Two-Party Privacy-Preserving Set Intersection with FHE
Abstract
1. Introduction
1.1. Related Work
1.2. Contributions
2. Basic Concepts and Techniques
2.1. Notation
2.2. LWE Ciphers and Modulus Reduction
2.3. RLWE Ciphers
2.4. GSW Ciphers and External Product
2.4.1. Gadget Matrix
2.4.2. External Product
2.4.3. GSW Ciphers
2.5. Bloom Filter
3. Homomorphic Operations
3.1. Key Generations
- (1)
- Pick , ;
- (2)
- Pick , , ;
- (3)
- Compute , ;
- (4)
- Set .
3.2. Bootstrapping Algorithm
| Algorithm 1 Bootstrapping Algorithm: . |
| Input:: bootstrapping key; |
| :; |
Output:;
|
3.3. Encryption Scheme
| Algorithm 2 Encryption with private key:). |
| Input:n-bit secret key ; |
| n-bit message ; |
| , hence ; |
| ; |
| Output: |
|
| Algorithm 3 Encryption under public key: . |
| Input:; |
| :n-bit message where each |
| ; |
| ; |
| Output:, |
|
- (1)
- Unpacking the ciphertexts to get ciphers in for the bits of .
- (2)
- Homomorphic computing of on ciphers.
- (3)
- Packing the ciphers of function f into ciphers in .
4. Privacy-Preserving Set Intersection
4.1. The Basic Two-Party Computing Protocol
- 1.
- The client C encrypts the set with private key and sends ciphertexts to the server S.
- 2.
- The server S implements homomorphic computing with bootstrapping key and sends the result to the client C.
- 3.
- The client C decrypts and computes the intersection of the two sets; the server S cannot acquire any information about the input and output.
4.2. Correctness of the Basic Two-Party Computing Protocol
4.3. Security Analysis of the Basic Two-Party Computing Protocol
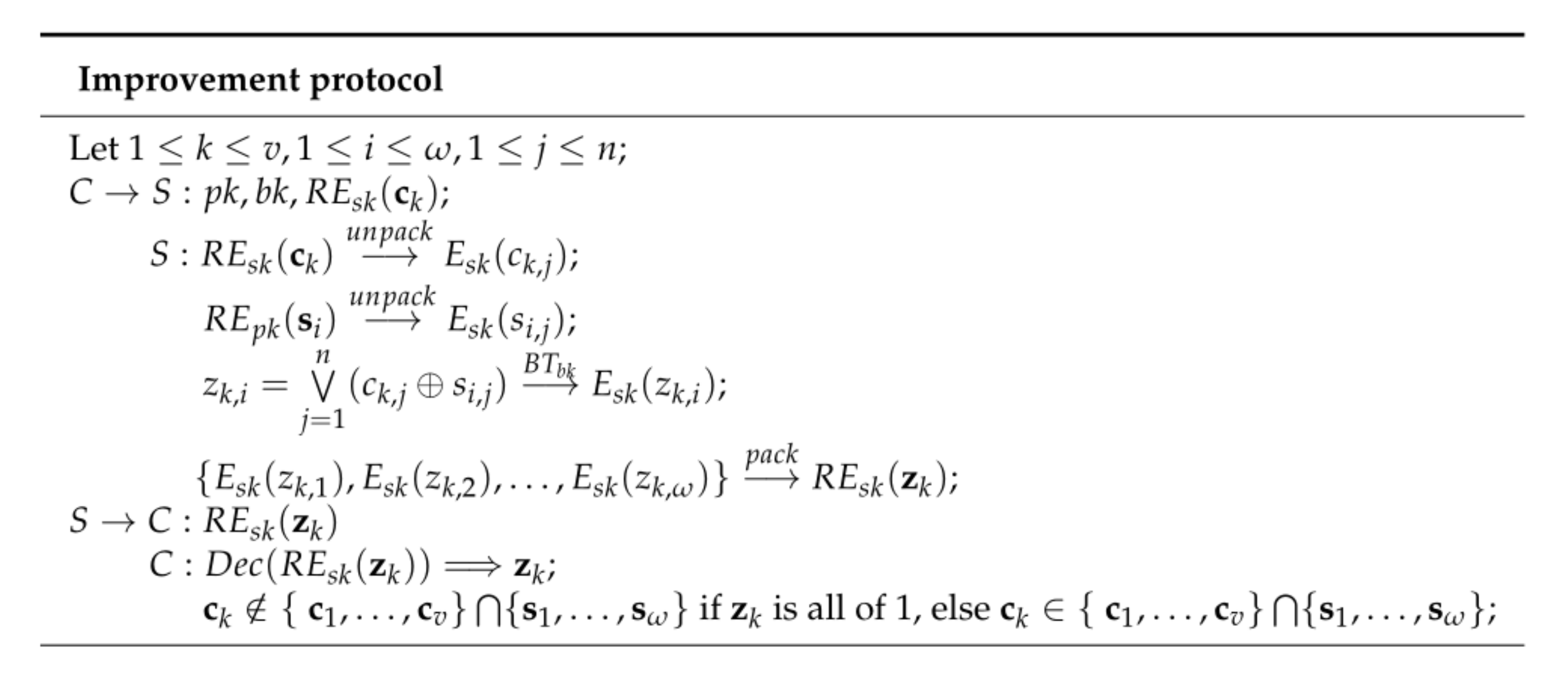
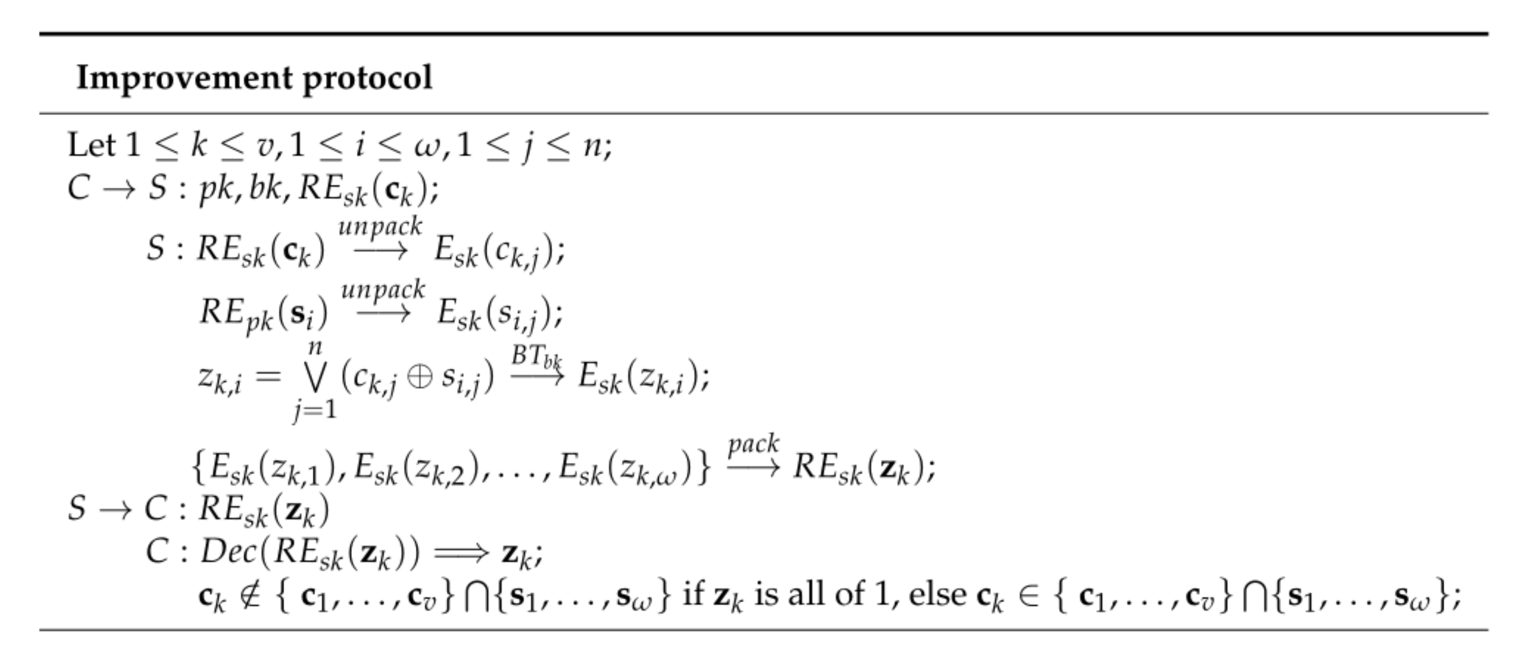
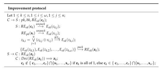
4.4. The Improvement of the Basic Two-Party Computing Protocol
4.5. Two-Party Computing Protocol Based on a Bloom Filter
5. Conclusions
Author Contributions
Funding
Conflicts of Interest
References
- Rvest, R.L.; Adieman, L.; DERtouzos, M.L. On data banks and privacy homomorphisms. Found. Secur. Comput. 1978, 4, 169–180. [Google Scholar]
- Craig, G. Fully Homomorphic Encryption Using Ideal Lattices. In Proceedings of the Annual ACM Symposium on Theory of Computing, Bethesda, MD, USA, 31 May–2 June 2009; pp. 169–178. [Google Scholar] [CrossRef]
- Van Dijk, M.; Gentry, C.; Halevi, S.; Vaikuntanathan, V. Fully homomorphic encryp-tion over the integers. IACR Cryptol. Eprint Arch. 2009, 616. [Google Scholar] [CrossRef]
- Brakerski, Z.; Vaikuntanathan, V. Efficient fully homomorphic encryption from (standard) LWE. SIAM J. Comput. 2014, 43, 831–871. [Google Scholar] [CrossRef]
- Brakerski, Z.; Vaikuntanathan, V. Fully homomorphic encryption from ring-LWE and security for key dependent messages. In Proceedings of the Advances in Cryptology-CRYPTO 2011, Santa Barbara, CA, USA, 14–18 August 2011; Springer: Berlin/Heidelberg, Germany, 2011; pp. 505–524. [Google Scholar] [CrossRef]
- Gentry, C.; Sahai, A.; Waters, B. Homomorphic encryption from learning with errors: Conceptually-simpler, asymptotically-faster, attribute-based. In Advances in Cryptology-CRYPTO 2013; Springer: Berlin/Heidelberg, Germany, 2013; pp. 75–92. [Google Scholar] [CrossRef]
- Gao, S. Efficient Fully Homomorphic Encryption Scheme. Cryptology ePrint Archive: Report 2018/637. 2018. Available online: https://eprint.iacr.org/2018/637 (accessed on 28 October 2020).
- Chillotti, I.; Gama, N.; Georgieva, M. Improving TFHE: Faster Packed Homomorphic Operations and Effcient Circuit Bootstrapping. Cryptology ePrint Archive: Report 2017/ 430. 2017. Available online: https://eprint.iacr.org/2017/430 (accessed on 28 October 2020).
- Oded, G.; Micali, S.; Avi, W. How to play ANY mental game. In Proceedings of the 19th Annual ACM Symposium on Theory of Computing, New York, NY, USA, 25–27 May 1987; pp. 218–229. [Google Scholar] [CrossRef]
- Ion, M.; Kreuter, B.; Nergiz, E. Private Intersection-Sum Protocol with Applications to Attributing Aggregate Ad Conversions. Cryptology ePrint Archive: Report 2017/738. 2017. Available online: https://eprint.iacr.org/2017/738 (accessed on 28 October 2020).
- Ion, M.; Kreuter, B.; Erhan, A. On Deploying Secure Computing Commercially: Private Intersection-Sum Protocols and their Business Applications. Cryptology ePrint Archive: Report 2019/723. 2019. Available online: https://eprint.iacr.org/2019/723. (accessed on 28 October 2020).
- Prasetyo, H.; Guo, J.M. A Note on Multiple Secret Sharing Using Chinese Remainder Theorem and Exclusive-OR. IEEE Access 2019, 7, 37473–37497. [Google Scholar] [CrossRef]
- Yang, Q.; Peng, G.; Gasti, P. MEG: Memory and Energy Efficient Garbled Circuit Evaluation on Smartphones. IEEE Trans. Inf. Forensics Secur. 2019, 14, 913–922. [Google Scholar] [CrossRef]
- Zhang, Z.; Zhang, F.G. Garbled Circuits and Indistinguishability Obfuscation. J. Cryptologic Res. 2019, 6, 541–560. [Google Scholar] [CrossRef]
- Qin, H.; Wang, H.; Wei, X. Privacy-Preserving Wildcards Pattern Matching Protocol for IoT Applications. IEEE Access 2019, 1. [Google Scholar] [CrossRef]
- Gama, M.; Mateus, P.; Souto, A. A Private Quantum Bit String Commitment. Entropy 2020, 22, 272. [Google Scholar] [CrossRef]
- Zhao, C.; Zhao, S.N.; Jia, Z.T. Advances in Practical Secure Two-party Computation and Its Application in Genomic Sequence Comparison. J. Cryptol. Res. 2019, 6, 194–204. [Google Scholar]
- Hazay, C.; Lindell, Y. Efficient Protocols for Set Intersection and Pattern Matching with Security against Malicious and Covert Adversaries. J. Cryptol. 2010, 23, 422–456. [Google Scholar] [CrossRef]
- Cristofaro, E.D.; Lu, E.; Tsudik, Y.A. Gene Efficient Techniques for Privacy-Preserving Sharing of Sensitive Information. Cryptology ePrint Archive: Report 2011/113. 2011. Available online: https://eprint.iacr.org/2011/113 (accessed on 28 October 2020).
- Saracevic, M.; Adamovic, S.; Miskovic, V.; Macek, N.; Sarac, M. A novel approach to steganography based on the properties of Catalan numbers and Dyck words. Future Gener. Comput. Syst. 2019, 100, 186–197. [Google Scholar] [CrossRef]
- Saracevic, M.; Adamovic, S.; Bisevac, E. Applications of Catalan numbers and Lattice Path combinatorial problem in cryptography. Acta Polytech. Hung. 2018, 15, 91–110. [Google Scholar]
- Coppolino, L.; D’Antonio, S.; Formicola, V.; Mazzeo, G.; Romano, L. VISE: Combining Intel SGX and Homomorphic Encryption for Cloud Industrial Control Systems. IEEE Trans. Comput. 2020, 99. [Google Scholar] [CrossRef]
- Lindell, Y.; Pinkas, B. Secure Multiparty Computation for Privacy-Preserving Data Mining. J. Priv. Confidentiality 2009. [Google Scholar] [CrossRef]
- Michael, L.; Nejdl, W.; Papapetrou, O.; Siberski, W. Improving Distributed Join Efficiency with Extended Bloom Filter Operations. In Proceedings of the 21st International Conference on Advanced Networking and Applications, Niagara Falls, ON, Canada, 21–23 May 2007. [Google Scholar]
- Naor, M.; Pinkas, B. Oblivious Transfer and Polynomial Evaluation. In Proceedings of the Thirty-First Annual ACM Symposium on Theory of Computing, Atlanta, GA, USA, 1–4 May 1999. [Google Scholar]
- Freedman, M.J.; Ishai, Y.; Pinkas, B. Keyword Search and Oblivious Pseudorandom Functions. In Second International Conference on Theory of Cryptography; Springer: Berlin/Heidelberg, Germany, 2005. [Google Scholar] [CrossRef]
- Chaum, D.; Rivest, R.L.; Sherman, A.T. Blind Signatures for Untraceable Payments. Adv. Cryptol. 1983. [Google Scholar] [CrossRef]
- Florian, K. Outsourced private set intersection using homomorphic encryption. ACM Symp. Inf. 2012, 85–86. [Google Scholar] [CrossRef]
- Nojima, R.; Kadobayashi, Y. Cryptographically Secure Bloom-Filters. Trans. Data Priv. 2009, 2, 131–139. [Google Scholar]
- Shen, L.; Chen, X.; Shi, J.; Hu, L. Survey on Private Preserving Set Intersection Technology. J. Comput. Res. Dev. 2017, 54, 2153–2169. [Google Scholar] [CrossRef]
- Regev, O. On lattices, learning with errors, random linear codes, and cryptography. In Proceedings of the 37th Annual ACM Symposium on Theory of Computing, Baltimore, MD, USA, 22–24 May 2005. [Google Scholar] [CrossRef]
- Regev, O. On lattices, learning with errors, random linear codes, and cryptography. J. ACM 2009, 34. [Google Scholar] [CrossRef]
- Lyubashevsky, V.; Peikert, C.; Regev, O. On ideal lattices and learning with errors over rings. In Cryptology-EUROCRYPT 2010; Springer: Berlin/Heidelberg, Germany, 2010; p. 6110. [Google Scholar]
- Bloom, B.H. Space/time trade-offs in hash coding with allowable errors. Commun. ACM 1970, 13, 422–426. [Google Scholar] [CrossRef]
- Bellovin, S.; Cheswick, W. Privacy-Enhanced Searches Using Encrypted Bloom Filters. Cryptology ePrint Archive: Report 2004/022. 2004. Available online: https://eprint.iacr.org/2004/022 (accessed on 28 October 2020).
- Goh, E. Secure Indexes. Cryptology ePrint Archive: Report 2003/216. 2003. Available online: https://eprint.iacr.org/2003/216 (accessed on 28 October 2020).
- Raykova, M.; Vo, B.; Bellovin, S.; Malkin, T. Secure Anonymous Database Search. In Proceedings of the ACM Cloud Computing Security Workshop, Chicago, IL, USA, 13 November 2009; pp. 115–126. [Google Scholar] [CrossRef]
- Qiu, L.; Li, Y.; Wu, X. Preserving privacy in association rule mining with bloom filters. J. Intell. Inf. Syst. 2007, 29, 253–278. [Google Scholar] [CrossRef]
- Debnath, S.K.; Dutta, R. Secure and Efficient Private Set Intersection Cardinality Using Bloom Filter. Int. Inf. Secur. Conf. 2015, 9290, 209–226. [Google Scholar] [CrossRef]
- Changyu, D.; Liqun, C.; Zikai, W. When private set intersection meets big data: An efficient and scalable protocol. In Proceedings of the ACM Conference on Computer and Communications Security, Berlin, Germany, 4–8 November 2013; ACM: New York, NY, USA, 2013; pp. 789–800. [Google Scholar] [CrossRef]
- Egert, R.; Fischlin, M.; Gens, D. Privately Computing Set-Union and Set-Intersection Cardinality via Bloom Filters. Eur. J. Oper. Res. 2015, 139, 371–389. [Google Scholar] [CrossRef]
- Ducas, L.; Micciancio, D. FHEW: Bootstrapping homomorphic encryption in less than a second. In Proceedings of the Advances in Cryptology-EUROCRYPT 2015, Sofia, Bulgaria, 26–30 April 2015; Springer: Berlin/Heidelberg, Germany, 2015. Part I. Volume 9056, pp. 617–640. [Google Scholar] [CrossRef]
- Chillotti, I.; Gama, N.; Georgieva, M.; Izabachéne, M. Faster fully homomorphic encryption: Bootstrapping in less than 0.1 seconds. In Proceedings of the Advances in Cryptology-ASIACRYPT 2016: 22nd International Conference on the Theory and Application of Cryptology and Information Security, Hanoi, Vietnam, 4–8 December 2016; Springer: Berlin/Heidelberg, Germany, 2016. Part I. Volume 10031, pp. 3–33. [Google Scholar] [CrossRef]




Publisher’s Note: MDPI stays neutral with regard to jurisdictional claims in published maps and institutional affiliations. |
© 2020 by the authors. Licensee MDPI, Basel, Switzerland. This article is an open access article distributed under the terms and conditions of the Creative Commons Attribution (CC BY) license (http://creativecommons.org/licenses/by/4.0/).
Share and Cite
Cai, Y.; Tang, C.; Xu, Q. Two-Party Privacy-Preserving Set Intersection with FHE. Entropy 2020, 22, 1339. https://doi.org/10.3390/e22121339
Cai Y, Tang C, Xu Q. Two-Party Privacy-Preserving Set Intersection with FHE. Entropy. 2020; 22(12):1339. https://doi.org/10.3390/e22121339
Chicago/Turabian StyleCai, Yunlu, Chunming Tang, and Qiuxia Xu. 2020. "Two-Party Privacy-Preserving Set Intersection with FHE" Entropy 22, no. 12: 1339. https://doi.org/10.3390/e22121339
APA StyleCai, Y., Tang, C., & Xu, Q. (2020). Two-Party Privacy-Preserving Set Intersection with FHE. Entropy, 22(12), 1339. https://doi.org/10.3390/e22121339

