Wavelet-Based Entropy Measures to Characterize Two-Dimensional Fractional Brownian Fields
Abstract
1. Introduction
2. Fractional Brownian Motion and Extensions
3. Two-Dimensional Wavelet Transforms
4. Shannon Wavelet Entropy for 2D FBF
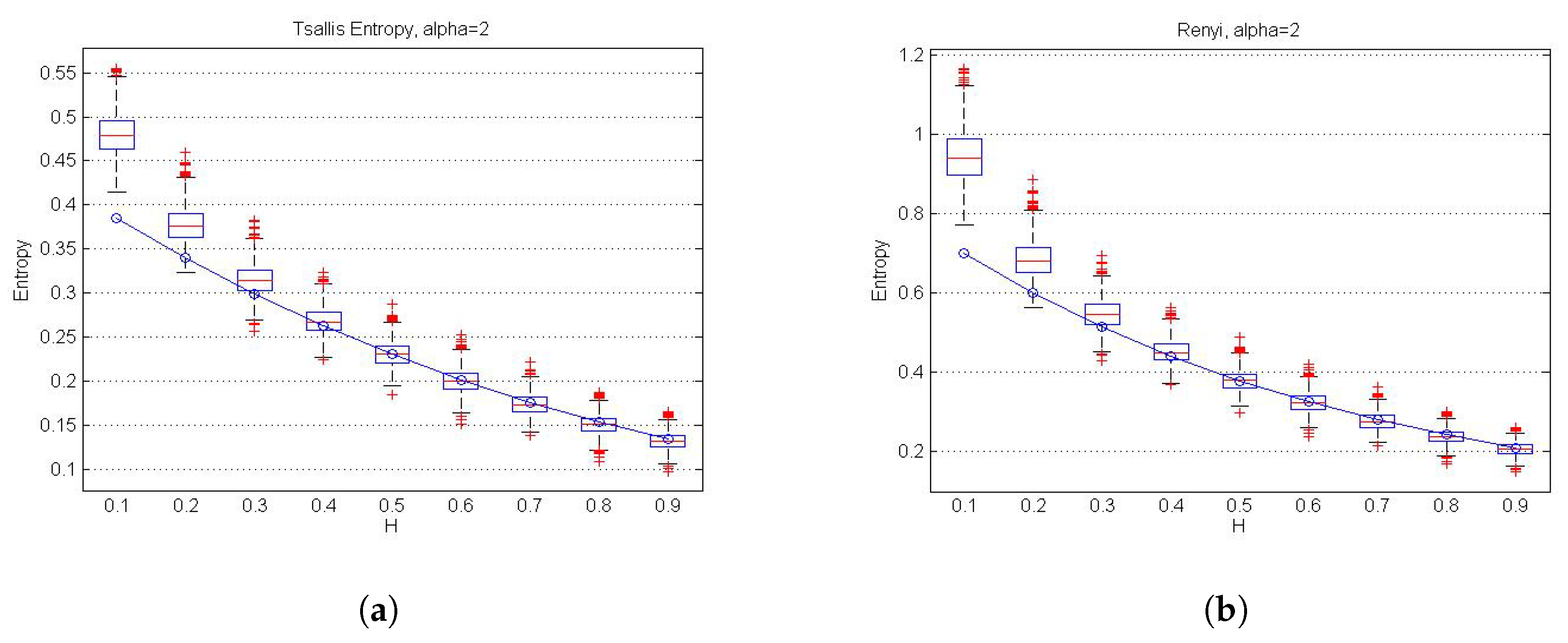
5. Simulation Study
6. Conclusions
Author Contributions
Funding
Acknowledgments
Conflicts of Interest
Appendix A
References
- Clausius, R. On the motive power of heat, and on the laws which may be deduced from it for the theory of heat. Annalen der Physick 1850, 368, 500. [Google Scholar] [CrossRef]
- Boltzmann, L. Einige allgemeine Satze iiber Warmegleichgewicht unter Gas- molekulen. Sitzungsber. Akad. Wiss. Wien 1871, 63, 679–711. [Google Scholar]
- Shannon, C. A mathematical theory of communication. Bell Syst. Technol. J. 1948, 27, 379–423. [Google Scholar] [CrossRef]
- Sengupta, B.; Stemmler, M.B.; Friston, K.J. Information and Efficiency in the Nervous System-A Synthesis. PLoS Comput. Biol. 2013, 9, e1003157. [Google Scholar] [CrossRef] [PubMed]
- Wong, A.K.C.; Sahoo, P.K. A gray level threshold selection method based on maximum entropy principle. IEEE Trans. Syst. Man Cyber. 1989, 19, 866–871. [Google Scholar] [CrossRef]
- Zhang, Y.; Wu, L. Optimal Multi-Level Thresholding Based on Maximum Tsallis Entropy via an Artificial Bee Colony Approach. Entropy 2011, 13, 841–859. [Google Scholar] [CrossRef]
- AghaKouchak, A. Entropy-Copula in Hydrology and Climatology. J. Hydrometeorol. 2014, 15, 2176–2189. [Google Scholar] [CrossRef]
- Koutsoyiannis, D. Uncertainty, entropy, scaling and hydrological stochastics. 2. Time dependence of hydrological processes and time scaling. Hydrol. Sci. J. 2005, 50, 405–426. [Google Scholar] [CrossRef]
- Li, S.; Zhou, Q.; Wu, S.; Dai, E. Measurement of climate complexity using sample entropy. Int. J. Clim. 2006, 26, 2131–2139. [Google Scholar]
- Oladipo, E.O. Spectral analysis of climatological time series: On the performance of periodogram, non-integer and maximum entropy methods. Theor. Appl. Clim. 1988, 39, 40–53. [Google Scholar] [CrossRef]
- Nicholson, T.; Sambridge, M.; Gudmundsson, O. On entropy and clustering in earthquake hypocentre distributions. Geophys. J. Int. 2000, 142, 37–51. [Google Scholar] [CrossRef]
- Telesca, L.; Lapenna, V.; Lovallo, M. Information entropy analysis of seismicity of Umbria-Marche region (Central Italy). Nat. Hazards Earth Syst. Sci. 2004, 4, 691–695. [Google Scholar] [CrossRef]
- Telesca, L.; Lovallo, M.; Mohamed, A.E.-E.A.; ElGabry, M.; El-hady, S.; Abou Elenean, K.M.; ElBary, R.E.F. Informational analysis of seismic sequences by applying the Fisher Information Measure and the Shannon entropy: An application to the 2004–2010 seismicity of Aswan area (Egypt). Physica A 2012, 391, 2889–2897. [Google Scholar] [CrossRef]
- Telesca, L.; Lovallo, M.; Babayev, G.; Kadirov, F. Spectral and informational analysis of seismicity: An application to the 1996–2012 seismicity of the Northern Caucasus-Azerbaijan part of the greater Caucasus-Kopet Dag region. Physica A 2013, 392, 6064–6078. [Google Scholar] [CrossRef]
- Telesca, L.; Lovallo, M.; Chamoli, A.; Dimri, V.P.; Srivastava, K. Fisher-Shannon analysis of seismograms of tsunamigenic and non-tsunamigenic earthquakes. Physica A 2013, 392, 3424–3429. [Google Scholar] [CrossRef]
- Rényi, A. On Measures of Entropy and Information. In Proceedings of the 4th Berkeley Symposium on Mathematics, Statistics and Probability; The Regents of the University of California: Berkeley, CA, USA, 1961; Volume 1, pp. 547–561. [Google Scholar]
- Contreras-Reyes, J.E. Rényi entropy and complexity measure for skew-gaussian distributions and related families. Physica A 2015, 433, 84–91. [Google Scholar] [CrossRef]
- Tsallis, C. Possible generalization of Boltzmann-Gibbs statistics. J. Stat. Phys. 1988, 52, 479–487. [Google Scholar] [CrossRef]
- Mariz, A.M. On the irreversible nature of the Tsallis and Renyi entropies. Phys. Lett. A 1992, 165, 409–411. [Google Scholar] [CrossRef]
- Labat, D. Recent advances in wavelet analyses: Part 1. A review of concepts. J. Hydrol. 2005, 314, 275–288. [Google Scholar] [CrossRef]
- Sello, S. Wavelet entropy and the multi-peaked structure of solar cycle maximum. New Astron. 2003, 8, 105–117. [Google Scholar] [CrossRef]
- Rosso, O.; Blanco, S.; Yordanowa, J.; Kolev, V.; Figliola, A.; Schürmann, M.; Başar, E. Wavelet entropy: A new tool for analysis of short duration brain electrical signals. J. Neurosci. Meth. 2001, 105, 65–75. [Google Scholar] [CrossRef]
- Lyubushin, A. Prognostic properties of low-frequency seismic noise. Nat. Sci. 2012, 4, 659–666. [Google Scholar] [CrossRef]
- Lyubushin, A. How soon would the next mega-earthquake occur in Japan? Nat. Sci. 2013, 5, 1–7. [Google Scholar] [CrossRef]
- Zunino, L.; Pérez, D.G.; Garavaglia, M.; Rosso, O.A. Characterization of laser propagation through turbulent media by quantifiers based on the wavelet transform. Fractals 2004, 12, 223–233. [Google Scholar] [CrossRef]
- Zunino, L.; Pérez, D.G.; Garavaglia, M.; Rosso, O.A. Wavelet entropy of stochastic processes. Physica A 2007, 379, 503–512. [Google Scholar] [CrossRef]
- Perez, D.G.; Zunino, L.; Garavaglia, M.; Rosso, O.A. Wavelet entropy and fractional Brownian motion time series. Physica A 2006, 365, 282–288. [Google Scholar] [CrossRef]
- Nicolis, O.; Mateu, J. 2D Anisotropic Wavelet Entropy with an Application to Earthquakes in Chile. Entropy 2015, 17, 4155–4172. [Google Scholar] [CrossRef]
- Perez, D.G.; Zunino, L.; Martin, M.T.; Garavaglia, M.; Plastino, A.; Rosso, O.A. Model-free stochastic processes studied with q-wavelet-based informational tools. Phys. Lett. A 2007, 364, 259–266. [Google Scholar] [CrossRef]
- Ramirez-Pacheco, J.; Rizo-Dominguez, L.; Trejo-Sanchez, J.A.; Cortez-Gonzalez, J. A nonextensive wavelet (q,q′)-entropy for 1/fα signals. Rev. Mex. Fis. 2016, 62, 229–234. [Google Scholar]
- Zunino, L.; Perez, D.G.; Kowalski, A.; Martin, M.T.; Garavaglia, M.; Plastino, A.; Rosso, O.A. Fractional Brownian motion, fractional Gaussian noise, and Tsallis permutation entropy. Physica A 2008, 387, 6057–6068. [Google Scholar] [CrossRef]
- Ramirez-Pacheco, J.; Torres Roman, D.; Toral Cruz, H. Distinguishing Stationary/Nonstationary Scaling Processes Using Wavelet Tsallis-Entropies. Math. Probl. Eng. 2012, 2012, 867042. [Google Scholar] [CrossRef]
- Ramírez-Pacheco, J.; Torres-Román, D.; Rizo-Dominguez, L.; Trejo-Sanchez, J.; Manzano-Pinzón, F. Wavelet Fisher’s information measure of 1 = fα signals. Entropy 2011, 13, 1648–1663. [Google Scholar] [CrossRef]
- Mandelbrot, B.B.; Van Ness, J.W. Fractional Brownian Motions, Fractional Noises and Applications. SIAM Rev. 1968, 10, 422–437. [Google Scholar] [CrossRef]
- Nicolis, O.; Ramirez, P.; Vidakovic, B. 2-D Wavelet-Based Spectra with Applications. Comput. Stat. Data Anal. 2011, 55, 738–751. [Google Scholar] [CrossRef]
- Qian, H.; Raymond, G.M.; Bassingthwaighte, J.B. On two-dimensional fractional Brownian motion and fractional Brownian random field. J. Phys. A. Math. Gen. 1998, 31, L527–L535. [Google Scholar] [CrossRef]
- Pesquet-Popescu, B.; Lèvy-Vèhel, J. Stochastic Fractal Models for Image Processing. IEEE Signal Proces. Mag. 2002, 19, 48–62. [Google Scholar] [CrossRef]
- Reed, I.S.; Lee, P.C.; Truong, T.K. Spectral representation of fractional Brownian motion in n dimensions and its properties. IEEE Trans. Inf. Theor. 1995, 41, 1439–1451. [Google Scholar] [CrossRef]
- Brouste, A.; Istas, J.; Lambert-Lacroix, S. On simulation of manifold indexed fractional gaussian fields. J. Stat. Soft. 2010, 34, 1–14. [Google Scholar] [CrossRef][Green Version]
- Mallat, S. A Wavelet Tour of Signal Processing, 2nd ed.; Elsevier: Amsterdam, The Netherlands, 1999. [Google Scholar]
- Donoho, D.L. Nonlinear wavelet methods for recovery of signals, densities, and spectra from indirect and noisy data. In Different Perspectives on Wavelets; Daubechies, I., Ed.; American Mathematical Society: San Antonio, Texas, USA, 1993; pp. 173–205. [Google Scholar]
- Derado, G.; Lee, K.; Nicolis, O.; Bowman, F.D.; Newell, M.; Ruggeri, F.; Vidakovic, B. Wavelet-based 3-D Multifractal Spectrum with Applications in Breast MRI Images. In Bioinformatics Research and Applications; Lecture Notes in Computer Science; Springer: Berlin/Heidelberg, Germany, 2008; pp. 281–292. [Google Scholar]
- Heneghan, C.; Lown, S.B.; Teich, M.C. Two dimensional fractional Brownian motion: Wavelet analysis and synthesis. In Proceedings of the Southwest Symposium on Image Analysis and Interpretation, San Antonio, TX, USA, 8–9 April 1996; pp. 213–217. [Google Scholar]
- Neupauer, R.M.; Powell, K.L. A fully-anisotropic morlet wavelet to identify dominant orientations in a porous medium. Comput. Geosci. 2005, 13, 465–471. [Google Scholar] [CrossRef]





© 2020 by the authors. Licensee MDPI, Basel, Switzerland. This article is an open access article distributed under the terms and conditions of the Creative Commons Attribution (CC BY) license (http://creativecommons.org/licenses/by/4.0/).
Share and Cite
Nicolis, O.; Mateu, J.; Contreras-Reyes, J.E. Wavelet-Based Entropy Measures to Characterize Two-Dimensional Fractional Brownian Fields. Entropy 2020, 22, 196. https://doi.org/10.3390/e22020196
Nicolis O, Mateu J, Contreras-Reyes JE. Wavelet-Based Entropy Measures to Characterize Two-Dimensional Fractional Brownian Fields. Entropy. 2020; 22(2):196. https://doi.org/10.3390/e22020196
Chicago/Turabian StyleNicolis, Orietta, Jorge Mateu, and Javier E. Contreras-Reyes. 2020. "Wavelet-Based Entropy Measures to Characterize Two-Dimensional Fractional Brownian Fields" Entropy 22, no. 2: 196. https://doi.org/10.3390/e22020196
APA StyleNicolis, O., Mateu, J., & Contreras-Reyes, J. E. (2020). Wavelet-Based Entropy Measures to Characterize Two-Dimensional Fractional Brownian Fields. Entropy, 22(2), 196. https://doi.org/10.3390/e22020196

