Abstract
Programs are under continuous attack for disclosing secret information, and defending against these attacks is becoming increasingly vital. An attractive approach for protection is to measure the amount of secret information that might leak to attackers. A fundamental issue in computing information leakage is that given a program and attackers with various knowledge of the secret information, what is the maximum amount of leakage of the program? This is called channel capacity. In this paper, two notions of capacity are defined for concurrent probabilistic programs using information theory. These definitions consider intermediate leakage and the scheduler effect. These capacities are computed by a constrained nonlinear optimization problem. Therefore, an evolutionary algorithm is proposed to compute the capacities. Single preference voting and dining cryptographers protocols are analyzed as case studies to show how the proposed approach can automatically compute the capacities. The results demonstrate that there are attackers who can learn the whole secret of both the single preference protocol and dining cryptographers protocol. The proposed evolutionary algorithm is a general approach for computing any type of capacity in any kind of program.
1. Introduction
Preventing leakage of secret information to public sources, accessible by attackers, is an important concern in information security. Quantitative information flow [1] is a well-established mechanism for measuring the amount of leakage occurred in a program. It has been successfully applied to many security applications, such as analyzing anonymity protocols [2,3] or the OpenSSL Heartbleed vulnerability [4].
An attacker, with prior knowledge of the secret information of the program, might execute the program and, based on the observation of public variables, infer further knowledge on the secrets (posterior knowledge). For example, in the program (l:=h mod 2), where l is a public output and h is a secret input, the attacker infers the rightmost bit of h by observing l; or in the program (l:=h&(110)), where h is a 3-bit secret input and (110) is the 3-bit binary form of 6, the attacker learns the two leftmost bits of h. The attacker has an initial uncertainty about the secrets, which is the reverse of the prior knowledge and a remaining uncertainty, which is the reverse of the posterior knowledge. Then, information leakage is defined as
Uncertainty can be quantified using information theory concepts, such as the Renyi’s min-entropy [1].
information leakage = initial uncertainty − final uncertainty.
In analyzing concurrent probabilistic programs, the effect of the scheduler of the program should be considered, as different schedulers yield different amounts of leakage [5,6]. For example, consider the program (l:=1 || if l=1 then l:=h), where || is the concurrency operator with shared variables and the initial value of l is 0. If the attacker chooses a scheduler that runs (l:=1) first, then the amount of leakage would be 100%, but if they choose a scheduler that executes (if l=1 then l:=h) first, then the amount of leakage would be 0. It is also common to assume an attacker that can observe the public variables in every single step of the executions [6,7,8,9,10]. This observational power results in intermediate leakages. For example, in the program (l:=1 || if l=1 then l:=h); l:=0 with a scheduler that executes (l:=1) first, there is no leakage in the final step, but the whole bits of h get leaked in an intermediate step. Therefore, in analyzing concurrent probabilistic programs, leakage in intermediate steps and the effect of scheduler should be taken into account.
A frequently asked question in quantitative information flow is: what is the worst-case scenario? This wost-case leakage is called channel capacity, which is an upper bound of leakage over all attackers with the same observational power but different prior knowledge on the secrets [11]. Many approaches have been proposed to measure the capacity of programs. Most of these approaches model programs using channel matrices and compute the capacity using well-known mathematical techniques. For example, Malacaria and Chen [8] use Lagrange multipliers to compute the channel capacity. They use channel matrices to model various programs, including concurrent probabilistic ones. In another work [12], they use Karush–Kuhn–Tucker (KKT) to find the capacity. In using well-known mathematical techniques such as Lagrange multipliers and KKT to compute the capacity; it is necessary to prove the concavity of the leakage function. In most programs and leakage functions, concavity does not hold. Therefore, it is not always possible to use mathematical techniques for computing the capacity. Furthermore, channel matrices have exponential size [13] and are not suitable for considering intermediate leakages and scheduler effect [5,6].
In this paper we propose a fully-automated approach, which involves using Markovian processes for modeling programs and an evolutionary algorithm for computing the capacity. Assume a terminating concurrent program containing sequential probabilistic modules with shared variables. Furthermore, assume a probabilistic scheduler that determines the execution order of statements of the modules. Suppose an attacker that is capable of observing source code of the program, executing the program with a chosen scheduler, and observing the public variables in each step of the executions. The secret and the public variables are shared among the modules, but the attacker can only read the public variables. Following the approach introduced in our previous work [6], we use Markov chains to model executions of concurrent probabilistic programs under control of a probabilistic scheduler and compute expected and maximum leakages of a Markov chain. We then define two notions of capacity, and , which are upper bounds of expected and maximum leakage over all possible prior knowledge of attackers. Computing these capacities is a constrained nonlinear optimization problem and concavity of the objective leakage function is not guaranteed. Thus, we propose a genetic algorithm to measure, approximately, the capacity values of and . The algorithm has been implemented in Python. Finally, we discuss the anonymity protocols, the single preference voting, and the dining cryptographers as case studies to evaluate the proposed approach. We show how to apply the genetic algorithm to approximate the capacities for various cases of the protocols.
To the best of our knowledge, this is the first work in quantitative information flow that uses an evolutionary algorithm to compute the channel capacity and the first work that measures channel capacity for the single preference voting protocol.
In summary, our contributions are
- defining two notions of capacity, and , for shared-memory concurrent probabilistic programs;
- a genetic algorithm for computing, approximately, the capacities and ;
- using the proposed approach for computing the capacities of the single preference voting protocol and the dining cryptographers protocol, which are upper bounds of anonymity leakage; and
- a formula to measure the capacities and of the single preference voting protocol in general.
The remaining of this paper is organized as follows. Section 2 reviews the related work. Preliminary concepts and Markovian processes are presented in Section 3. The information leakage and channel capacity of concurrent probabilistic programs are discussed in Section 4 and Section 5. The proposed evolutionary algorithm for computing the capacity of concurrent probabilistic programs is explained in Section 6. The case studies are discussed in Section 7. Finally, Section 8 concludes the paper and discusses future work.
2. Related Work
Channel capacity in the context of information security was introduced by Millen [14]. It has since gained attention and has been studied in many researches. Chatzikokolakis et al. [15] compute channel capacity of anonymity protocols that satisfy certain symmetries. They model the protocols using channel matrices. These matrices have been used in many quantitative works and are appropriate for analysis of sequential programs. However, their model is not suitable for computing intermediate and scheduler-specific leakages of concurrent probabilistic programs.
Inspired by the authors of [15], Malacaria and Chen use Lagrange multipliers to compute the channel capacity of programs with asymmetric matrix for different observational models of attackers [8]. In order to compute the capacity of a program, they manually derive the channel matrix of the program, consider a constrained nonlinear optimization problem, and solve a series of equations using Lagrange multipliers. In a further work by the authors of [2], they apply their approach to compute the capacity of anonymity protocols. In a further work by the authors of [12], they extend their approach using KKT conditions to support constraints expressed as inequality equations, which Lagrange multipliers are unable to handle. They have not implemented the approaches and have only demonstrated them using small examples. The concavity of the objective function in these examples are easily satisfied and thus they have used Lagrange multipliers and KKT to find the capacity. There are many other programs, in which the concavity is not satisfied. Our approach is fully automatic and considers all variants of constraints.
Biondi et al. [11] measure the capacity of deterministic systems by interval Markov chains. They use the concept of entropy maximization in Bayesian statistics to maximize the entropy of a Markov model and compute the capacity. They only discuss final leakages of deterministic systems and do not consider the intermediate leakages.
Alvim et al. [16] define the additive and multiplicative notions of leakage and capacity based on any gain function. They also discuss computational aspects of measuring capacities. Chatzikokolakis [17] discuss more on the additive notion of leakage and capacity. In our proposed approach, we define capacity similar to the notion of multiplicative leakage with min-entropy. Alvim et al. state that in this case the existence of an efficient algorithm for computing the capacity is not certain. We develop a genetic algorithm to compute this type of capacity and evaluate the proposed algorithm using two anonymity protocols. The results show that the capacity values are not trivial.
Américo et al. [3] compute various types of channel capacities of two anonymity protocols. They define the capacities over all prior distributions and a fixed gain function, over a fixed prior distribution and all gain functions, etc. The Miracle theorem [18] proves that min-entropy is an upper bound of leakage over all gain functions. Therefore, we only established the capacity definitions over a gain function, i.e., Renyi’s min-entropy. Américo et al. use PCTL model checking of PRISM [19] to compute the various public outputs and their probabilities, by which the capacities are computed. They do not consider the intermediate leakages and specifying a formula using the PCTL logic requires considerable amount of manual effort.
An interesting point of view on information flow is side-channel attacks, in which the attacker can learn information about the secret values by observing the nonfunctional characteristics of program behavior [20]. Examples of side channels are computational time [21], power consumption [22] and cache behavior [23]. Side-channel attacks have been exploited in different situations, such as learning secret data from compression algorithms [24] or recovering cryptographic keys from an OpenSSL-based web server [25]. Protecting against side-channel attacks is hard to achieve. Malacaria et al. [20] propose symbolic side-channel analysis techniques to quantify information leakage for probabilistic programs. Kopf and Basin [26] quantify information leakage of adaptive side-channel attacks using information theory. Doychev et al. [27] discuss cache side-channel attacks for many attacker models. In our paper, we assume there is no side-channel attack on concurrent probabilistic programs and we formalize the channel capacity as well as propose an evolutionary algorithm to compute a near-optimum value for the capacity.
Another point of view on information flow is qualitative information flow, in which a security property is characterized to specify information flow requirements and a verification method is used to check satisfiability of the property. It has been studied well in the literature. Probabilistic noninterference [28,29,30] and observational determinism [10,31,32,33,34,35] have been used as information flow properties to characterize the security of concurrent programs. For verifying these security properties, type systems [28,29,31,32], algorithmic verification [10,30,33,34], program analysis [35], and logics [36,37,38] have been utilized. In qualitative information flow, the security property gets rejected when there is a leakage, even a minor one. This is a restrictive condition and results in rejection of many trivially secure programs. For example, a password-checking program is rejected, because it reveals information on what the password is not. In quantitative information flow, the amount of leakage is quantified in order to allow minor leakages and reject major ones. Likewise, the channel capacity is quantified to determine an upper bound on the amount of leakage in the worst-case scenario.
3. Background
3.1. Information Theory
A probability distribution, , over a set, , is a function, , such that . We denote the set of all probability distributions over by . Let denote a random variable with the finite set of values and the distribution .
Definition 1.
The Renyi’s min-entropy [1] of a random variable is defined as
3.2. Markovian Models
We use Markov decision processes (MDPs) [39] to model operational semantics of concurrent probabilistic programs. MDPs model executions and traces of concurrent probabilistic programs using states and transitions. The concept of nondeterminism inherent in MDPs is used to model concurrency between modules by considering all possible choices of statements of the modules. We also use memoryless probabilistic schedulers, an important subclass of schedulers, to model the scheduling policy of the modules. A memoryless probabilistic scheduler resolves nondeterminism of MDPs and produces a Markov chain (MC), which only contains probabilistic transitions of the modules.
Suppose the program has a public output l. Formally,
Definition 2.
A Markov decision process (MDP) is a tuple where,
- S is a set of states,
- is a set of actions,
- is a transition probability function such that for all states and actions :
- is an initial distribution such that ,
- is the finite set of values of l,
- is a labeling function.
The function labels each state with value of the public variable in that state. In fact, a state label is what an attacker observes in a state. An MDP is called finite if S, , and are finite. An action is enabled in state s if, and only if, . Let denote the set of enabled actions in s. Each state for which is called an α-successor of s. The set of -successors of s is denoted by . The set of successors of s is defined as
The state s with is considered as an initial state. The set of initial states of is denoted by . We assume the programs always terminate and thus all paths end in a state without any outgoing transition. We assume all blocking states correspond to the termination of the program. For technical reasons, we include a self-loop to each blocking state s, i.e., , making all blocking states absorbing. A state s is called final if .
The intuitive operational behavior of an MDP is as follows. At the beginning, an initial state is randomly chosen such that . Assuming that is in state s, first a nondeterministic choice between the enabled actions needs to be resolved. Suppose action is selected. Then, one of the -successors of s is selected randomly according to the transition function . That is, with probability the next state is .
An execution path of is an infinite sequence of states that start in an initial state and loop infinitely in a final state. More precisely, a path is a state sequence such that for all , is initial and is final.
A trace of a path is the sequence of public values of the states of the path. Formally, the trace of an infinite path is defined as . The set of traces of is denoted by . Let be the set of paths that have the trace , i.e., .
Definition 3.
A (discrete-time) Markov chain (MC) is a tuple where,
- S is a set of states,
- is a transition probability function such that for all states :
- is an initial distribution such that ,
- is the finite set of values of l,
- is a labeling function.
The function determines for each state s the probability of a single transition from s to . MCs are state transition systems with probability distributions for transitions of each state. That is, the next state is chosen probabilistically, not nondeterministically.
We define the occurrence probability of a trace in an MC as
where T is a trace variable and
Definition 4.
Let be an MDP. A memoryless probabilistic scheduler for is a function , such that for all .
As all nondeterministic choices in an MDP are resolved by a scheduler , a Markov chain is induced. Formally,
Definition 5.
Let be an MDP and be a memoryless probabilistic scheduler on . The MC of induced by δ is given by
where
4. Leakage of Concurrent Probabilistic Programs
In this section, we explain how to compute expected and maximum leakages of concurrent probabilistic programs, considering intermediate states. For further information, please see the work by the authors of [6].
Let P be a terminating concurrent probabilistic program and be a probabilistic scheduler. Suppose P has one public variable l, one secret variable h, and possibly several neutral variables. In case there are more public or secret variables, they can be encoded into one public or secret variable. Let and denote the finite sets of values of l and h, respectively, and denotes the attacker’s prior knowledge on the secret variable. Operational semantics of P is represented by an MDP , which models all possible interleavings of the modules. The scheduler is represented by a memoryless probabilistic scheduler . As the MDP is executed under the control of the scheduler , all nondeterministic transitions are resolved and an MC
is produced. Each state of shows the current values of h, l, possible neutral variables, and the program counter. Since states of contain the program counter, loops of the programs are unfolded in , and the programs always terminate, therefore contains no loops (ignoring self-loops of final states). It takes the form of a directed acyclic graph (DAG), with initial states as roots of the DAG and final states as leaves. Thus, reachability probabilities in coincide with long-run probabilities [40].
As the attacker is able to observe the public values, the labeling function is restricted to l, i.e., and states are labeled by the value of l in the corresponding state. The initial distribution is determined by the prior knowledge of the probabilistic attacker . Let the function determine the value of the variable h in the state . Then, for all .
The uncertainty of the attacker can be computed using either Shannon entropy, Renyi’s min-entropy, or any other gain function. Shannon entropy is used for attackers that guess the secret information in multiple tries, whereas Renyi’s min-entropy is a better measurement for computing uncertainty of attackers that guess the secret in only one try [1]. On the other hand, according to the Miracle theorem [18], Renyi’s min-entropy is an upper bound of leakage over all gain functions. Therefore, we measure the uncertainty of the attacker by the Renyi’s min-entropy.
The attacker’s initial knowledge is represented by the prior distribution and his final knowledge after executing the program and observing the traces is represented by the posterior distribution . Therefore, the expected leakage of is computed as the difference of initial uncertainty and remaining uncertainty.
Definition 6.
The expected leakage of the MC is computed as
where is the initial uncertainty and is computed as
and is the remaining uncertainty and is computed as
where is defined as
and is computed by
is the joint probability of h and T and is calculated by
where is the occurrence probability of the path σ and is the occurrence probability of the trace .
Another measure for quantifying the security of a program is maximum leakage [6], which is the maximal value of leakages occurred in all execution traces of the program. Maximum leakage, denoted , is an upper bound of leakage that an attacker with prior knowledge can infer from .
Definition 7.
The maximum leakage of the MC is computed as
5. Capacity of Concurrent Probabilistic Programs
Capacity is an upper bound of leakage over all possible distributions of the secret input. We consider two types of leakages, expected and maximum. Therefore, two types of capacities are defined: and . Formally,
Definition 8.
The capacity of the MC is defined as
where , , and depend on .
Definition 9.
The capacity of the MC is defined as
where , , and depend on .
Note that for every program we have .
Example 1.
Consider the following program P1.
- l:=0;
- l:=h/2 || l:=h mod 2
where h is the secret input with , l is the public output, and || is the parallel operator.
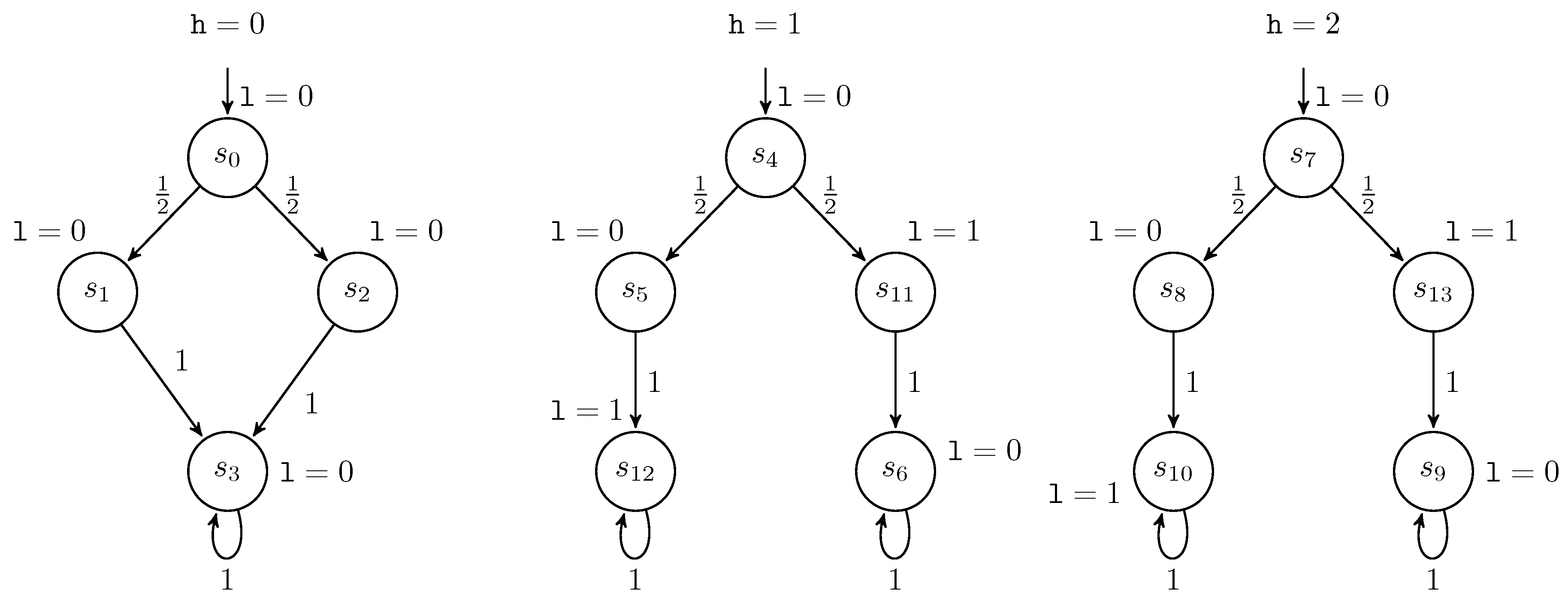
The Markov chain of the program, running under control of a uniform scheduler , is depicted in Figure 1.
Figure 1.
: MC of the program P with the uniform scheduler.
In this MC, each state is labeled by the value of l in that state and each transition is labeled by a probability. For instance, the transition from to has the probability .
Assume the attacker’s prior knowledge over the secret variable h is
where is the probability of choosing . The initial uncertainty is quantified as the Renyi’s min-entropy of h in the initial states:
The remaining uncertainty is quantified as the Renyi’s min-entropy of h after observing the traces. There are three traces with different occurrence probabilities:
Each trace results in different sets of final states, with different posterior distributions:
Consequently, the remaining uncertainty is quantified as
and the expected leakage of the program is computed as
These yield the capacity of the program is computed as
Now, we explain how to compute the capacity of . Since the minimum Renyi’s min-entropy in the final states is 0, then the maximum leakage of is
and the capacity of is computed as
Now, suppose the attacker’s prior knowledge is a uniform distribution on h
i.e., . Then, the expected and the maximum leakages of are computed as
whereas, for the distribution
on h, we have
In order to compute the capacities and , we use the proposed evolutionary algorithm of Section 6. The capacity of P1 is 1 bit and is achieved by the distribution
on h. On the other hand, the capacity of P1 is bits and is achieved by the uniform distribution on h.
Computing the capacities and is a constrained nonlinear optimization problem. The objective function for the problem is expected or maximum leakage of . Recall that the leakage functions are computed as the difference of initial and remaining uncertainties and the uncertainties are computed using the Renyi’s min-entropy. The concavity of the objective functions is not necessarily satisfied. For example, Figure 2 depicts the expected leakage function of for various values of , and .
Figure 2.
The expected leakage of ().
As demonstrated in this figure, the channel capacity for the expected leakage is 1 bit and occurs in the distributions and . An interesting point in the figure is that the uniform distribution on h is not the channel capacity.
Figure 2 shows that the expected leakage function is not concave. Therefore, well-known mathematical techniques such as Lagrange multipliers [41,42] and Karush–Kuhn–Tucker (KKT) [42] cannot be used for optimizing the objective functions of and . In this paper, a genetic algorithm is proposed to compute, approximately, the channel capacity of the concurrent probabilistic programs.
6. An Evolutionary Algorithm for Computing Capacity
The evolutionary algorithm proposed for computing near-optimum values for the two types of capacities is shown in Algorithm 1.
Problem space. The problem space is the probability space of the secret values. That is, for the i-th value of a secret variable, defines the probability of the attacker choosing that value. Note that sum of the probabilities must be equal to 1.
Coding method. The chromosome structure should contain sufficient information about the probability space. Hence, considering a vector of bits to encode a probability space is sufficient. In classical genetic algorithms, the chromosome structure consists of bits. In this paper for each probability of the secret values, a string of ten bits is considered. Therefore, the chromosome size is equal to .
Initial population. The set of chromosomes is called a population. The initial population is randomly generated by a uniform distribution. The number of chromosomes in the population and the maximum number of generations are set to 1500 and 2000, respectively.
Fitness function. During each generation, chromosomes are evaluated using the fitness function. For the evaluation, each chromosome is converted to a value between 0 and 1 to represent a probability value. For example, the chromosome “0100100011” is considered as the binary number , and then converted to the probability 0.284. Based on these probability values, the expected leakage for or the maximum leakage for is computed using Definitions 6 or 7, respectively. Note that sum of the probabilities should be equal to 1. This is a constraint to the fitness function. In this situation, a penalty can be used for the fitness values of those chromosomes that do not satisfy the constraint [43]. We considered the absolute difference between the sum of the probabilities of a chromosome and 1 as a penalty, and is subtracted from the fitness value of the chromosome.
Selection, crossover, and mutation. In this paper, the roulette wheel method [44] is used to select chromosomes for mating (crossover) and producing new offspring. Chromosomes with higher fitness value have higher probability of mating and chromosomes with lower fitness value have lower probability of mating. After selection, the single-point crossover is used to mate the selected parents with probability (line 5 of Algorithm 1). In the single-point crossover, a point is chosen randomly and bits to the right of the chosen point are swapped between the two parent chromosomes. Thus, some genetic information from both parents are carried to the new offspring. To maintain the genetic diversity from one generation to the next and to avoid local minimum, the resulted offspring is mutated with probability (line 6 of Algorithm 1). In the mutation process, a point in the resulted offspring’s chromosome is picked randomly and the bit in that position is flipped.
| Algorithm 1 An evolutionary algorithm for computing capacity |
|
7. Implementation and Case Studies
As case study, two anonymous protocols, the single preference voting protocol [45] and the dining cryptographers protocol [46] are discussed. We show how to apply the proposed genetic algorithm to approximately compute the capacities for different cases of these protocols.
We used the PRISM language [19] to implement the case studies and the PRISM-Leak tool [6] to build the Markov model of the programs and extract the set of traces and their probabilities. These traces and probabilities were given as input to the genetic algorithm to compute the capacity values. The PRISM source codes of the protocols and the genetic algorithm are publicly available from the work by the authors of [47].
7.1. Case Study A: The Single Preference Voting Protocol
Assume a voting protocol with c candidates, n voters, and a winner (with majority votes). Each voter expresses a single preference to one of the candidates. Then, votes of each candidate are summed up and the candidate with the most votes wins the voting. In order to preserve the anonymity of the voters, only the counting results are publicly announced. Therefore, votes are secret and counting results are public. Votes and results are encoded into a single secret variable and a single public variable. There are secret values and thus the secret variable has a size of bits.
The capacity values computed for the single preference protocol are shown in Table 1. In this table, denotes the expected leakage (Definition 6) and shows the the uniform distribution on h. The percentages are computed as the amount of leakage over the initial uncertainty.
Table 1.
Capacity values in bits for the single preference protocol.
As expected, in all cases of Table 1, is greater than or equal to , and both capacity values are greater than the expected leakage with uniform distribution. However, the percentages for the capacities are all 100% and the votes get completely leaked.
Consider the case where and . In this case, the secret values are “1-1”, “2-2”, “1-2”, and “2-1”. The secret value “1-2” means that the first voter has chosen the candidate 1 and the second one has picked the candidate 2. The secret size is bits. An attacker that only knows the number of candidates and the number of voters, i.e., a uniform distribution on the secret values, observes four different traces. Each of the secret values “1-1” and “2-2” results in just one trace, and thus the attacker can infer the whole secret (who voted whom) by observing the corresponding trace. Both secret values “1-2” and “2-1” result in two traces and hence the attacker has to guess the secret value by a success probability of 50%. Therefore, the expected leakage of the single preference protocol for and becomes 1.5 and the maximum leakage becomes 2. The latter occurs because there are two traces that leak the whole secret (traces of “1-1” and “2-2”). Now consider an attacker that knows the secret values belong to {“1-1”, “2-2”, “2-1” }, which results in the prior distribution . When this attacker executes the program of the single preference protocol, they observe only one trace for each secret value and can infer each secret value by observing its corresponding trace. Therefore, the expected leakage for this attacker is equal to the whole secret size, that is, . The other attackers with the same observational power but different prior knowledge on the secrets infer less or equal information than the latter attacker. Thus, for and is bits. Since the maximum leakage is , it is clear that would be , too.
Lemma 1.
The capacity for the single preference protocol with n voters and c candidates corresponds to
Proof.
All permutations of the same set of vote values produce the same set of traces. For instance for and , there are nine secret values: “1-1”, “2-2”, “3-3”, “1-2”, “2-1”, “1-3”, “3-1”, “2-3”, and “3-2”. The secret value “1-3” means that the first voter has chosen the candidate 1 and the second one has picked the candidate 3. The secret values “1-3” and “3-1” produce the same set of traces and the attacker cannot distinguish between the traces. Thus, the secret values “1-3” and “3-1” form an equivalence class (a combination of vote values). Due to the fact that the maximum value of min-entropy is achieved by a uniform distribution, to compute the channel capacity of the program, it is sufficient to choose only one permutation of the secret values from each class and assign an equal probability to the selected classes. Since, the number of classes is equal to the number of the combinations of c candidates in n places with repetitions, and the selected secret values have the same probability, the channel capacity for the expected leakage corresponds to
□
For and , there are six equivalence classes of the votes: “1-1”, “2-2”, “3-3”, “1-2”, “1-3”, and “2-3”. A distribution that assigns to each class and 0 to the other secret values, i.e., “2-1”, “3-1”, and “3-2”, leads to the value 2.58 for .
Lemma 2.
The capacity for the single preference protocol with n voters and c candidates corresponds to
which is achieved by a uniform distribution on the secret values.
Proof.
There is only one trace for each combination of the same vote values. For instance, for the case of and , there is one trace for each of “1-1”, “2-2”, and “3-3”, and the attacker can learn the whole secret value by observing the trace. Thus, the remaining Renyi’s min-entropy of these traces is 0. To compute the channel capacity for the maximum leakage, it is enough to maximize the initial Renyi’s min-entropy. This is obtained by a uniform distribution on all secret values and the channel capacity is equal to of the secret size, i.e., . □
7.2. Case Study B: The Dining Cryptographers Protocol
The dining cryptographers protocol [46] is an anonymous broadcasting protocol. In this protocol, a number of cryptographers are sitting around a round table to have dinner. They are informed that the dinner has been paid by either one of them or their master. The cryptographers intend to understand whether the master is paying or not. To solve the problem, each cryptographer tosses an unbiased coin and shows the result to his right side cryptographer. Then, he announces 1 if his coin and his left side cryptographer’s coin is the same or 0 if not. Of course, if the cryptographer is the payer, he lies and announces the inverse. To understand whether the payer is master or not, XOR of all announcements is computed. For an even number of cryptographers, a result of 1 implies that the master is the payer (none of the cryptographers is the payer) and a result of 0 shows that one of the cryptographers is the payer. This is reverse for an odd number of cryptographers.
Suppose an attacker who aims to infer the identity of the payer. The attacker can be
- internal, i.e., one of the cryptographers, who can see his own coin, the left side cryptographer’s coin, and also the announcements of all cryptographers, or
- external, i.e., none of the cryptographers or master, who can see the announcements of all cryptographers and XOR of the announcements;
and the payer can be
- one of the cryptographers, i.e., ,
- the master (m, for short) or one of the cryptographers, i.e., .
The capacity values for the external attacker and the internal attacker with uniform scheduler are shown in Table 2 and Table 3, respectively. In these tables, N denotes the number of cryptographers and shows the uniform distribution on h. In all cases of Table 2 and Table 3, is greater than or equal to .
Table 2.
Capacity values in bits for the external attacker of the dining cryptographers protocol.
Table 3.
Capacity values in bits for the internal attacker of the dining cryptographers protocol.
In the last three cases of Table 2, the leakage and capacity values are all 0. This demonstrates that when the master is not a payer candidate, the payer can not be recognized by the external attacker and the dining cryptographers protocol is secure. Another interesting point is that in both Table 2 and Table 3, except the last three rows of Table 2, is equal to , i.e., 100% leakage. This demonstrates that the attacker identifies the payer.
In the first three cases of Table 2, where the attacker is external and , is equal to 1 bit for all values of N. This is achieved by a probability distribution, in which the probabilities of the payer being master and one of the cryptographers are equal to and other probabilities are equal to 0. Likewise, in the last three rows of Table 3, where the attacker is internal and the payer is one of the cryptographers, is also 1 bit for all values of N. This is achieved by a distribution, in which the probabilities of two cryptographers are equal to and the others are 0. Furthermore, in all cases that the attacker is internal and , the capacity is equal to . This is the result of a probability distribution, in which the probabilities of the master and two of the cryptographers are equal to and the others 0. This demonstrates that the internal attacker identifies the payer.
Stability evaluation. The evolutionary algorithms, including genetic algorithms, are meta-heuristic optimizers. Therefore, to rely on the results, the algorithm should be run multiple times and stability of the results be evaluated. The stability is defined as closeness of the results to each other in various runs. To evaluate the stability, t-test and Levene’s test [48], two well-known statistical techniques, are used. The Levene’s test investigates the equal variance assumption and based on its results, t-test verifies the equality of means of two independent groups of results.
For the evaluation, the proposed genetic algorithm was executed 30 times and the capacity was computed for a single case, i.e., internal attacker, and . The and this case were chosen as an example of all possible capacities and cases. The results were divided into two groups of 15 runs.
The stability test for the experimental results of the dining cryptographers protocol is demonstrated in Table 4.
Table 4.
The stability test of the experimental results for the significance level of 0.01.
Since the significant value (Sig.) of the Levene’s test for equality of variance () is greater than the significance level , the equal variance assumption is accepted and the first row of t-test is considered. The significance level () is greater than and the interval of the difference between means contains 0; it follows that with a confidence of there are no statistically significant differences between means of the results in the groups. Thus, the algorithm results are stable in the sense that the number of runs is enough.
8. Conclusions and Future Work
In this paper, we discussed how to compute the channel capacity of concurrent probabilistic programs. We modeled the programs via Markovian processes and defined two types of capacities, which are upper bounds on expected and maximum leakages. These capacities range over all prior distributions of the secret. We proposed a genetic algorithm to approximate the capacity values. To show the applicability and feasibility of the proposed approach, the single preference voting and the dining cryptographers protocols were discussed. A t-test was performed to evaluate the stability of results produced by multiple runs of the evolutionary algorithm for the dining cryptographers protocol.
Our definition of capacities were of type multiplicative. As future work, we aim to define additive variants of capacity, ranging over all gain functions and all initial distributions. We plan to apply the proposed genetic algorithm to approximate these different types of capacities. As another future work, we will analyze other anonymity protocols, such as crowds and TOR, to observe how these protocols leak sensitive information in the worst-case scenarios. An interesting future work would be to compute the capacity of nonterminating concurrent probabilistic programs.
Author Contributions
Supervision: J.K., H.I., and A.I.; Writing, review, and editing: K.S.
Funding
This research received no external funding.
Acknowledgments
Thanks go to Ali A. Noroozi, Javad Hajipour, and Shahriar Lotfi for helpful comments and feedback. They also would like to thank the anonymous reviewers for their invaluable suggestions.
Conflicts of Interest
The authors declare no conflict of interest.
References
- Smith, G. On the Foundations of Quantitative Information Flow. In Proceedings of the 12th International conference on Foundations of Software Science and Computational Structures, FOSSACS 2009, Grenoble, France, 8–12 April 2009; Springer: Berlin, Germany, 2009; pp. 288–302. [Google Scholar]
- Chen, H.; Malacaria, P. Quantifying maximal loss of anonymity in protocols. In Proceedings of the 4th International Symposium on Information, Computer, and Communications Security, Seoul, Korea, 2–4 December 2009; pp. 206–217. [Google Scholar]
- Américo, A.; Vaz, A.; Alvim, M.S.; Campos, S.V.; McIver, A. Formal Analysis of the Information Leakage of the DC-Nets and Crowds Anonymity Protocols. In Brazilian Symposium on Formal Methods; Springer: Berlin, Germany, 2017; pp. 142–158. [Google Scholar]
- Biondi, F.; Enescu, M.A.; Heuser, A.; Legay, A.; Meel, K.S.; Quilbeuf, J. Scalable Approximation of Quantitative Information Flow in Programs. In Verification, Model Checking, and Abstract Interpretation; Dillig, I., Palsberg, J., Eds.; Springer International Publishing: Cham, Switzerland, 2018; pp. 71–93. [Google Scholar]
- Ngo, T.M.; Huisman, M. Quantitative Security Analysis for Multi-threaded Programs. In Proceedings of the 11th International Workshop on Quantitative Aspects of Programming Languages and Systems, QAPL 2013, Rome, Italy, 23–24 March 2013; pp. 34–48. [Google Scholar] [CrossRef]
- Noroozi, A.A.; Karimpour, J.; Isazadeh, A. Information Leakage of Multi-threaded Programs. Comput. Electr. Eng. 2019, 78, 400–419. [Google Scholar] [CrossRef]
- Chen, H.; Malacaria, P. Quantitative Analysis of Leakage for Multi-threaded Programs. In Proceedings of the 2007 Workshop on Programming Languages and Analysis for Security, San Diego, CA, USA, 14 June 2007; ACM: New York, NY, USA, 2007. PLAS ’07. pp. 31–40. [Google Scholar] [CrossRef]
- Malacaria, P.; Chen, H. Lagrange multipliers and maximum information leakage in different observational models. In Proceedings of the Third ACM SIGPLAN Workshop on Programming Languages and Analysis for Security, Tucson, AZ, USA, 7–13 June 2008; pp. 135–146. [Google Scholar]
- Chen, H.; Malacaria, P. The Optimum Leakage Principle for Analyzing Multi-threaded Programs. In Proceedings of the 4th International Conference on Information Theoretic Security, Shizuoka, Japan, 3–6 December 2009; Springe: Berlin/Heidelberg, Germany, 2010. ICITS’09. pp. 177–193. [Google Scholar]
- Noroozi, A.A.; Karimpour, J.; Isazadeh, A. Bisimulation for Secure Information Flow Analysis of Multi-Threaded Programs. Math. Comput. Appl. 2019, 24, 64. [Google Scholar] [CrossRef]
- Biondi, F.; Legay, A.; Nielsen, B.F.; Wasowski, A. Maximizing entropy over Markov processes. J. Log. Algebr. Methods Program. 2014, 83, 384–399. [Google Scholar] [CrossRef]
- Chen, H.; Malacaria, P. Studying maximum information leakage using karush-kuhn-tucker conditions. arXiv 2009, arXiv:0910.4033. [Google Scholar] [CrossRef]
- Biondi, F. Markovian Processes for Quantitative Information Leakage. Ph.D. Thesis, IT University of Copenhagen, Copenhagen, Denmark, 2014. [Google Scholar]
- Millen, J.K. Covert channel capacity. In Proceedings of the 1987 IEEE Symposium on Security and Privacy, Oakland, CA, USA, 27–29 April 1987; p. 60. [Google Scholar]
- Chatzikokolakis, K.; Palamidessi, C.; Panangaden, P. Anonymity protocols as noisy channels. Inf. Comput. 2008, 206, 378–401. [Google Scholar] [CrossRef]
- Alvim, M.S.; Chatzikokolakis, K.; McIver, A.; Morgan, C.; Palamidessi, C.; Smith, G. Additive and multiplicative notions of leakage, and their capacities. In Proceedings of the 2014 IEEE 27th Computer Security Foundations Symposium, Vienna, Austria, 19–22 July 2014; pp. 308–322. [Google Scholar]
- Chatzikokolakis, K. On the Additive Capacity Problem for Quantitative Information Flow. In Proceedings of the International Conference on Quantitative Evaluation of Systems, Beijing, China, 4–7 September 2018; pp. 1–19. [Google Scholar]
- Mario, S.A.; Chatzikokolakis, K.; Palamidessi, C.; Smith, G. Measuring information leakage using generalized gain functions. In Proceedings of the 2012 IEEE 25th Computer Security Foundations Symposium, Cambridge MA, USA, 25–27 June 2012; pp. 265–279. [Google Scholar]
- Kwiatkowska, M.; Norman, G.; Parker, D. PRISM 4.0: Verification of Probabilistic Real-time Systems. In Proceedings of the 23rd International Conference on Computer Aided Verification, Snowbird, UT, USA, 14–20 July 2011; Springer: Berlin, Heidelberg, 2011. CAV’11. pp. 585–591. [Google Scholar]
- Malacaria, P.; Khouzani, M.; Pasareanu, C.S.; Phan, Q.S.; Luckow, K. Symbolic side-channel analysis for probabilistic programs. In Proceedings of the 2018 IEEE 31st Computer Security Foundations Symposium (CSF), Oxford, UK, 9–12 July 2018; pp. 313–327. [Google Scholar]
- Kocher, P.C. Timing attacks on implementations of Diffie-Hellman, RSA, DSS, and other systems. In Proceedings of the Annual International Cryptology Conference, Santa Barbara, CA, USA, 18–22 August 1996; pp. 104–113. [Google Scholar]
- Kocher, P.; Jaffe, J.; Jun, B. Differential power analysis. In Proceedings of the Annual International Cryptology Conference, Santa Barbara, CA, USA, 15–19 August 1999; pp. 388–397. [Google Scholar]
- Osvik, D.A.; Shamir, A.; Tromer, E. Cache attacks and countermeasures: the case of AES. In Proceedings of the Cryptographers’ Track at the RSA Conference, San Jose, CA, USA, 13–17 February 2006; pp. 1–20. [Google Scholar]
- Kelsey, J. Compression and information leakage of plaintext. In Proceedings of the International Workshop on Fast Software Encryption, Leuven, Belgium, 4–6 February 2002; pp. 263–276. [Google Scholar]
- Brumley, D.; Boneh, D. Remote timing attacks are practical. Comput. Netw. 2005, 48, 701–716. [Google Scholar] [CrossRef]
- Köpf, B.; Basin, D. An information-theoretic model for adaptive side-channel attacks. In Proceedings of the 14th ACM Conference on Computer and Communications Security, Alexandria, VA, USA, 28–31 October 2007; pp. 286–296. [Google Scholar]
- Doychev, G.; Köpf, B.; Mauborgne, L.; Reineke, J. Cacheaudit: A tool for the static analysis of cache side channels. ACM Trans. Inf. Syst. Secur. 2015, 18, 4. [Google Scholar] [CrossRef]
- Volpano, D.; Smith, G. Probabilistic noninterference in a concurrent language 1. J. Comput. Secur. 1999, 7, 231–253. [Google Scholar] [CrossRef]
- Smith, G. Probabilistic noninterference through weak probabilistic bisimulation. In Proceedings of the 16th IEEE workshop on Computer Security Foundations, Pacific Grove, CA, USA, 30 June–2 July 2003; pp. 3–13. [Google Scholar]
- Noroozi, A.A.; Karimpour, J.; Isazadeh, A.; Lotfi, S. Verifying Weak Probabilistic Noninterference. Int. J. Adv. Comput. Sci. Appl. 2017, 8. [Google Scholar] [CrossRef]
- Zdancewic, S.; Myers, A.C. Observational determinism for concurrent program security. In Proceedings of the 16th IEEE Computer Security Foundations Workshop, Pacific Grove, CA, USA, 30 June–2 July 2003; pp. 29–43. [Google Scholar] [CrossRef]
- Terauchi, T. A type system for observational determinism. In Proceedings of the 21st IEEE Computer Security Foundations Symposium, Pittsburgh, PA, USA, 23–25 June 2008; pp. 287–300. [Google Scholar]
- Ngo, T.M.; Stoelinga, M.; Huisman, M. Effective verification of confidentiality for multi-threaded programs. J. Comput. Secur. 2014, 22, 269–300. [Google Scholar] [CrossRef]
- Karimpour, J.; Isazadeh, A.; Noroozi, A.A. Verifying Observational Determinism. In Proceedings of the 30th IFIP International Information Security Conference (SEC), Hamburg, Germany, 26–28 May 2015; Federrath, H., Gollmann, D., Eds.; Volume AICT-455, pp. 82–93. [Google Scholar]
- Bischof, S.; Breitner, J.; Graf, J.; Hecker, M.; Mohr, M.; Snelting, G. Low-deterministic security for low-nondeterministic programs. J. Comput. Secur. 2018, 26, 1–32. [Google Scholar]
- Barthe, G.; Crespo, J.M.; Kunz, C. Product programs and relational program logics. J. Log. Algebr. Methods Program. 2016, 85, 847–859. [Google Scholar] [CrossRef]
- Sousa, M.; Dillig, I. Cartesian hoare logic for verifying k-safety properties. ACM Sigplan Not. 2016, 5, 57–69. [Google Scholar] [CrossRef]
- Barthe, G.; Eilers, R.; Georgiou, P.; Gleiss, B.; Kovacs, L.; Maffei, M. Verifying Relational Properties using Trace Logic. arXiv 2019, arXiv:1906.09899. [Google Scholar]
- Puterman, M.L. Markov Decision Processes: Discrete Stochastic Dynamic Programming; Wiley-Interscience: New York, NY, USA, 1994. [Google Scholar]
- Baier, C.; Katoen, J. Principles of Model Checking; MIT Press: Cambridge, MA, USA, 2008. [Google Scholar]
- Cover, T.M.; Thomas, J.A. Elements of Information Theory; John Wiley & Sons: Hoboken, NJ, USA, 2012. [Google Scholar]
- Boyd, S.; Vandenberghe, L. Convex Optimization; Cambridge University Press: Cambridge, UK, 2004. [Google Scholar]
- Yeniay, Ö. Penalty function methods for constrained optimization with genetic algorithms. Math. Comput. Appl. 2005, 10, 45–56. [Google Scholar] [CrossRef]
- Haupt, R.L.; Ellen Haupt, S. Practical Genetic Algorithms; John Wiley & Sons: Hoboken, NJ, USA, 2004. [Google Scholar]
- Biondi, F.; Legay, A.; Quilbeuf, J. Comparative Analysis of Leakage Tools on Scalable Case Studies. Proceedings of 22nd International Symposium on Model Checking Software, SPIN 2015, Stellenbosch, South Africa, 24–26 August 2015; pp. 263–281. [Google Scholar]
- Chaum, D. The dining cryptographers problem: Unconditional sender and recipient untraceability. J. Cryptol. 1988, 1, 65–75. [Google Scholar] [CrossRef]
- Salehi, K.; Noroozi, A.A. A Tool for Computing Channel Capacity of Concurrent Probabilistic Programs Using Genetic Algorithm. Available online: https://github.com/Salehi-Khayyam/Channel-Capacity (accessed on 1 July 2019).
- Milton, J.S.; Arnold, J.C. Introduction to Probability and Statistics: Principles and Applications for Engineering and the Computing Sciences; McGraw-Hill Higher Education: New York, NY, USA, 2002. [Google Scholar]
© 2019 by the authors. Licensee MDPI, Basel, Switzerland. This article is an open access article distributed under the terms and conditions of the Creative Commons Attribution (CC BY) license (http://creativecommons.org/licenses/by/4.0/).

