Spectrum Sensing Method Based on Information Geometry and Deep Neural Network
Abstract
1. Introduction
2. Spectrum Sensing Model and Centralized Spectrum Sensing Scene
3. Spectrum Sensing Based on Information Geometry
3.1. Statistical Manifold and Fisher Metric
3.2. Geodesic Distance and Riemann Mean
4. Spectrum Sensing Based on the Deep Neural Network
4.1. Determination of the Dataset
4.2. Selection of Hyperparameters in the Deep Neural Network
4.3. Training of the Deep Neural Network
4.4. Testing of the Deep Neural Network
4.5. The Training Process of the Feedforward Neural Network
| Algorithm 1: Classification learning algorithm. | |
| Initialization: | Weight values and bias terms for deep neural networks. |
| Step 1: | While do |
| Step 2: | for Training any sample c in sample set do Forward training |
| Step 3: | for Each neuron j in the hidden or output layer, do |
| Step 4: | , |
| Step 5: | End for Reverse training |
| Step 6: | for Each neuron j in the output layer, do |
| Step 7: | |
| Step 8: | End for |
| Step 9: | for In the training process from the last hidden layer to the first hidden layer, each neuron j of the hidden layer, do |
| Step 10: | |
| Step 11: | End for |
| Step 12: | for Every deviation in the network model, do |
| Step 13: | , |
| Step 14: | End for |
| Step 15: | End for |
| Step 16: | End while |
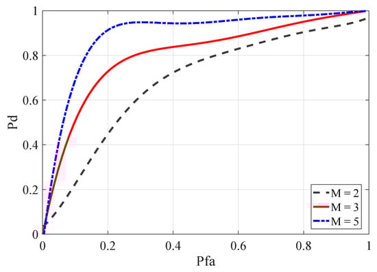
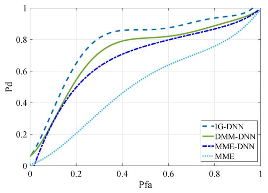
5. Simulation Experiment and Result Analysis
5.1. Multi-Component Signal
5.2. AM Signal
6. Conclusions
Author Contributions
Funding
Conflicts of Interest
References
- Wang, Y.; Zhang, S.; Zhang, Y.; Wan, P.; Wang, S. A cooperative spectrum sensing method based on signal decomposition and K-medoids algorithm. Int. J. Sens. Netw. 2019, 29, 171–180. [Google Scholar] [CrossRef]
- Wang, Y.; Ye, Z.; Wan, P.; Zhao, J. A survey of dynamic spectrum allocation based on reinforcement learning algorithms in cognitive radio networks. Artif. Intell. Rev. 2019, 51, 493–506. [Google Scholar] [CrossRef]
- Wang, H.; Yang, E.H.; Zhao, Z.; Zhang, W. Spectrum sensing in cognitive radio using goodness of fit testing. IEEE Trans. Wirel. Commun. 2009, 8, 5427–5430. [Google Scholar] [CrossRef]
- Zhang, L.; Xia, S. A new cooperative spectrum sensing algorithm for cognitive radio networks. In Proceedings of the 2009 ISECS International Colloquium on Computing, Communication, Control, and Management, Sanya, China, 8–9 August 2009; pp. 107–110. [Google Scholar]
- Zheng, X.; Wang, J.; Wu, Q.; Chen, J. Cooperative spectrum sensing algorithm based on Dempster-Shafer theory. In Proceedings of the 2008 11th IEEE Singapore International Conference on Communication Systems, Guangzhou, China, 19–21 November 2008; pp. 218–221. [Google Scholar]
- Cao, K.T.; Yang, Z. DET Cooperative Spectrum Sensing Algorithm Based on Random Matrix Theory. J. Electron. Inf. Technol. 2010, 1, 129–134. [Google Scholar] [CrossRef]
- Zeng, Y.; Koh, C.L.; Liang, Y.C. Maximum eigenvalue detection: Theory and application. In Proceedings of the 2008 IEEE International Conference on Communications, Beijing, China, 19–23 May 2008; pp. 4160–4164. [Google Scholar]
- Cao, K.T.; Yang, Z. A novel cooperative spectrum sensing algorithm based on random matrix theory. In Proceedings of the 2010 6th International Conference on Wireless Communications Networking and Mobile Computing, Chengdu, China, 23–25 September 2010; pp. 1–4. [Google Scholar]
- Zeng, Y.; Liang, Y.C. Eigenvalue-based spectrum sensing algorithms for cognitive radio. IEEE Trans. Commun. 2009, 57, 1784–1793. [Google Scholar] [CrossRef]
- Wang, Y.X.; Lu, G.Y. DMM based spectrum sensing method for cognitive radio systems. J. Electron. Inf. Technol. 2010, 32, 2571–2575. [Google Scholar] [CrossRef]
- Yao, D.; Liu, H.J. Support vector machine based spectrum sensing algorithm in cognitive radio. Electron. Des. Eng. 2018, 21, 1–5. [Google Scholar]
- Lei, K.J.; Tan, Y.H.; Yang, X.; Wang, H.R. A K-means clustering based blind multiband spectrum sensing algorithm for cognitive radio. J. Cent. South Univ. 2018, 25, 2451–2461. [Google Scholar] [CrossRef]
- Amari, S.I.; Nagaoka, H. Methods of Information Geometry; American Mathematical Society: Providence, RI, USA, 2007; pp. 1044–1068. [Google Scholar]
- Wang, Y.; Chen, Q.; Li, J.; Wan, P.; Pang, S. A Spectrum Sensing Algorithm Based on Information Geometry and K-medoids Clustering. In Proceedings of the International Conference on Cloud Computing and Security, Haikou, China, 8–10 June 2018; pp. 219–230. [Google Scholar]
- Chen, Q.; Wan, P.; Wang, Y.; Li, J.; Xiao, Y. Research on cognitive radio spectrum sensing method based on information geometry. In Proceedings of the International Conference on Cloud Computing and Security, Nanjing, China, 16–18 June 2017; pp. 554–564. [Google Scholar]
- Wang, Y.; Zhang, S.; Zhang, Y.; Wan, P.; Li, J.; Li, N. A Cooperative Spectrum Sensing Method Based on Empirical Mode Decomposition and Information Geometry in Complex Electromagnetic Environment. Complexity 2019, 2019, 5470974. [Google Scholar] [CrossRef]
- Zhang, S.; Wang, Y.; Li, J.; Wan, P.; Zhang, Y.; Li, N. A cooperative spectrum sensing method based on information geometry and fuzzy c-means clustering algorithm. EURASIP J. Wirel. Commun. Netw 2019, 17. [Google Scholar] [CrossRef]
- Ding, Q.; Zou, W.; Zhou, Z.; Li, B.; Ye, Y. A blind spectrum-sensing method based on Bartlett decomposition. In Proceedings of the 2011 6th International ICST Conference on Communications and Networking in China (CHINACOM), Harbin, China, 17–19 August 2011; pp. 639–644. [Google Scholar]
- Xie, J.; Liu, C.; Liang, Y.C.; Fang, J. Activity Pattern Aware Spectrum Sensing: A CNN-Based Deep Learning Approach. IEEE Commun. Lett. 2019, 23, 1025–1028. [Google Scholar] [CrossRef]
- Ke, D.; Huang, Z.; Wang, X.; Li, X. Blind Detection Techniques for Non-Cooperative Communication Signals Based on Deep Learning. IEEE Access 2019, 7, 89218–89225. [Google Scholar] [CrossRef]
- Liu, Y.H.; Luo, S.W.; Li, A.J.; Huang, H.; Wen, J.W. Information geometry on extendable hierarchical large scale neural network model. In Proceedings of the 2003 International Conference on Machine Learning and Cybernetics, Xi’an, China, 2–5 November 2003; pp. 1380–1384. [Google Scholar]
- Khan, A.A.; Rehmani, M.H.; Reisslein, M. Cognitive radio for smart grids: Survey of architectures, spectrum sensing mechanisms, and networking protocols. IEEE Commun. Surv. Tutor. 2015, 18, 860–898. [Google Scholar] [CrossRef]
- Wang, M.; Ning, Z.H.; Xiao, C.; Li, T. Sentiment classification based on information geometry and deep belief networks. IEEE Access 2018, 6, 35206–35213. [Google Scholar] [CrossRef]
- Calin, O.; Udrişte, C. Geometric Modeling in Probability and Statistics; Springer: Berlin, Germany, 2014; pp. 3–49. [Google Scholar]
- Menendez, M.L.; Morales, D.; Pardo, L.; Salicru, M. Statistical tests based on geodesic distances. Appl. Math. Lett. 1995, 8, 65–69. [Google Scholar] [CrossRef]
- Menendez, M.L.; Morales, D.; Pardo, L.; Salicru, M. A distance between multivariate normal distributions based in an embedding into the Siegel group. J. Multivar. Anal. 1990, 8, 223–242. [Google Scholar]
- Balaji, B.; Barbaresco, F.; Decurninge, A. Information geometry and estimation of Toeplitz covariance matrices. In Proceedings of the International Radar Conference, Lille, France, 13–17 October 2014; pp. 1–4. [Google Scholar]
- Moakher, M. A differential geometric approach to the geometric mean of symmetric positive-definite matrices. SIAM J. Matrix Anal. Appl. 2005, 26, 735–747. [Google Scholar] [CrossRef]
- Lenglet, C.; Rousson, M.; Deriche, R.; Faugeras, O. Statistics on the manifold of multivariate normal distributions: Theory and application to diffusion tensor MRI processing. J. Math. Imaging Vis. 2006, 25, 423–444. [Google Scholar] [CrossRef]
- Zhang, Y.; Wan, P.; Zhang, S.; Wang, Y.; Li, N. A spectrum sensing method based on signal feature and clustering algorithm in cognitive wireless multimedia sensor networks. Adv. Multimed. 2017, 2017, 2895680. [Google Scholar] [CrossRef]









| Number of Experiments | 1 | 2 | 3 | 4 | 5 | 6 | 7 | 8 | 9 | 10 | Average Value |
|---|---|---|---|---|---|---|---|---|---|---|---|
| 1 hidden layer (%) | 88 | 92 | 89 | 92 | 89 | 93 | 94 | 90 | 92 | 87 | 90.6 |
| 2 hidden layer (%) | 89 | 93 | 93 | 90 | 92 | 92 | 92 | 89 | 95 | 91 | 91.6 |
| 3 hidden layer (%) | 92 | 93 | 89 | 94 | 94 | 91 | 93 | 91 | 92 | 93 | 92.2 |
| 4 hidden layer (%) | 94 | 94 | 91 | 93 | 89 | 91 | 91 | 92 | 9 | 93 | 91.9 |
| Number of Experiments | 1 | 2 | 3 | 4 | 5 | 6 | 7 | 8 | 9 | 10 | Average Value |
|---|---|---|---|---|---|---|---|---|---|---|---|
| 5/2/2 (%) | 94 | 90 | 92 | 89 | 92 | 93 | 90 | 94 | 90 | 89 | 91.3 |
| 9/7/5 (%) | 92 | 94 | 89 | 94 | 96 | 89 | 90 | 89 | 94 | 93 | 92.0 |
| 20/10/8 (%) | 88 | 95 | 91 | 93 | 93 | 87 | 92 | 91 | 92 | 92 | 91.4 |
| Number of Experiments | 1 | 2 | 3 | 4 | 5 | 6 | 7 | 8 | 9 | 10 | Average Value |
|---|---|---|---|---|---|---|---|---|---|---|---|
| Sigmoid(%) | 95 | 91 | 89 | 92 | 92 | 88 | 95 | 88 | 91 | 89 | 91.0 |
| Tanh(%) | 95 | 95 | 96 | 90 | 94 | 93 | 88 | 94 | 92 | 89 | 92.6 |
© 2020 by the authors. Licensee MDPI, Basel, Switzerland. This article is an open access article distributed under the terms and conditions of the Creative Commons Attribution (CC BY) license (http://creativecommons.org/licenses/by/4.0/).
Share and Cite
Du, K.; Wan, P.; Wang, Y.; Ai, X.; Chen, H. Spectrum Sensing Method Based on Information Geometry and Deep Neural Network. Entropy 2020, 22, 94. https://doi.org/10.3390/e22010094
Du K, Wan P, Wang Y, Ai X, Chen H. Spectrum Sensing Method Based on Information Geometry and Deep Neural Network. Entropy. 2020; 22(1):94. https://doi.org/10.3390/e22010094
Chicago/Turabian StyleDu, Kaixuan, Pin Wan, Yonghua Wang, Xiongzhi Ai, and Huang Chen. 2020. "Spectrum Sensing Method Based on Information Geometry and Deep Neural Network" Entropy 22, no. 1: 94. https://doi.org/10.3390/e22010094
APA StyleDu, K., Wan, P., Wang, Y., Ai, X., & Chen, H. (2020). Spectrum Sensing Method Based on Information Geometry and Deep Neural Network. Entropy, 22(1), 94. https://doi.org/10.3390/e22010094

