Kullback–Leibler Divergence of a Freely Cooling Granular Gas
Abstract
1. Introduction
2. Free Cooling Evolution of Velocity Cumulants
2.1. Boltzmann Equation and HCS
2.2. Sonine Expansion Formalism
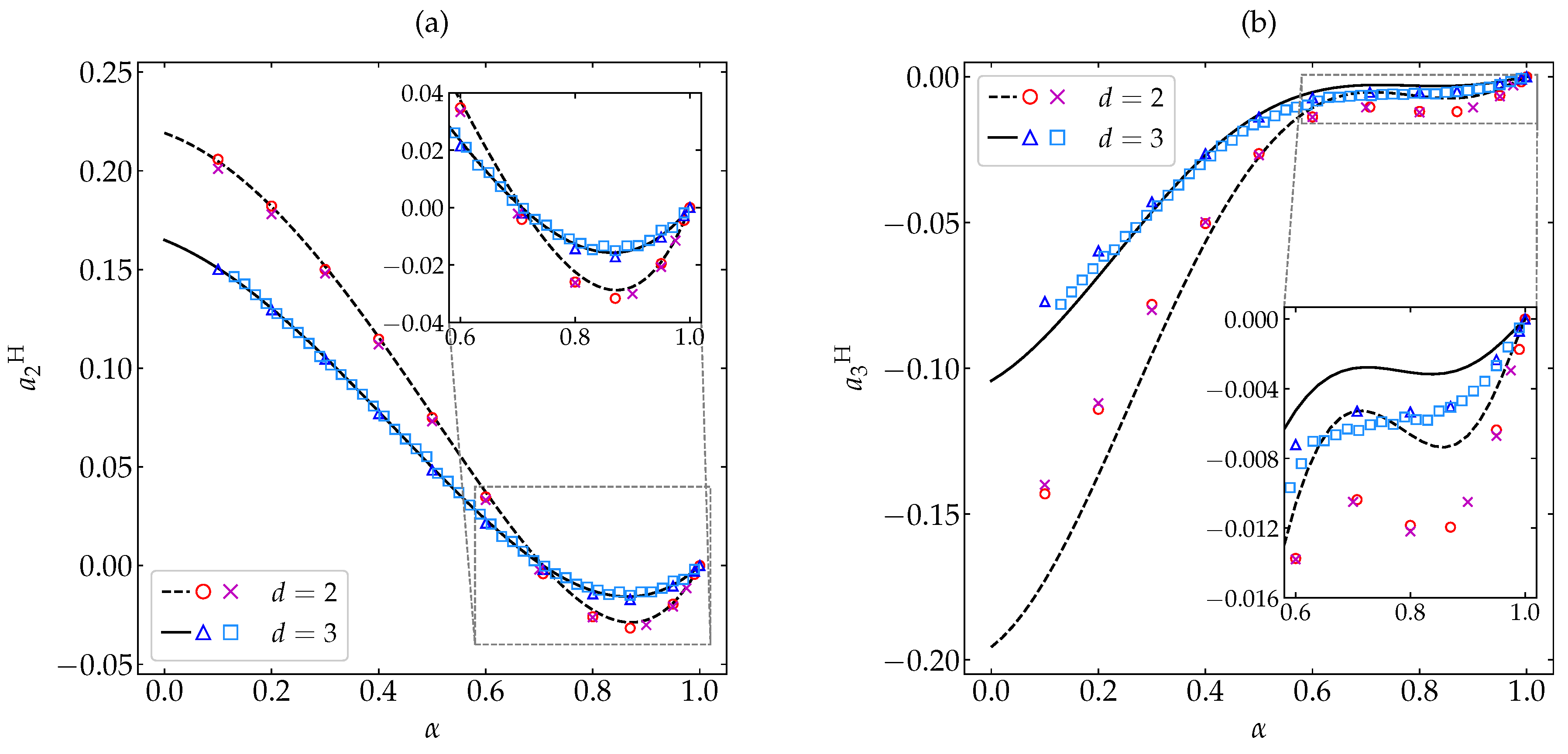
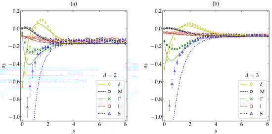
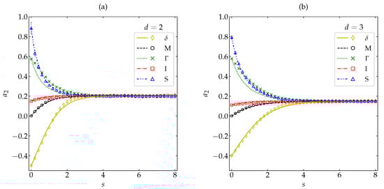
2.3. Truncated Sonine Approximation
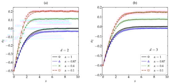
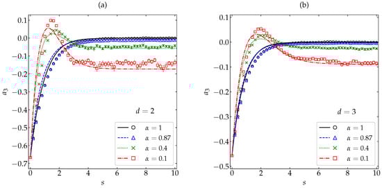
2.4. Comparison with MD Simulations
3. KLD as a Lyapunov Functional
3.1. Boltzmann’s H-Functional
3.2. KLD
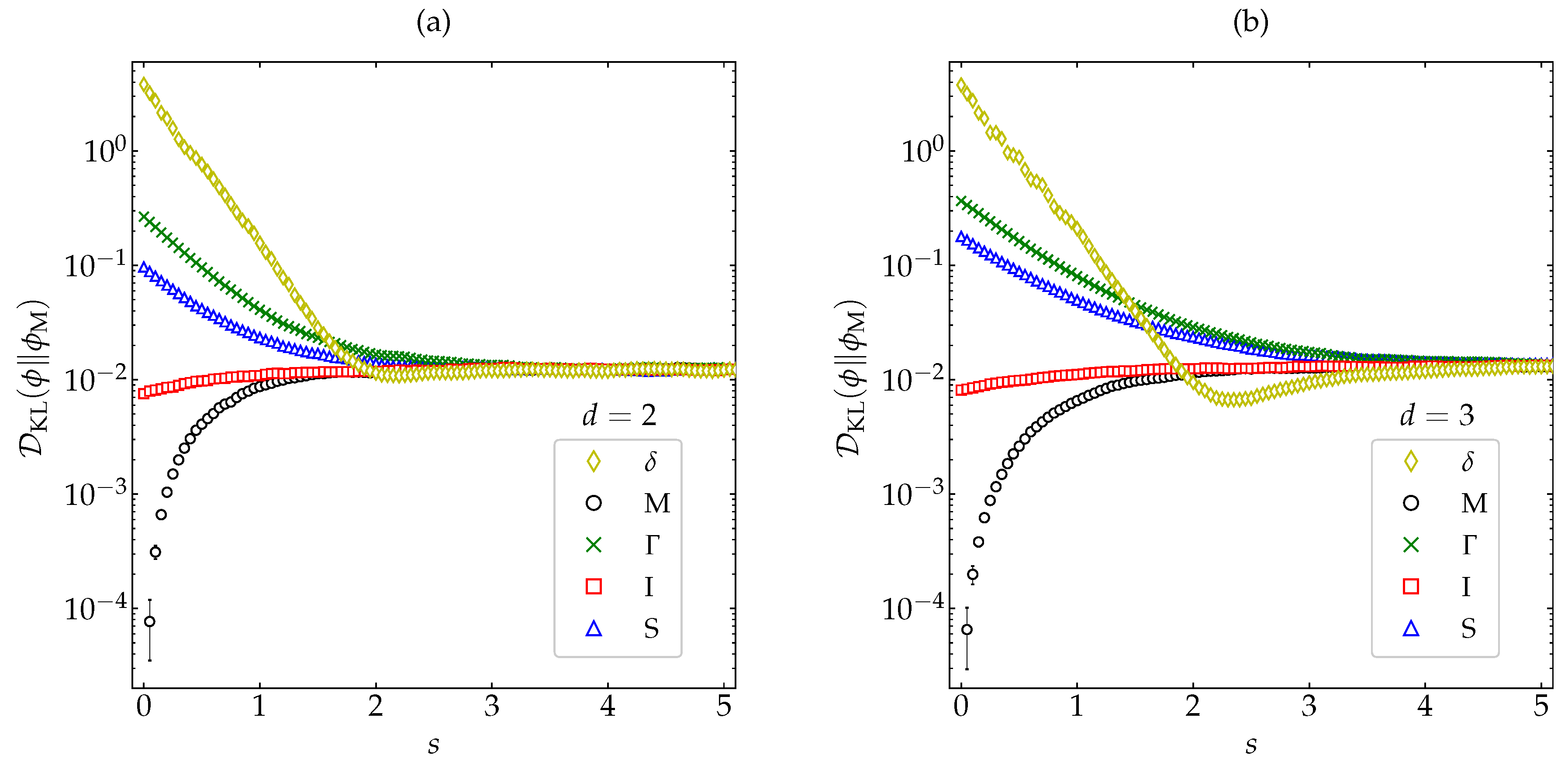
3.3. MD Simulations
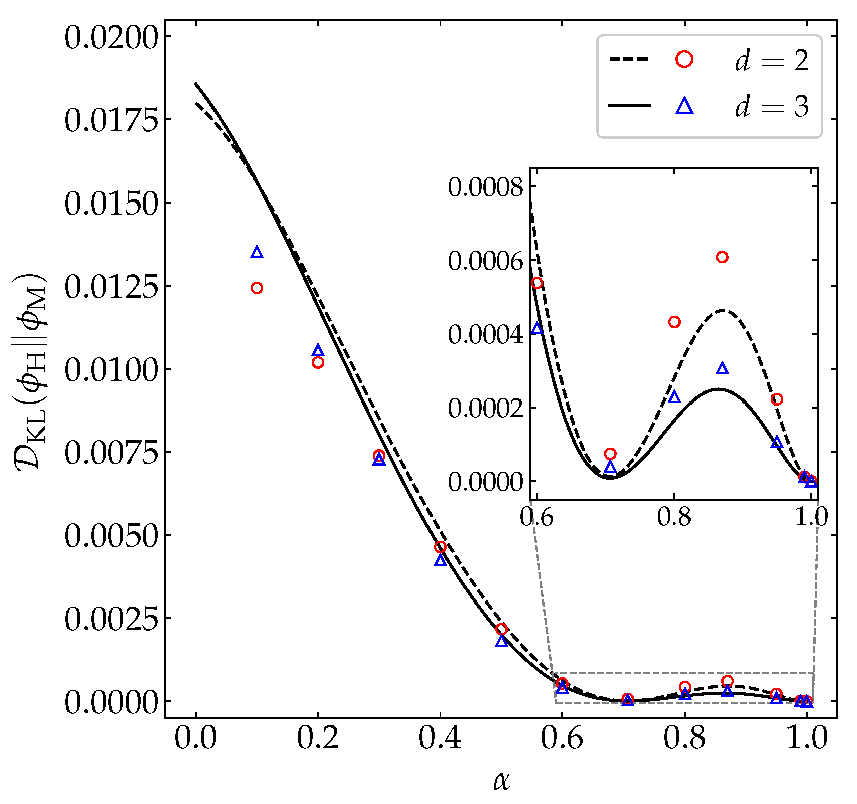
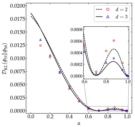
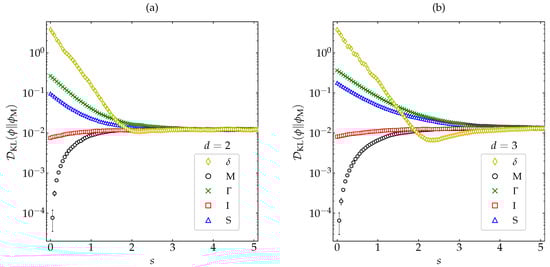
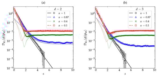
3.3.1. Maxwellian Distribution as a Reference ()
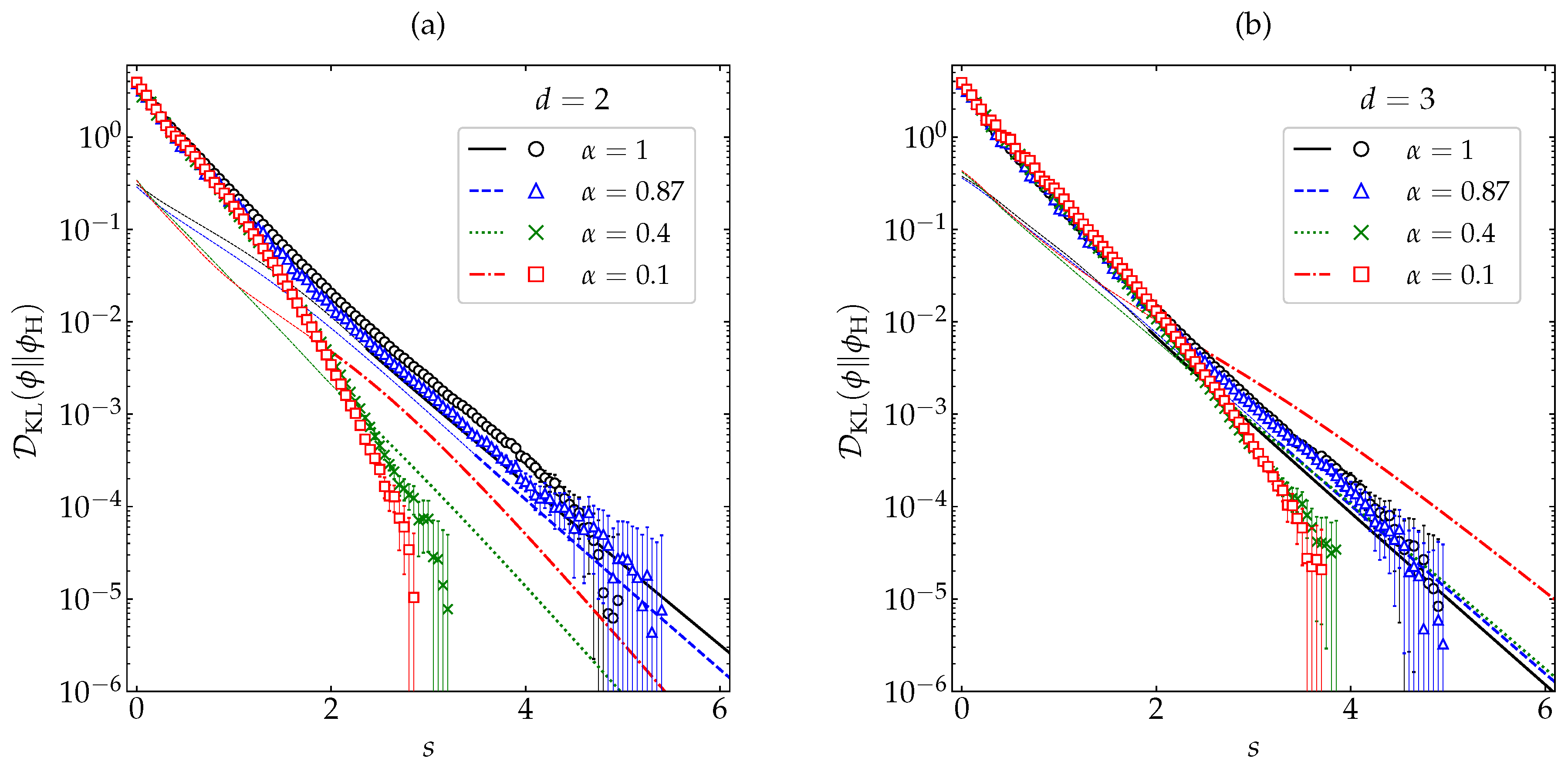
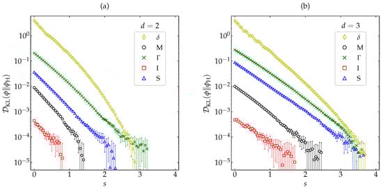
3.3.2. HCS Distribution as a Reference ()
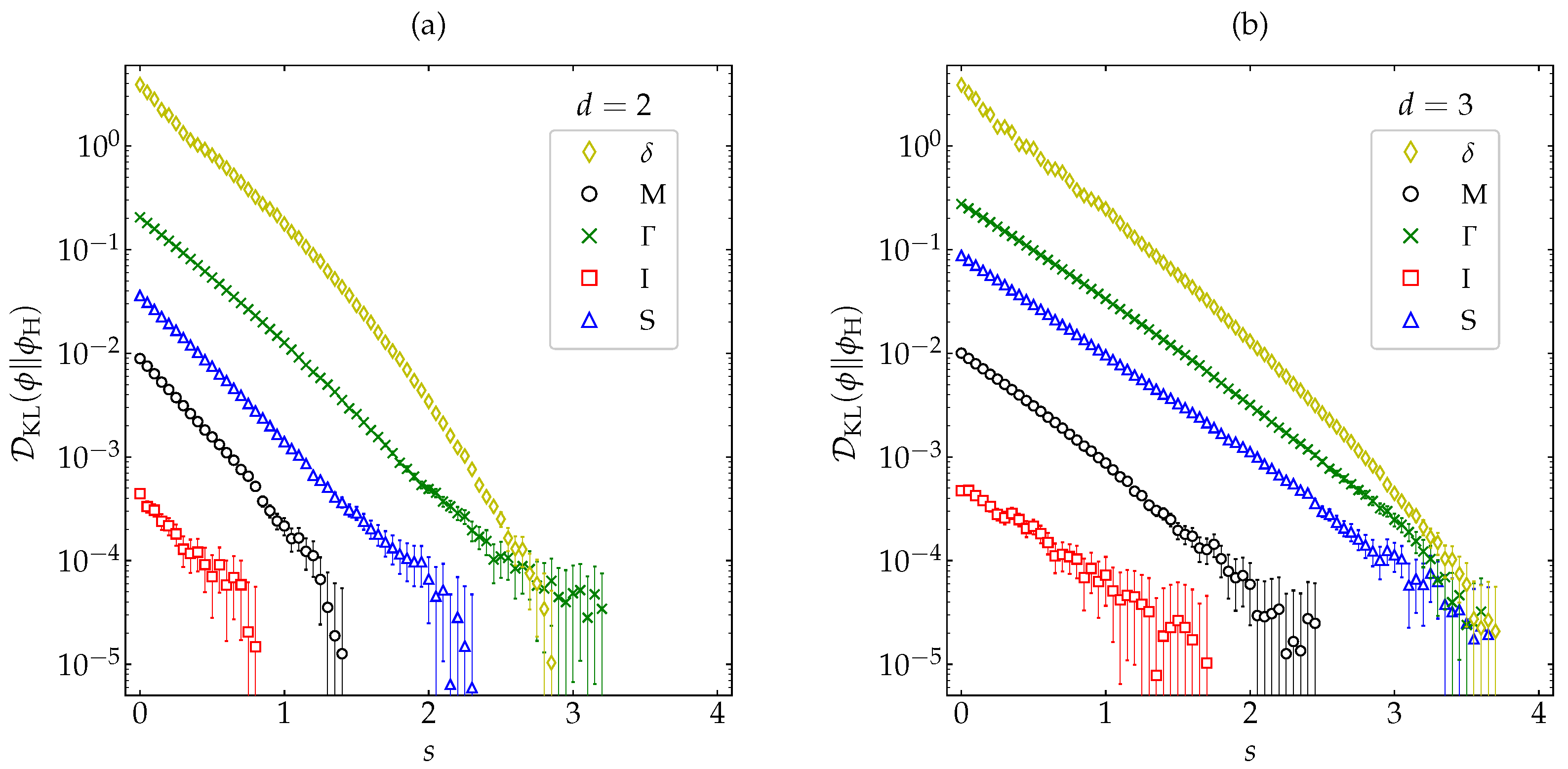
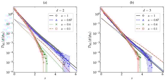
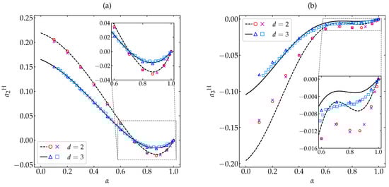
3.3.3. Relative Entropy of with Respect to
4. Summary and Conclusions
Author Contributions
Funding
Conflicts of Interest
Abbreviations
| DSMC | Direct simulation Monte Carlo |
| HCS | Homogenous cooling state |
| KLD | Kullback–Leibler divergence |
| MD | Molecular dynamics |
| VDF | Velocity distribution function |
Appendix A. Simulation and Numerical Details
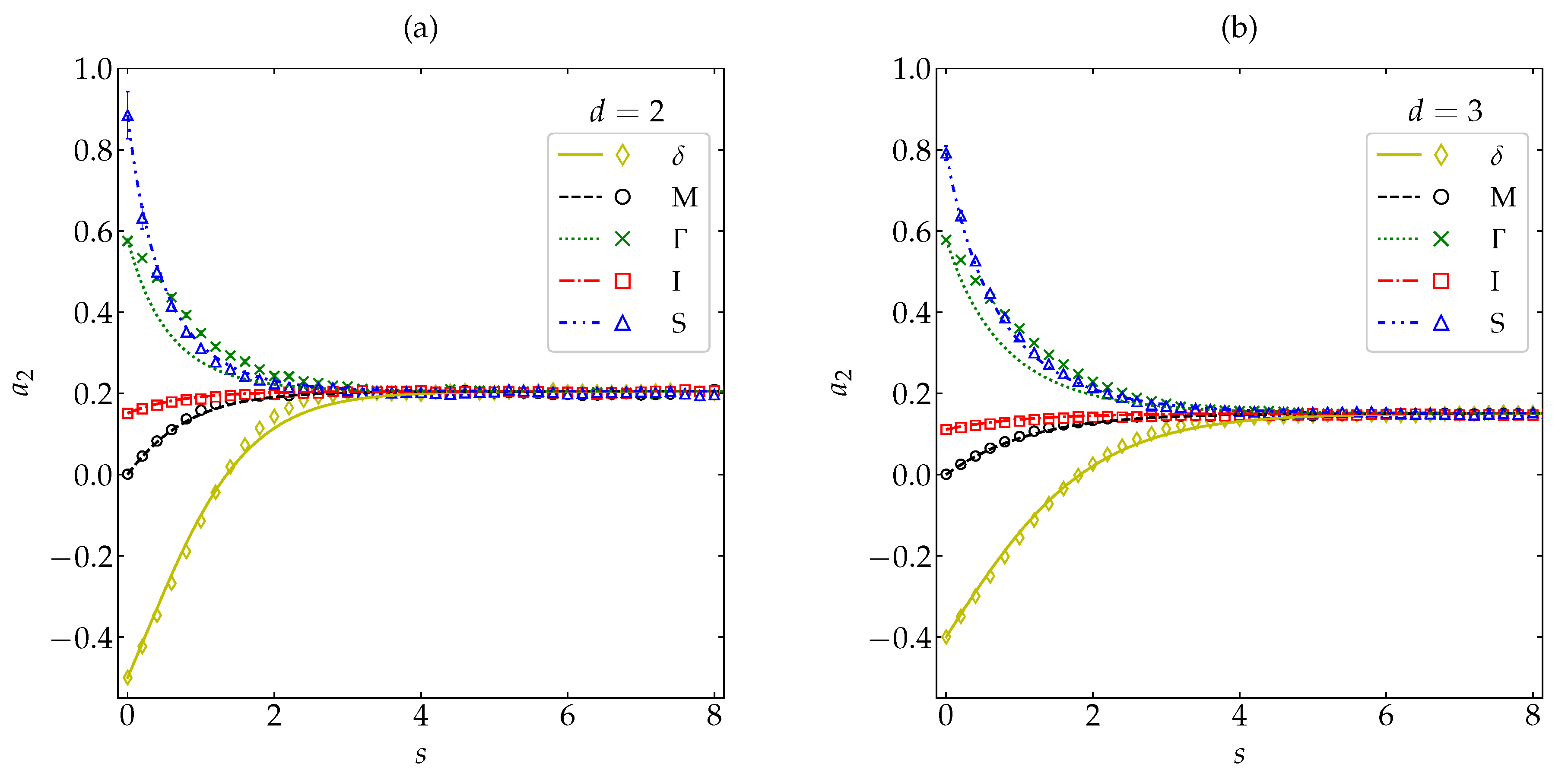
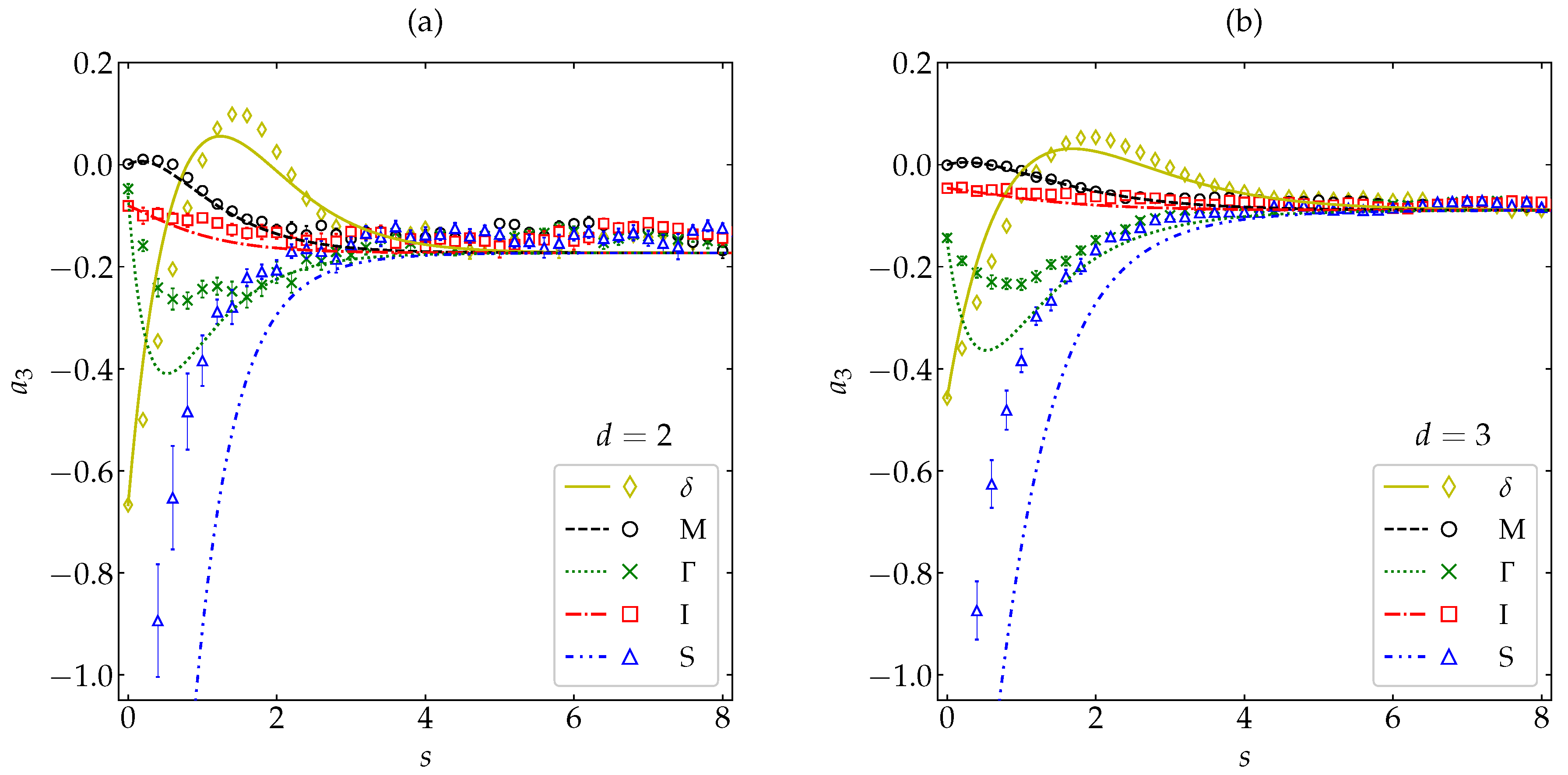
Appendix B. Initial Conditions
| M | I | S | |||
|---|---|---|---|---|---|
| 0 | |||||
| 0 |
Appendix C. Formal Expression for
References
- Shannon, C.E. A mathematical theory of communication. Bell Syst. Tech. J. 1948, 27, 379–423. [Google Scholar] [CrossRef]
- Gray, R.M. Entropy and Information Theory, 2nd ed.; Springer: New York, NY, USA, 2011. [Google Scholar]
- Brey, J.J.; Santos, A. Nonequilibrium entropy of a gas. Phys. Rev. A 1992, 45, 8566–8572. [Google Scholar] [CrossRef] [PubMed]
- Kremer, G.M. Thermodynamics and kinetic theory of granular materials. In Perspectives and Challenges in Statistical Physics and Complex Systems for the Next Decade; Viswanathan, G.M., Raposo, E.P., da Luz, M.G.E., Eds.; World Scientific: Singapore, 2014; pp. 287–299. [Google Scholar] [CrossRef]
- Chapman, S.; Cowling, T.G. The Mathematical Theory of Non-Uniform Gases, 3rd ed.; Cambridge University Press: Cambridge, UK, 1970. [Google Scholar]
- Garzó, V.; Santos, A. Kinetic Theory of Gases in Shear Flows: Nonlinear Transport; Fundamental Theories of Physics; Springer: Dordrecht, The Netherlands, 2003. [Google Scholar]
- Kullback, S.; Leibler, R.A. On Information and Sufficiency. Ann. Math. Statist. 1951, 22, 79–86. [Google Scholar] [CrossRef]
- Kullback, S. Information Theory and Statistics; Dover: New York, NY, USA, 1978. [Google Scholar]
- Santos, A.; Kremer, G.M. Relative Entropy of a Freely Cooling Granular Gas. AIP Conf. Proc. 2012, 1501, 1044–1050. [Google Scholar] [CrossRef]
- Bettolo Marconi, U.M.; Puglisi, A.; Vulpiani, A. About an H-theorem for systems with non-conservative interactions. J. Stat. Mech. 2013, P08003. [Google Scholar] [CrossRef]
- de Soria, M.I.G.; Maynar, P.; Mischler, S.; Mouhot, C.; Rey, T.; Trizac, E. Towards an H-theorem for granular gases. J. Stat. Mech. 2015, P11009. [Google Scholar] [CrossRef]
- Plata, C.A.; Prados, A. Global stability and H theorem in lattice models with nonconservative interactions. Phys. Rev. E 2017, 95, 052121. [Google Scholar] [CrossRef] [PubMed]
- Bannerman, M.N.; Sargant, R.; Lue, L. DynamO: A Free O(N) General Event-Driven Molecular Dynamics Simulator. J. Comput. Chem. 2011, 32, 3329–3338. [Google Scholar] [CrossRef]
- Garzó, V. Granular Gaseous Flows. A Kinetic Theory Approach to Granular Gaseous Flows; Springer Nature: Cham, Switzerland, 2019. [Google Scholar]
- Brilliantov, N.V.; Pöschel, T. Kinetic Theory of Granular Gases; Oxford University Press: Oxford, UK, 2004. [Google Scholar]
- Brilliantov, N.; Pöschel, T. Deviation from Maxwell distribution in granular gases with constant restitution coefficient. Phys. Rev. E 2000, 61, 2809–2812. [Google Scholar] [CrossRef]
- van Noije, T.P.C.; Ernst, M.H. Velocity distributions in homogeneous granular fluids: The free and the heated case. Granul. Matter 1998, 1, 57–64. [Google Scholar] [CrossRef]
- Montanero, J.M.; Santos, A. Computer simulation of uniformly heated granular fluids. Granul. Matter 2000, 2, 53–64. [Google Scholar] [CrossRef]
- Santos, A.; Montanero, J.M. The second and third Sonine coefficients of a freely cooling granular gas revisited. Granul. Matter 2009, 11, 157–168. [Google Scholar] [CrossRef]
- Brey, J.J.; Ruiz-Montero, M.J.; Cubero, D. Homogeneous cooling state of a low-density granular flow. Phys. Rev. E 1996, 54, 3664. [Google Scholar] [CrossRef] [PubMed]
- Ahmad, S.R.; Puri, S. Velocity distributions in a freely evolving granular gas. Europhys. Lett. 2006, 75, 56–62. [Google Scholar] [CrossRef]
- Ahmad, S.R.; Puri, S. Velocity distributions and aging in a cooling granular gas. Phys. Rev. E 2007, 75, 031302. [Google Scholar] [CrossRef]
- Yu, P.; Schröter, M.; Sperl, M. Velocity Distribution of a Homogeneously Cooling Granular Gas. Phys. Rev. Lett. 2020, 124, 208007. [Google Scholar] [CrossRef]
- Bobylev, A.V.; Cercignani, C.; Toscani, G. Proof of an asymptotic property of self-similar solutions of the Boltzmann equation for granular materials. J. Stat. Phys. 2003, 111, 403–417. [Google Scholar] [CrossRef]
- Bisi, M.; Carrillo, J.A.; Toscani, G. Decay Rates in Probability Metrics Towards Homogeneous Cooling States for the Inelastic Maxwell Model. J. Stat. Phys. 2006, 124, 625–653. [Google Scholar] [CrossRef]
- Bolley, F.; Carrillo, J.A. Tanaka Theorem for Inelastic Maxwell Models. Commun. Math. Phys. 2007, 276, 287–314. [Google Scholar] [CrossRef]
- Carrillo, J.A.; Toscani, G. Contractive probability metrics and asymptotic behavior of dissipative kinetic equations. Riv. Mat. Univ. Parma 2007, 6, 75–198. [Google Scholar]
- Carlen, E.A.; Carrillo, J.A.; Carvalho, M.C. Strong Convergence towards homogeneous cooling states for dissipative Maxwell models. Ann. I. H. Poincaré 2009, 26, 167–1700. [Google Scholar] [CrossRef]
- Brilliantov, N.; Pöschel, T. Breakdown of the Sonine expansion for the velocity distribution of granular gases. Europhys. Lett. 2006, 74, 424–430, Erratum: 2006, 75, 188, doi:10.1209/epl/i2006-10099-3. [Google Scholar] [CrossRef]
- Noskowicz, S.H.; Bar-Lev, O.; Serero, D.; Goldhirsch, I. Computer-aided kinetic theory and granular gases. EPL 2007, 79, 60001. [Google Scholar] [CrossRef]
- Brito, R.; Ernst, M.H. Extension of Haff’s cooling law in granular flows. Europhys. Lett. 1998, 43, 497–502. [Google Scholar] [CrossRef]
- Goldshtein, A.; Shapiro, M. Mechanics of collisional motion of granular materials. Part 1. General hydrodynamic equations. J. Fluid Mech. 1995, 282, 75–114. [Google Scholar] [CrossRef]
- Coppex, F.; Droz, M.; Piasecki, J.; Trizac, E. On the first Sonine correction for granular gases. Physica A 2003, 329, 114–126. [Google Scholar] [CrossRef][Green Version]
- Abramowitz, M.; Stegun, I.A. (Eds.) Handbook of Mathematical Functions; Dover: New York, NY, USA, 1972. [Google Scholar]
- Bird, G.A. Molecular Gas Dynamics and the Direct Simulation of Gas Flows; Clarendon: Oxford, UK, 1994. [Google Scholar]
- Brey, J.J.; Dufty, J.W.; Kim, C.S.; Santos, A. Hydrodynamics for granular flow at low density. Phys. Rev. E 1998, 58, 4638–4653. [Google Scholar] [CrossRef]
- Boltzmann, L. Lectures on Gas Theory; Dover: New York, NY, USA, 1995. [Google Scholar]
- Maynar, P.; Trizac, E. Entropy of Continuous Mixtures and the Measure Problem. Phys. Rev. Lett. 2011, 106, 160603. [Google Scholar] [CrossRef]
- Mischler, S.; Mouhot, C.; Rodriguez Ricard, M. Cooling Process for Inelastic Boltzmann Equations for Hard Spheres, Part I: The Cauchy Problem. J. Stat. Phys. 2006, 124, 655–702. [Google Scholar] [CrossRef]
- Mischler, S.; Mouhot, C. Cooling Process for Inelastic Boltzmann Equations for Hard Spheres, Part II: Self-Similar Solutions and Tail Behavior. J. Stat. Phys. 2006, 124, 703–746. [Google Scholar] [CrossRef]
- Mischler, S.; Mouhot, C. Stability, Convergence to Self-Similarity and Elastic Limit for the Boltzmann Equation for Inelastic Hard Spheres. Commun. Math. Phys. 2009, 288, 431–502. [Google Scholar] [CrossRef]
- Pettersson, R. On Solutions to the Linear Boltzmann Equation for Granular Gases. Transp. Theory Stat. Phys. 2004, 33, 527–543. [Google Scholar] [CrossRef]
- Esipov, S.E.; Pöschel, T. The granular phase diagram. J. Stat. Phys. 1997, 86, 1385–1395. [Google Scholar] [CrossRef]
- Kuninaka, H.; Hayakawa, H. Anomalous Behavior of the Coefficient of Normal Restitution in Oblique Impact. Phys. Rev. Lett. 2004, 93, 154301. [Google Scholar] [CrossRef] [PubMed]










Publisher’s Note: MDPI stays neutral with regard to jurisdictional claims in published maps and institutional affiliations. |
© 2020 by the authors. Licensee MDPI, Basel, Switzerland. This article is an open access article distributed under the terms and conditions of the Creative Commons Attribution (CC BY) license (http://creativecommons.org/licenses/by/4.0/).
Share and Cite
Megías, A.; Santos, A. Kullback–Leibler Divergence of a Freely Cooling Granular Gas. Entropy 2020, 22, 1308. https://doi.org/10.3390/e22111308
Megías A, Santos A. Kullback–Leibler Divergence of a Freely Cooling Granular Gas. Entropy. 2020; 22(11):1308. https://doi.org/10.3390/e22111308
Chicago/Turabian StyleMegías, Alberto, and Andrés Santos. 2020. "Kullback–Leibler Divergence of a Freely Cooling Granular Gas" Entropy 22, no. 11: 1308. https://doi.org/10.3390/e22111308
APA StyleMegías, A., & Santos, A. (2020). Kullback–Leibler Divergence of a Freely Cooling Granular Gas. Entropy, 22(11), 1308. https://doi.org/10.3390/e22111308
