS Style

Djetel-Gothe, S.; Lanzetta, F.; Bégot, S. Second Law Analysis for the Experimental Performances of a Cold Heat Exchanger of a Stirling Refrigeration Machine. Entropy 2020, 22, 215. https://doi.org/10.3390/e22020215

AMA Style

Djetel-Gothe S, Lanzetta F, Bégot S. Second Law Analysis for the Experimental Performances of a Cold Heat Exchanger of a Stirling Refrigeration Machine. Entropy. 2020; 22(2):215. https://doi.org/10.3390/e22020215

Chicago/Turabian Style

Djetel-Gothe, Steve, François Lanzetta, and Sylvie Bégot. 2020. "Second Law Analysis for the Experimental Performances of a Cold Heat Exchanger of a Stirling Refrigeration Machine" Entropy 22, no. 2: 215. https://doi.org/10.3390/e22020215

APA Style

Djetel-Gothe, S., Lanzetta, F., & Bégot, S. (2020). Second Law Analysis for the Experimental Performances of a Cold Heat Exchanger of a Stirling Refrigeration Machine. Entropy, 22(2), 215. https://doi.org/10.3390/e22020215

Note that from the first issue of 2016, this journal uses article numbers instead of page numbers. See further details here.

Article Metrics

Back to TopTop