Assessment of Nocturnal Autonomic Cardiac Imbalance in Positional Obstructive Sleep Apnea. A Multiscale Nonlinear Approach
Abstract
1. Introduction
2. Materials and Methods
2.1. Participants and Sleep Studies
2.2. Study Design and Sample Size
2.3. Heart Rate Modulation Assessment
2.4. Statistical Analysis
3. Results
4. Discussion
4.1. The Characteristics of POSA in Our Sample
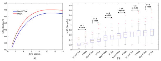
4.2. MSE and POSA Categories
4.3. PRV Indices and Cardiac Dysfunction
4.4. Limitations and Future Research
5. Conclusions
Author Contributions
Funding
Conflicts of Interest
References
- Cartwright, R.D. Effect of sleep position on sleep apnea severity. Sleep 1984, 7, 110–114. [Google Scholar] [CrossRef]
- Di-Tullio, F.; Ernst, G.; Robaina, G.; Blanco, M.; Salvado, A.; Meraldi, A.; Bosio, M.; Borsini, E. Ambulatory positional obstructive sleep apnea syndrome. Sleep Sci. 2018, 11, 8–11. [Google Scholar] [CrossRef]
- Oksenberg, A.; Gadoth, N.; Töyräs, J.; Leppänen, T. Prevalence and characteristics of positional obstructive sleep apnea (POSA) in patients with severe OSA. Sleep Breath. 2020, 24, 551–559. [Google Scholar] [CrossRef] [PubMed]
- Ravesloot, M.J.L.; Frank, M.H.; van Maanen, J.P.; Verhagen, E.A.; de Lange, J.; de Vries, N. Positional OSA part 2: Retrospective cohort analysis with a new classification system (APOC). Sleep Breath. 2016, 20, 881–888. [Google Scholar] [CrossRef] [PubMed]
- Levendowski, D.J.; Oksenberg, A.; Vicini, C.; Penzel, T.; Levi, M.; Westbrook, P.R. A systematic comparison of factors that could impact treatment recommendations for patients with Positional Obstructive Sleep Apnea (POSA). Sleep Med. 2018, 50, 145–151. [Google Scholar] [CrossRef] [PubMed]
- Vonk, P.E.; Ravesloot, M.J.L. Positional obstructive sleep apnea. Somnologie 2018, 22, 79–84. [Google Scholar] [CrossRef]
- Heinzer, R.; Petitpierre, N.J.; Marti-Soler, H.; Haba-Rubio, J. Prevalence and characteristics of positional sleep apnea in the HypnoLaus population-based cohort. Sleep Med. 2018, 48, 157–162. [Google Scholar] [CrossRef]
- Mador, M.J.; Kufel, T.J.; Magalang, U.J.; Rajesh, S.K.; Watwe, V.; Grant, B.J.B. Prevalence of positional sleep apnea in patients undergoing polysomnography. Chest 2005, 128, 2130–2137. [Google Scholar] [CrossRef]
- Frank, M.H.; Ravesloot, M.J.L.; van Maanen, J.P.; Verhagen, E.; de Lange, J.; de Vries, N. Positional OSA part 1: Towards a clinical classification system for position-dependent obstructive sleep apnoea. Sleep Breath. 2015, 19, 473–480. [Google Scholar] [CrossRef]
- Isono, S.; Tanaka, A.; Nishino, T. Lateral position decreases collapsibility of the passive pharynx in patients with obstructive sleep apnea. Anesthesiology 2002, 97, 780–785. [Google Scholar] [CrossRef]
- Neill, A.M.; Angus, S.M.; Sajkov, D.; McEvoy, R.D. Effects of sleep posture on upper airway stability in patients with obstructive sleep apnea. Am. J. Respir. Crit. Care Med. 1997, 155, 199–204. [Google Scholar] [CrossRef] [PubMed]
- Vonk, P.E.; Ravesloot, M.J.L.; de Vries, N. Positional therapy for positional obstructive sleep apnea: What is new? Curr. Sleep Medicine Rep. 2017, 3, 113–121. [Google Scholar] [CrossRef]
- Chung, J.W.; Enciso, R.; Levendowski, D.J.; Westbrook, P.R.; Clark, G.T. Patients with positional versus nonpositional obstructive sleep apnea: A retrospective study of risk factors associated with apnea-hypopnea severity. Oral Surg. Oral Med. Oral Pathol. Oral Radiol. Endod. 2010, 110, 605–610. [Google Scholar] [CrossRef] [PubMed]
- Oksenberg, A.; Khamaysi, Y.; Silverberg, D.S.; Tarasiuk, A. Association of body position with severity of apneic events in patients with severe non-positional obstructive sleep apnea. Chest 2000, 118, 1018–1024. [Google Scholar] [CrossRef] [PubMed]
- Narkiewicz, K.; Wolf, J.; Lopez-Jiménez, F.; Somers, V.K. Obstructive sleep apnea and hypertension. Curr. Cardiol. Rep. 2005, 7, 435–440. [Google Scholar] [CrossRef] [PubMed]
- Arias, M.A.; Sánchez, A.M. Obstructive sleep apnea and its relationship to cardiac arrhythmias. J. Cardiovasc. Electrophysiol. 2007, 18, 1006–1014. [Google Scholar] [CrossRef] [PubMed]
- Phillips, C.L.; O’Driscoll, D.M. Hypertension and obstructive sleep apnea. Nat. Sci. Sleep 2013, 5, 43–52. [Google Scholar] [CrossRef] [PubMed]
- Randerath, W.; Bassetti, C.L.; Bonsignore, M.R.; Farre, R.; Ferini-Strambi, L.; Grote, L.; Hedner, J.; Kohler, M.; Martinez-Garcia, M.-A.; Mihaicuta, S.; et al. Challenges and perspectives in obstructive sleep apnoea. Eur. Respir. J. 2018, 52, 1702616. [Google Scholar] [CrossRef]
- Byun, J.-I.; Shin, Y.Y.; Hwang, K.J.; Jung, Y.; Shin, W.C. Comparison of cardiac autonomic activity between positional and nonpositional obstructive sleep apnea using heart rate variability. Sleep Medicine 2019, 64, 101–105. [Google Scholar] [CrossRef]
- Flevari, A.; Vagiakis, E.; Zakynthinos, S. Heart rate variability is augmented in patients with positional obstructive sleep apnea, but only supine LF/HF index correlates with its severity. Sleep Breath. 2015, 19, 359–367. [Google Scholar] [CrossRef]
- Stein, P.K.; Pu, Y. Heart rate variability, sleep and sleep disorders. Sleep Med. Rev. 2012, 16, 47–66. [Google Scholar] [CrossRef] [PubMed]
- Kufoy, E.; Palma, J.-A.; Lopez, J.; Alegre, M.; Urrestarazu, E.; Artieda, J.; Iriarte, J. Changes in the heart rate variability in patients with obstructive sleep apnea and its response to acute CPAP treatment. PLoS ONE 2012, 7, e33769. [Google Scholar] [CrossRef] [PubMed]
- Kim, J.-W.; Kwon, S.O.; Lee, W.H. Nocturnal heart rate variability may be useful for determining the efficacy of mandibular advancement devices for obstructive sleep apnea. Sci. Rep. 2020, 10, 1030. [Google Scholar] [CrossRef] [PubMed]
- Lado, M.J.; Méndez, A.J.; Rodríguez-Liñares, L.; Otero, A.; Vila, X.A. Nocturnal evolution of heart rate variability indices in sleep apnea. Comput. Bio. Med. 2012, 42, 1179–1185. [Google Scholar] [CrossRef] [PubMed]
- Cunha Sequeira, V.C.; Martin Bandeira, P.; Moreno Azevedo, J.C. Heart rate variability in adults with obstructive sleep apnea: A systematic review. Sleep Sci. 2019, 12, 214–221. [Google Scholar] [CrossRef] [PubMed]
- Penzel, T.; Kantelhardt, J.W.; Grote, L.; Peter, J.H.; Bunde, A. Comparison of detrended fluctuation analysis and spectral analysis for heart rate variability in sleep and sleep apnea. IEEE Trans. Biomed. Eng. 2003, 50, 1143–1151. [Google Scholar] [CrossRef] [PubMed]
- Mendez, M.O.; Corthout, J.; Van Huffel, S.; Matteucci, M.; Penzel, T.; Cerutti, S.; Bianchi, A.M. Automatic screening of obstructive sleep apnea from the ECG based on empirical mode decomposition and wavelet analysis. Physiol. Meas. 2010, 31, 273–289. [Google Scholar] [CrossRef]
- Gutiérrez-Tobal, G.C.; Álvarez, D.; Gómez-Pilar, J.; del Campo, F.; Hornero, R. Assessment of time and frequency domain entropies to detect sleep apnoea in heart rate variability recordings from men and women. Entropy 2015, 17, 123–141. [Google Scholar] [CrossRef]
- Álvarez, D.; Sánchez-Fernández, A.; Andrés-Blanco, A.M.; Gutiérrez-Tobal, G.C.; Vaquerizo-Villar, F.; Barroso-García, V.; Hornero, R.; del Campo, F. Influence of chronic obstructive pulmonary disease and moderate-to-severe sleep apnoea in overnight cardiac autonomic modulation: Time, frequency and non-linear analyses. Entropy 2019, 21, e21040381. [Google Scholar] [CrossRef]
- Kapur, V.K.; Auckley, D.H.; Chowdhuri, S.; Kuhlmann, D.C.; Mehra, R.; Ramar, K.; Harrod, C.G. Clinical practice guideline for diagnostic testing for adult obstructive sleep apnea: An American Academy of Sleep Medicine clinical practice guideline. J. Clin. Sleep Med. 2017, 13, 479–504. [Google Scholar] [CrossRef]
- Faul, F.; Erdfelder, E.; Lang, A.-G.; Buchner, A. G*Power 3: A flexible statistical power analysis program for the social, behavioral, and biomedical sciences. Behav. Res. Methods 2007, 39, 175–191. [Google Scholar] [CrossRef] [PubMed]
- Billman, G.E. The LF/HF ratio does not accurately measure cardiac sympatho-vagal balance. Front. Physiol. 2013, 4, 26. [Google Scholar] [CrossRef] [PubMed]
- Martelli, D.; Silvani, A.; McAllen, R.M.; May, C.N.; Ramchandra, R. The low frequency power of heart rate variability is neither a measure of cardiac sympathetic tone nor of baroreflex sensitivity. Am. J. Physiol. Heart Circ. Physiol. 2014, 307, H1005–H1012. [Google Scholar] [CrossRef] [PubMed]
- Poza, J.; Hornero, R.; Abásolo, D.; Fernández, A.; García, M. Extraction of spectral based measures from MEG background oscillations in Alzheimer’s disease. Med. Eng. Phys. 2007, 29, 1073–1083. [Google Scholar] [CrossRef]
- Costa, M.; Goldberger, A.L.; Peng, C.K. Multiscale entropy analysis of complex physiologic time series. Phys. Rev. Lett. 2002, 89, 068102. [Google Scholar] [CrossRef]
- Costa, M.D.; Goldberger, A.L.; Peng, C.K. Multiscale entropy analysis of biological signals. Phys. Rev. E. 2005, 71, 021906. [Google Scholar] [CrossRef]
- Richman, J.S.; Moorman, J.R. Physiological time series analysis using approximate entropy and sample entropy. Am. J. Physiol. Heart Circ. Physiol. 2000, 278, 2039–2049. [Google Scholar] [CrossRef]
- Costa, M.D.; Peng, C.K.; Goldberger, A.L. Multiscale analysis of heart rate dynamics: Entropy and time irreversibility measures. Cardiovasc. Eng. 2008, 8, 88–93. [Google Scholar] [CrossRef]
- Bruyneel, M.; Ninane, V. Unattended home-based polysomnography for sleep disordered breathing: Current concepts and perspectives. Sleep Med. Rev. 2014, 18, 341–347. [Google Scholar] [CrossRef]
- Banhiran, W.; Chotinaiwattarakul, W.; Chongkolwatana, C.; Metheetrairut, C. Home-based diagnosis of obstructive sleep apnea by polysomnography type 2: Accuracy, reliability, and feasibility. Sleep Breath. 2014, 18, 817–823. [Google Scholar] [CrossRef]
- Levendowski, D.J.; Hamilton, G.S.; St. Louis, E.K.; Penzel, T.; Dawson, D.; Westbrook, P.R. A comparison between auto-scored apneahypopnea index and oxygen desaturation index in the characterization of positional obstructive sleep apnea. Nat. Sci. Sleep 2019, 11, 69–78. [Google Scholar] [CrossRef] [PubMed]
- Ravesloot, M.J.L.; van Maanen, J.P.; Dun, L.; de Vries, N. The undervalued potential of positional therapy in position-dependent snoring and obstructive sleep apnea—a review of the literature. Sleep Breath. 2013, 17, 39–49. [Google Scholar] [CrossRef] [PubMed]
- Richard, W.; Kox, D.; den Herder, C.; Laman, M.; van Tinteren, H.; de Vries, N. The role of sleep position in obstructive sleep apnea syndrome. Eur. Arch. Otorhinolaryngol. 2006, 263, 946–950. [Google Scholar] [CrossRef] [PubMed]
- Barnes, H.; Edwards, B.A.; Joosten, S.A.; Naughton, M.T.; Hamilton, G.S.; Dabscheck, E. Positional modification techniques for supine obstructive sleep apnea: A systematic review and meta-analysis. Sleep Med. Rev. 2017, 36, 107–115. [Google Scholar] [CrossRef]
- Joosten, S.A.; O’Driscoll, D.M.; Berger, P.J.; Hamilton, G.S. Supine position related obstructive sleep apnea in adults: Pathogenesis and treatment. Sleep Med. Rev. 2014, 18, 7–17. [Google Scholar] [CrossRef]
- Leppänen, T.; Töyräs, J.; Muraja-Murro, A.; Kupari, S.; Tiihonen, P.; Mervaala, E.; Kulkas, A. Length of individual apnea events is increased by supine position and modulated by severity of obstructive sleep apnea. Sleep Disord. 2016, 2016, 9645347. [Google Scholar] [CrossRef]
- Oldenburg, O.; Wellmann, B.; Buchholz, A.; Bitter, T.; Fox, H.; Thiem, U.; Horstkotte, D.; Wegscheider, K. Nocturnal hypoxaemia is associated with increased mortality in stable heart failure patients. Eur. Heart J. 2016, 37, 1695–1703. [Google Scholar] [CrossRef]
- Azarbarzin, A.; Sands, S.A.; Stone, K.L.; Taranto-Montemurro, L.; Messineo, L.; Terrill, P.I.; Ancoli-Israel, S.; Ensrud, K.; Purcell, S.; White, D.P.; et al. The hypoxic burden of sleep apnoea predicts cardiovascular disease-related mortality: The Osteoporotic Fractures in Men Study and the Sleep Heart Health Study. Eur. Heart J. 2019, 40, 1149–1157. [Google Scholar] [CrossRef]
- Huang, Y.-C.; Lin, C.-Y.; Lan, C.-C.; Wu, Y.-K.; Lim, C.-S.; Huang, C.-Y.; Huang, H.-L.; Yeh, K.-H.; Liu, Y.-C.; Yang, M.-C. Comparison of cardiovascular co-morbidities and CPAP use in patients with positional and non-positional mild obstructive sleep apnea. BMC Pulm. Med. 2014, 14, 153. [Google Scholar] [CrossRef][Green Version]
- Mo, J.-H.; Lee, C.H.; Rhee, C.S.; Yoon, I.-Y.; Kim, J.-W. Positional dependency in asian patients with obstructive sleep apnea and its implication for hypertension. Arch. Otolaryngol. Head Neck Surg. 2011, 137, 786–790. [Google Scholar] [CrossRef]
- Thayer, J.F.; Yamamoto, S.S.; Brosschot, J.F. The relationship of autonomic imbalance, heart rate variability and cardiovascular disease risk factors. Int. J. Cardiol. 2010, 141, 122–131. [Google Scholar] [CrossRef] [PubMed]
- DeGiorgio, C.M.; Miller, P.; Meymandi, S.; Chin, A.; Epps, J.; Gordon, G.; Gornbein, J.; Harper, R.M. RMSSD, a measure of vagus-mediated heart rate variability, is associated with risk factors for SUDEP: The SUDEP-7 Inventory. Epilepsy Behav. 2010, 19, 78–81. [Google Scholar] [CrossRef] [PubMed]
- Kulkas, A.; Muraja-Murro, A.; Tiihonen, P.; Mervaala, E.; Töyräs, J. Morbidity and mortality risk ratios are elevated in severe supine dominant OSA: A long-term follow-up study. Sleep Breath. 2015, 19, 653–660. [Google Scholar] [CrossRef] [PubMed]
- Acharya, U.R.; Joseph, K.P.; Kannathal, N.; Lim, C.M.; Suri, J.S. Heart rate variability: A review. Med. Biol. Eng. Comput. 2006, 44, 1031–1051. [Google Scholar] [CrossRef]
- Stein, P.K.; Domitrovich, P.P.; Huikuri, H.V.; Kleiger, R.E. Traditional and nonlinear heart rate variability are each independently associated with mortality after myocardial infarction. J. Cardiovasc. Electrophysiol. 2005, 16, 13–20. [Google Scholar] [CrossRef]
- Kabbach, E.Z.; Mazzuco, A.; Borghi-Silva, A.; Cabiddu, R.; Galvão Agnoleto, A.; Barbosa, J.F.; Soares de Carvalho Junior, L.C.; Gonçalves Mendes, R. Increased parasympathetic cardiac modulation in patients with acute exacerbation of COPD: How should we interpret it? Int. J. COPD 2017, 12, 2221–2230. [Google Scholar] [CrossRef]
- Tobaldini, E.; Nobili, L.; Strada, S.; Casali, K.R.; Braghiroli, A.; Montano, N. Heart rate variability in normal and pathological sleep. Front. Physiol. 2013, 4, 294. [Google Scholar] [CrossRef]
- Wang, W.; Tretriluxana, S.; Redline, S.; Surovec, S.; Gottlieb, D.J.; Khoo, M.C. Association of cardiac autonomic function measures with severity of sleep-disordered breathing in a community-based sample. J. Sleep Res. 2008, 17, 251–262. [Google Scholar] [CrossRef]
- Liu, S.; Teng, J.; Qi, X.; Wei, S.; Liu, C. Comparison between heart rate variability and pulse rate variability during different sleep stages for sleep apnea patients. Technol. Health Care 2017, 25, 435–445. [Google Scholar] [CrossRef]
- Mejía-Mejía, E.; Budidha, K.; Ysehak Abay, T.; May, J.M.; Kyriacou, P.A. Heart rate variability (HRV) and pulse rate variability (PRV) for the assessment of autonomic responses. Front. Physiol. 2020, 11, 779. [Google Scholar] [CrossRef]
- Khandoker, A.H.; Karmakar, C.K.; Palaniswami, M. Comparison of pulse rate variability with heart rate variability during obstructive sleep apnea. Med. Eng. Phys. 2011, 33, 204–209. [Google Scholar] [CrossRef] [PubMed]
- Yuda, E.; Shibata, M.; Ogata, Y.; Ueda, N.; Yambe, T.; Yoshizawa, M.; Hayano, J. Pulse rate variability: A new biomarker, not a surrogate for heart rate variability. J. Physiol. Anthropol. 2020, 39, 21. [Google Scholar] [CrossRef] [PubMed]



| All | Non-POSA | POSA | p-Value | |
|---|---|---|---|---|
| Nº of subjects (%) | 233 | 104 (44.6%) | 129 (55.4%) | - |
| Nº of males (%) | 167 (71.7%) | 74 (71.2%) | 93 (72.1%) | 0.874 |
| Age (years) | 57.0 [46.0, 65.0] | 57.5 [49.0, 67.0] | 56.0 [44.8, 63.0] | 0.058 |
| BMI (kg/m2) | 28.9 [26.1, 32.4] | 29.8 [26.6, 34.7] | 27.7 [26.0, 31.3] | <0.05 |
| Sleep Apnea Prevalence | ||||
| Nº of patients 5 ≤ AHI < 15 events/h | 53 (22.7%) | 33 (62.3%) | 20 (37.7%) | <0.05 |
| Nº of patients 15 ≤ AHI < 30 events/h | 68 (29.2%) | 18 (26.5%) | 50 (73.5%) | <0.05 |
| Nº of patients AHI ≥ 30 events/h | 112 (48.1%) | 53 (47.3%) | 59 (52.7%) | 0.427 |
| Comorbidities | ||||
| Diabetes, n (%) | 19 (8.2%) | 8 (7.7%) | 11 (8.5%) | 0.817 |
| Hypertension, n (%) | 71 (30.5%) | 36 (34.6%) | 35 (27.1%) | 0.217 |
| Atrial fibrillation, n (%) | 14 (6.0%) | 5 (4.8%) | 9 (7.0%) | 0.489 |
| Ischemic cardiomyopathy, n (%) | 16 (6.9%) | 6 (5.8%) | 10 (7.8%) | 0.552 |
| Dyslipidemia, n (%) | 58 (24.9%) | 27 (26.0%) | 31 (24.0%) | 0.735 |
| COPD, n (%) | 19 (8.2%) | 12 (11.5%) | 7 (5.4%) | 0.090 |
| Stroke, n (%) | 5 (2.2%) | 4 (3.9%) | 1 (0.8%) | 0.108 |
| Heart failure, n (%) | 23 (9.9%) | 12 (11.5%) | 11 (8.5%) | 0.444 |
| Myocardial infarction, n (%) | 0 (0.0%) | 0 (0.0%) | 0 (0.0%) | - |
| Medications | ||||
| Beta-blockers, n (%) | 36 (15.5%) | 17 (16.4%) | 19 (14.7%) | 0.734 |
| Calcium antagonists, n (%) | 7 (3.0%) | 3 (2.9%) | 4 (3.1%) | 0.924 |
| Non-POSA (N = 104) | POSA (N = 129) | p-Value | |
|---|---|---|---|
| Sleep Staging | |||
| TRT (min) | 450 [449, 450] | 450 [432, 450] | 0.373 |
| TST (min) | 389 [354, 414] | 396 [350, 419] | 0.465 |
| Sleep lat. (min) | 9.7 [0.0, 22.8] | 4.5 [0.0, 20.1] | 0.207 |
| N1 (%) | 12.7 [7.9, 19.7] | 10.9 [6.4, 16.2] | 0.054 |
| N2 (%) | 36.3 [30.0, 44.4] | 34.8 [30.3, 42.7] | 0.479 |
| N3 (%) | 27.4 [19.4, 33.5] | 28.4 [21.5, 34.0] | 0.202 |
| REM (%) | 22.4 [17.4, 26.7] | 23.7 [19.1, 27.4] | 0.111 |
| REM lat. (min) | 71.3 [46.3, 108.3] | 72.5 [45.3, 95.6] | 0.427 |
| Respiratory Event Scoring | |||
| AI (events/h) | 5.8 [1.7, 22.7] | 4.6 [1.4, 12.5] | 0.096 |
| HI (events/h) | 19.1 [10.3, 32.2] | 19.9 [12.9, 28.7] | 0.845 |
| AHI (events/h) | 32.5 [13.1, 63.0] | 27.7 [17.6, 41.3] | 0.160 |
| AHIREM (events/h) | 41.9 [23.4, 65.2] | 28.2 [15.8, 54.5] | <0.05 |
| AHINREM (events/h) | 28.9 [11.3, 60.9] | 25.0 [14.1, 38.8] | 0.153 |
| AHISUP (events/h) | 41.3 [16.3, 69.4] | 51.0 [31.8, 67.9] | 0.067 |
| AHINSUP (events/h) | 31.0 [10.0, 55.2] | 10.9 [4.3, 24.1] | <0.05 |
| TSSUP (%) | 40.9 [27.7, 58.8] | 44.4 [31.6, 58.8] | 0.352 |
| TAVG event (s) | 23.5 [21.0, 26.6] | 22.9 [20.9, 26.1] | 0.793 |
| ArITOT (events/h) | 21.9 [13.1, 37.4] | 19.1 [12.1, 25.5] | 0.056 |
| ArIRESP (events/h) | 12.7 [5.3, 29.9] | 11.6 [7.2, 17.1] | 0.247 |
| Non-POSA (N = 104) | POSA (N = 129) | p-Value | |
|---|---|---|---|
| TRT (min) | 450 [450, 450] | 450 [450, 450] | 0.337 |
| ODI3 (events/h) | 24.1 [13.1, 49.9] | 23.3 [14.3, 36.4] | 0.110 |
| ODI4 (events/h) | 13.3 [6.1, 37.7] | 14.2 [6.7, 22.3] | 0.093 |
| CT90 (%) | 12.1 [2.9, 40.0] | 6.9 [1.0, 17.2] | <0.05 |
| SpO2MIN (%) | 76.0 [69.5, 81.5] | 81.0 [76.0, 85.0] | <0.05 |
| SpO2AVG(noEv3%) (%) | 92.1 [90.5, 93.4] | 92.6 [91.2, 93.7] | 0.079 |
| SpO2AVG(noEv4%) (%) | 92.1 [90.3, 93.2] | 92.5 [91.2, 93.5] | 0.068 |
| SpO2AVG(inEv3%) (%) | 89.1 [86.5, 90.5] | 89.4 [88.1, 90.8] | <0.05 |
| SpO2AVG(inEv4%) (%) | 88.1 [85.5, 89.6] | 88.8 [87.5, 90.1] | <0.05 |
| PRAVG (bpm) | 63.9 [58.0, 69.6] | 62.8 [56.2, 68.2] | 0.108 |
| PRMIN (bpm) | 46.0 [39.0, 51.0] | 47.0 [40.8, 52.0] | 0.429 |
| PRMAX (bpm) | 100.0 [90.0, 111.5] | 95.0 [86.0, 108.3] | <0.05 |
| Non-POSA (N = 104) | POSA (N = 129) | p-Value | |
|---|---|---|---|
| Time Domain Indices | |||
| AVNN (ms) | 0.95 [0.88, 1.05] | 0.97 [0.89, 1.08] | 0.148 |
| SDNN (ms) | 0.04 [0.03, 0.06] | 0.04 [0.03, 0.05] | 0.581 |
| RMSSD (×10−4) (ms) | 5.99 [4.89, 7.48] | 6.19 [4.78, 7.50] | 0.679 |
| Frequency Domain: Relative Power | |||
| PT (1/Hz) | 3.75 [2.10, 5.30] | 3.40 [2.08, 4.99] | 0.396 |
| VLFn (nu) | 0.39 [0.31, 0.50] | 0.40 [0.31, 0.51] | 0.544 |
| LFn (nu) | 0.94 [0.91, 0.96] | 0.93 [0.91, 0.95] | 0.761 |
| HFn (nu) | 0.06 [0.05, 0.09] | 0.07 [0.05, 0.09] | 0.760 |
| LF/HF (nu) | 14.55 [9.60, 21.40] | 13.06 [9.86, 19.48] | 0.761 |
| Frequency Domain: Spectral Entropy | |||
| SSET (nu) | 0.49 [0.47, 0.51] | 0.50 [0.48, 0.52] | 0.056 |
| SSEVLF (nu) | 0.93 [0.90, 0.95] | 0.93 [0.91, 0.96] | 0.147 |
| SSELF (nu) | 0.83 [0.80, 0.85] | 0.84 [0.81, 0.86] | 0.062 |
| SSEHF (×10−1) (nu) | 9.70 [9.65, 9.77] | 9.70 [9.65, 9.76] | 0.998 |
| Nonlinear Analysis: Multiscale Entropy | |||
| SampEn1 (nu) | 0.22 [0.18, 0.27] | 0.25 [0.20, 0.31] | <0.05 |
| SampEn2 (nu) | 0.37 [0.29, 0.42] | 0.41 [0.34, 0.48] | <0.05 |
| SampEn3 (nu) | 0.50 [0.38, 0.57] | 0.52 [0.43, 0.60] | <0.05 |
| SampEn4 (nu) | 0.58 [0.44, 0.66] | 0.61 [0.50, 0.70] | <0.05 |
| SampEn5 (nu) | 0.64 [0.51, 0.72] | 0.68 [0.55, 0.78] | <0.05 |
| SampEn6 (nu) | 0.68 [0.55, 0.77] | 0.73 [0.58, 0.83] | <0.05 |
| SampEn7–14 (nu) | 0.73 [0.56, 0.83] | 0.77 [0.61, 0.89] | 0.087 |
| Non-POSA (N = 104) | APOC I (N = 37) | APOC II (N = 77) | APOC III (N = 15) | p-Value | |
|---|---|---|---|---|---|
| Time Domain Indices | |||||
| AVNN (ms) | 0.95 [0.88, 1.05] | 0.96 [0.91, 1.05] | 0.98 [0.89, 1.09] | 0.96 [0.80, 1.13] | 0.455 |
| SDNN (ms) | 0.04 [0.03, 0.06] | 0.04 [0.03, 0.05] | 0.04 [0.03, 0.05] | 0.04 [0.03, 0.056 | 0.751 |
| RMSSD (×10−4) (ms) | 5.99 [4.89, 7.48] | 5.83 [4.56, 7.16] | 6.25 [4.90, 7.63] | 6.78 [4.72, 8.31] | 0.758 |
| Frequency Domain: Relative Power | |||||
| PT (1/Hz) | 3.75 [2.10, 5.30] | 3.09 [2.10, 4.18] | 3.76 [2.11, 5.12] | 3.60 [1.84, 6.15] | 0.626 |
| VLFn (nu) | 0.39 [0.31, 0.50] | 0.42 [0.33, 0.47] | 0.40 [0.30, 0.52] | 0.44 [0.30, 0.51] | 0.924 |
| LFn (nu) | 0.94 [0.91, 0.96] | 0.94 [0.92, 0.95] | 0.92 [0.90, 0.95] | 0.94 [0.91, 0.95] | 0.610 |
| HFn (nu) | 0.06 [0.05, 0.09] | 0.06 [0.05, 0.08] | 0.08 [0.05, 0.10] | 0.06 [0.05, 0.09] | 0.609 |
| LF/HF (nu) | 14.55 [9.60, 21.40] | 15.96 [11.10, 20.55] | 12.20 [8.97, 19.48] | 15.07 [9.99, 19.18] | 0.610 |
| Frequency Domain: Spectral Entropy | |||||
| SSET (nu) | 0.49 [0.47, 0.51] | 0.50 [0.49, 0.51] | 0.50 [0.48, 0.52] | 0.51 [0.49, 0.53] | 0.195 |
| SSEVLF (nu) | 0.93 [0.90, 0.95] | 0.93 [0.91, 0.95] | 0.93 [0.91, 0.96] | 0.94 [0.93, 0.96] | 0.302 |
| SSELF (nu) | 0.83 [0.80, 0.85] | 0.83 [0.82, 0.85] | 0.84 [0.81, 0.86] | 0.84 [0.80, 0.87] | 0.298 |
| SSEHF (×10−1) (nu) | 9.70 [9.65, 9.77] | 9.72 [9.66, 9.75] | 9.70 [9.65, 9.76] | 9.65 [9.61, 9.78] | 0.936 |
| Nonlinear Analysis: Multiscale Entropy | |||||
| SampEn1 (nu) | 0.22 [0.18, 0.27] ⁋,† | 0.24 [0.19, 0.31] | 0.25 [0.19, 0.30] ⁋ | 0.25 [0.23, 0.33] † | <0.05 |
| SampEn2 (nu) | 0.37 [0.29, 0.42] *,⁋,† | 0.41 [0.34, 0.48] * | 0.41 [0.33, 0.46] ⁋ | 0.43 [0.35, 0.52] † | <0.05 |
| SampEn3 (nu) | 0.50 [0.38, 0.57] | 0.51 [0.44, 0.60] | 0.52 [0.43, 0.59] | 0.56 [0.44, 0.67] | 0.082 |
| SampEn4–14 (nu) | 0.72 [0.55, 0.82] | 0.77 [0.61, 0.88] | 0.75 [0.61, 0.88] | 0.77 [0.62, 0.91] | 0.360 |
Publisher’s Note: MDPI stays neutral with regard to jurisdictional claims in published maps and institutional affiliations. |
© 2020 by the authors. Licensee MDPI, Basel, Switzerland. This article is an open access article distributed under the terms and conditions of the Creative Commons Attribution (CC BY) license (http://creativecommons.org/licenses/by/4.0/).
Share and Cite
Álvarez, D.; Arroyo, C.A.; de Frutos, J.F.; Crespo, A.; Cerezo-Hernández, A.; Gutiérrez-Tobal, G.C.; Vaquerizo-Villar, F.; Barroso-García, V.; Moreno, F.; Ruiz, T.; et al. Assessment of Nocturnal Autonomic Cardiac Imbalance in Positional Obstructive Sleep Apnea. A Multiscale Nonlinear Approach. Entropy 2020, 22, 1404. https://doi.org/10.3390/e22121404
Álvarez D, Arroyo CA, de Frutos JF, Crespo A, Cerezo-Hernández A, Gutiérrez-Tobal GC, Vaquerizo-Villar F, Barroso-García V, Moreno F, Ruiz T, et al. Assessment of Nocturnal Autonomic Cardiac Imbalance in Positional Obstructive Sleep Apnea. A Multiscale Nonlinear Approach. Entropy. 2020; 22(12):1404. https://doi.org/10.3390/e22121404
Chicago/Turabian StyleÁlvarez, Daniel, C. Ainhoa Arroyo, Julio F. de Frutos, Andrea Crespo, Ana Cerezo-Hernández, Gonzalo C. Gutiérrez-Tobal, Fernando Vaquerizo-Villar, Verónica Barroso-García, Fernando Moreno, Tomás Ruiz, and et al. 2020. "Assessment of Nocturnal Autonomic Cardiac Imbalance in Positional Obstructive Sleep Apnea. A Multiscale Nonlinear Approach" Entropy 22, no. 12: 1404. https://doi.org/10.3390/e22121404
APA StyleÁlvarez, D., Arroyo, C. A., de Frutos, J. F., Crespo, A., Cerezo-Hernández, A., Gutiérrez-Tobal, G. C., Vaquerizo-Villar, F., Barroso-García, V., Moreno, F., Ruiz, T., Hornero, R., & del Campo, F. (2020). Assessment of Nocturnal Autonomic Cardiac Imbalance in Positional Obstructive Sleep Apnea. A Multiscale Nonlinear Approach. Entropy, 22(12), 1404. https://doi.org/10.3390/e22121404

