Thermodynamics of Majority-Logic Decoding in Information Erasure
Abstract
1. Introduction
2. Majority-Logic Decoding
2.1. Two Setups of Macroscopic Bits
2.2. From Microscopic to Macroscopic Probability
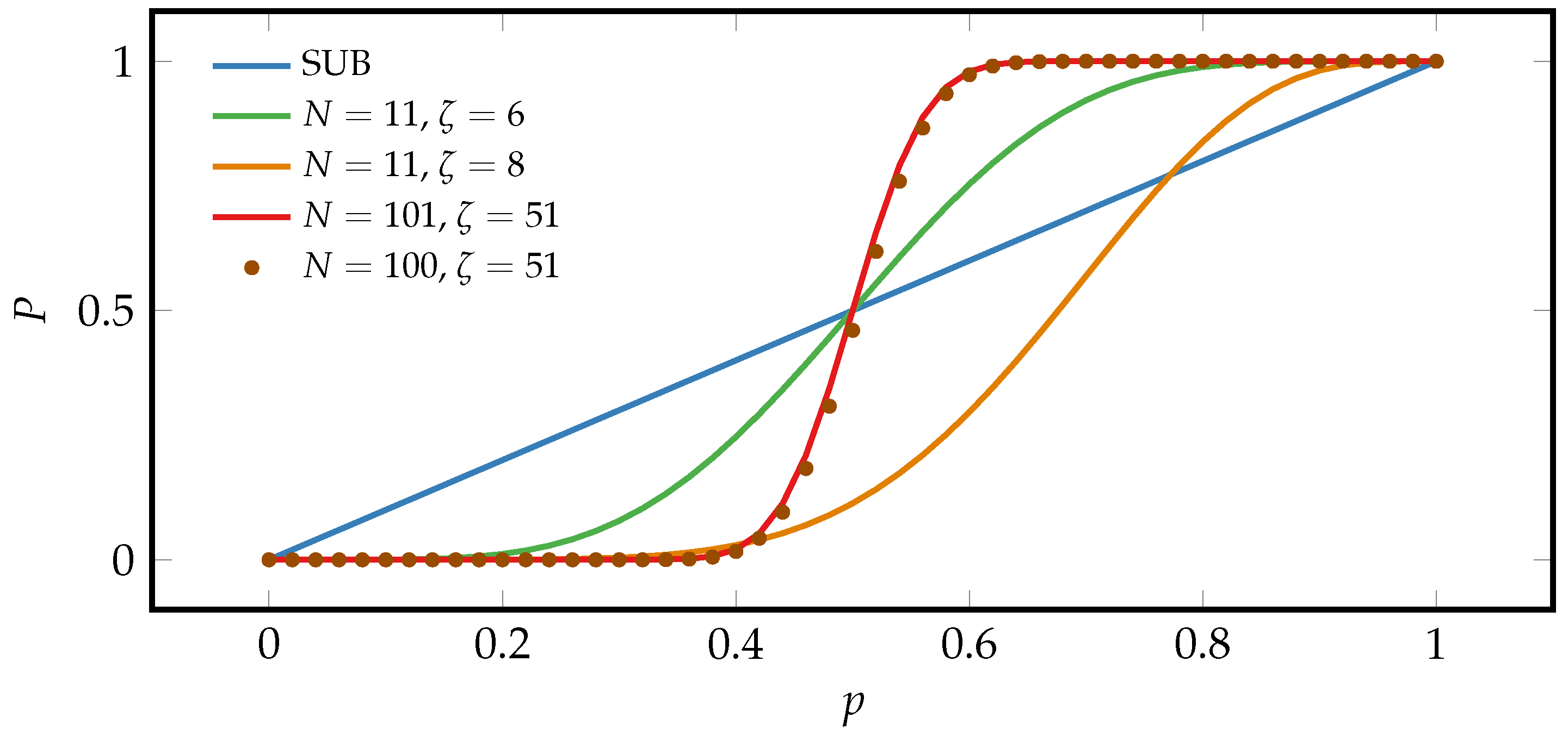
2.3. Majority-Logic Decoding as a Coarse-Graining Procedure
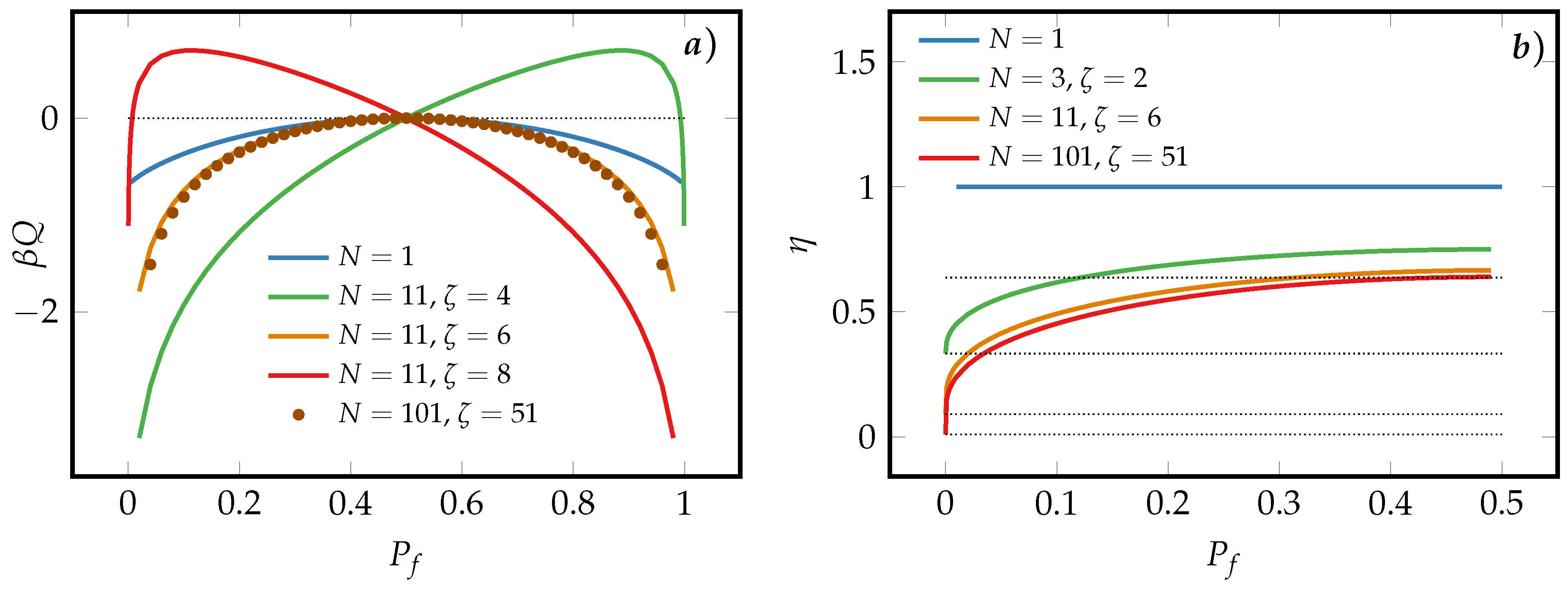
2.4. Reversible Erasure Protocols
3. Symmetric Majority-Logic Decoding under Finite-Time Erasure Protocol
3.1. Preliminaries
3.1.1. Master Equation
3.1.2. Finite-Time Erasing
3.1.3. Arrhenius-Rates Unit Model
3.1.4. Fermi-Rates Unit Model
3.2. Constant State-Energy Protocol
3.2.1. Variable Erasure Duration
3.2.2. Fixed Erasure Duration
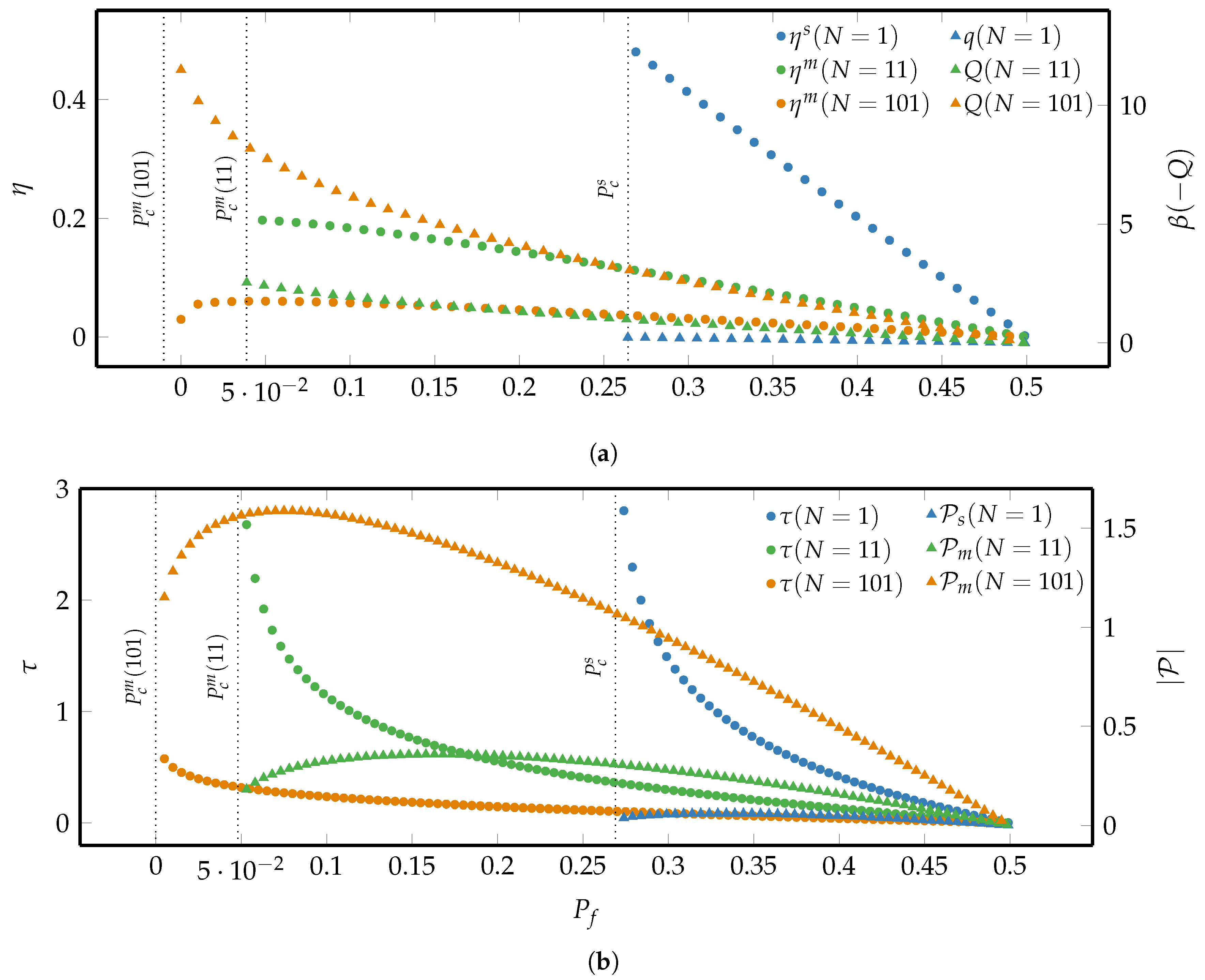
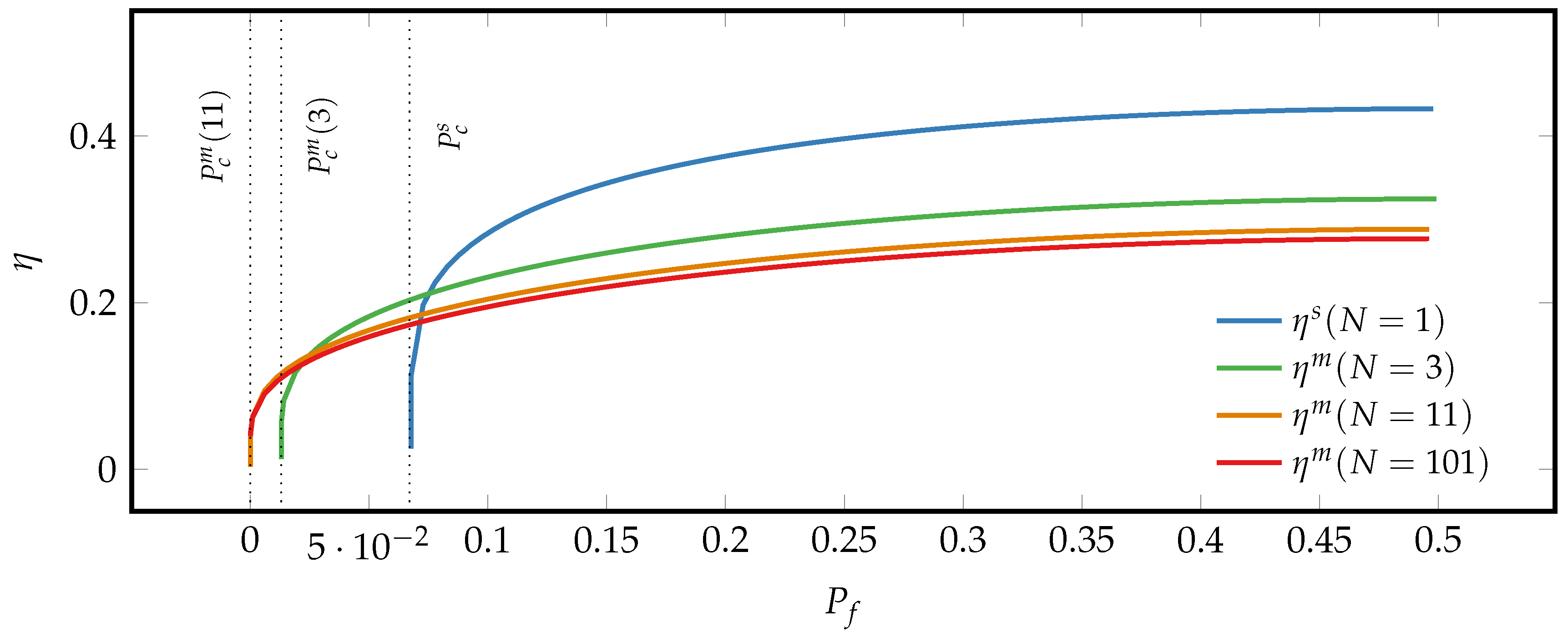
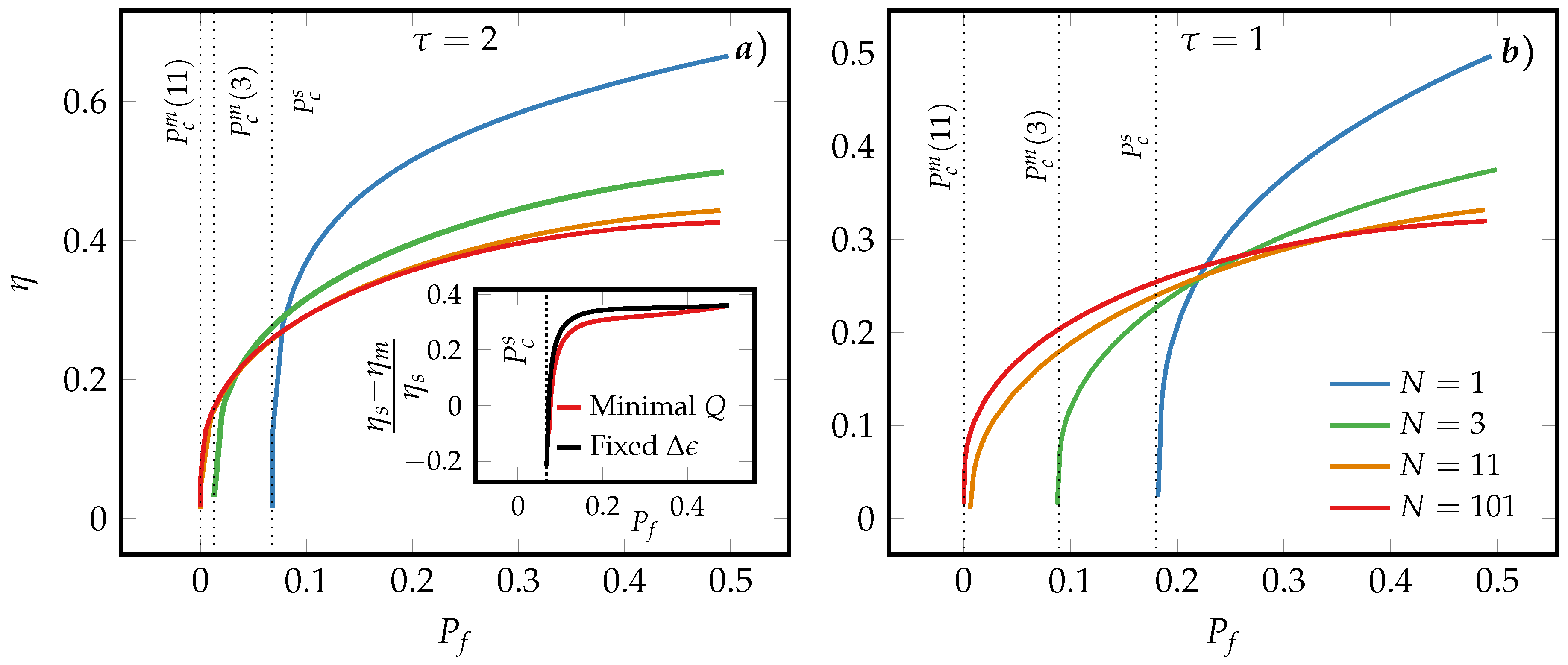
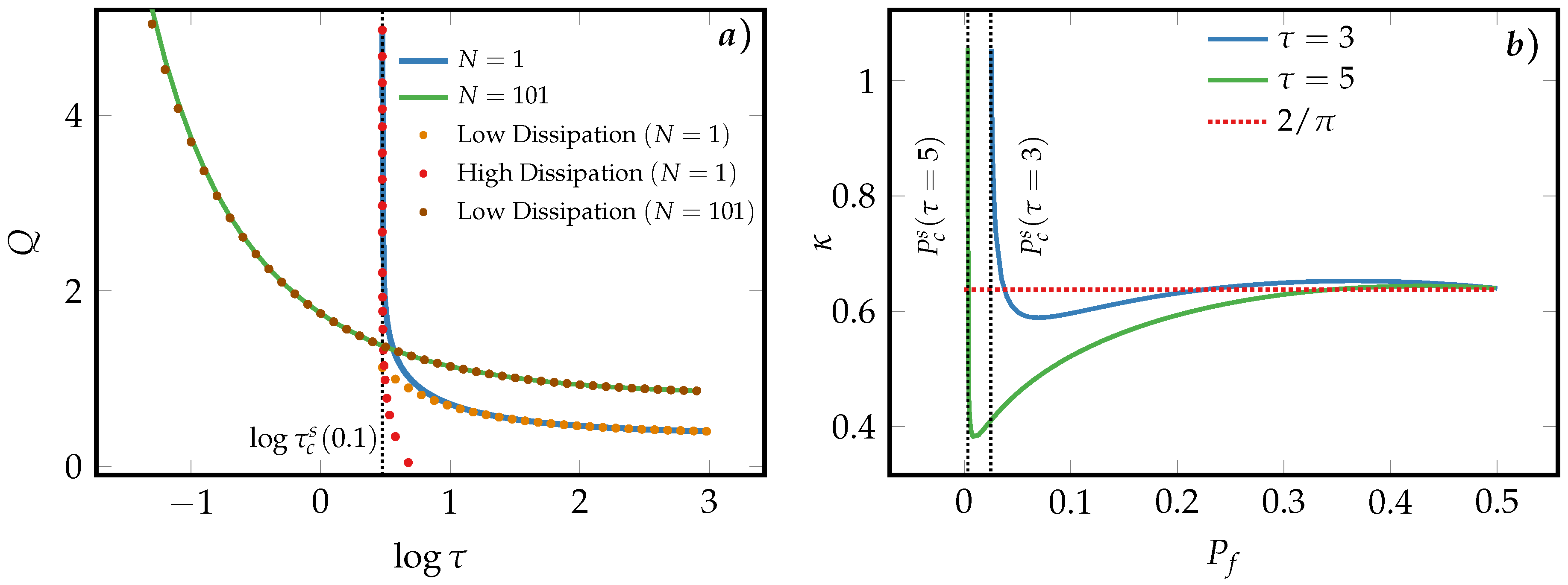
3.3. Optimal Erasure Protocol
4. Conclusions
Author Contributions
Funding
Acknowledgments
Conflicts of Interest
Abbreviations
| MLB | Majority-logic unit bit |
| SUB | Single-unit bit |
Appendix A. Equivalence of the Binomial Cumulative Distribution Function and
Appendix B. The Monotonicity of the Entropy Function
Appendix C. Detailed Derivation of Optimal Erasure Protocol of Arrhenius-Rates Unit Model
References
- Leff, H.S.; Rex, A.F. Maxwell’s Demon 2: Entropy, classical and Quantum Information, Computing; Princeton University Press: Princeton, NJ, USA, 1990. [Google Scholar]
- Szilard, L. Über die Entropieverminderung in einem thermodynamischen System bei Eingriffen intelligenter Wesen. Zeitschrift fur Physik 1929, 53, 840–856. [Google Scholar] [CrossRef]
- Shannon, C.E. A mathematical theory of communication. Bell Syst. Tech. J. 1948, 27, 379–423, 623–656. [Google Scholar] [CrossRef]
- Landauer, R. Irreversibility and Heat Generation in the Computing Process. IBM J. Res. Dev. 1961, 5, 183–191. [Google Scholar] [CrossRef]
- Bennett, C.H. Logical Reversibility of Computation. IBM J. Res. Dev. 1973, 17, 525–532. [Google Scholar] [CrossRef]
- Bennett, C.H. The Thermodynamics of Computation—A Review; Kluwer Academic Publishers-Plenum Publishers: Raleigh, NC, USA, 1982. [Google Scholar]
- Penrose, O. Foundations of Statistical Mechanics: A Deductive Treatment; Dover Publications: Mineola, NY, USA, 2005. [Google Scholar]
- Bérut, A.; Arakelyan, A.; Petrosyan, A.; Ciliberto, S.; Dillenschneider, R.; Lutz, E. Experimental verification of Landauer’s principle linking information and thermodynamics. Nature 2012, 483, 187. [Google Scholar] [CrossRef] [PubMed]
- Bérut, A.; Petrosyan, A.; Ciliberto, S. Information and thermodynamics: Experimental verification of Landauer’s Erasure principle. J. Stat. Mech. Theory Exp. 2015, 2015, P06015. [Google Scholar] [CrossRef]
- Jun, Y.; Gavrilov, M.; Bechhoefer, J. High-Precision Test of Landauer’s Principle in a Feedback Trap. Phys. Rev. Lett. 2014, 113, 190601. [Google Scholar] [CrossRef] [PubMed]
- Piechocinska, B. Information erasure. Phys. Rev. A 2000, 61, 062314. [Google Scholar] [CrossRef]
- Shizume, K. Heat generation required by information erasure. Phys. Rev. E 1995, 52, 3495–3499. [Google Scholar] [CrossRef]
- Esposito, M.; Van den Broeck, C. Second law and Landauer principle far from equilibrium. EPL (Europhys. Lett.) 2011, 95, 40004. [Google Scholar] [CrossRef]
- Owen, J.A.; Kolchinsky, A.; Wolpert, D.H. Number of hidden states needed to physically implement a given conditional distribution. arXiv, 2017; arXiv:1709.00765. [Google Scholar] [CrossRef]
- Wolpert, D.H.; Kolchinsky, A.; Owen, J.A. The minimal hidden computer needed to implement a visible computation. arXiv, 2017; arXiv:1708.08494. [Google Scholar]
- Kolchinsky, A.; Wolpert, D.H. Semantic information, autonomous agency and non-equilibrium statistical physics. Interface Focus 2018, 8. [Google Scholar] [CrossRef] [PubMed]
- Wolpert, D.H.; Kolchinsky, A. Exact, complete expressions for the thermodynamic costs of circuits. arXiv, 2018; arXiv:1806.04103. [Google Scholar]
- Sagawa, T. Energy Limits in Computation—A Review of Landauer’s Principle, Theory and Experiments. Chapter: Second Law, Entropy Production, and Reversibility in Thermodynamics of Information; Springer: Boston, MA, USA, 2019. [Google Scholar]
- Parrondo, J.; Horowitz, J.; Sagawa, T. Thermodynamics of information. Nat. Phys. 2015, 11, 131–139. [Google Scholar] [CrossRef]
- Seifert, U. Stochastic thermodynamics, fluctuation theorems and molecular machines. Rep. Prog. Phys. 2012, 75, 126001. [Google Scholar] [CrossRef] [PubMed]
- Van den Broeck, C.; Esposito, M. Ensemble and trajectory thermodynamics: A brief introduction. Phys. A Stat. Mech. Its Appl. 2015, 418, 6–16. [Google Scholar] [CrossRef]
- Esposito, M.; Kawai, R.; Lindenberg, K.; Van den Broeck, C. Finite-time thermodynamics for a single-level quantum dot. EPL (Europhys. Lett.) 2010, 89, 20003. [Google Scholar] [CrossRef]
- Diana, G.; Bagci, G.B.; Esposito, M. Finite-time erasing of information stored in fermionic bits. Phys. Rev. E 2013, 87, 012111. [Google Scholar] [CrossRef] [PubMed]
- Zulkowski, P.R.; DeWeese, M.R. Optimal finite-time erasure of a classical bit. Phys. Rev. E 2014, 89, 052140. [Google Scholar] [CrossRef] [PubMed]
- Gavrilov, M.; Chétrite, R.; Bechhoefer, J. Direct measurement of weakly nonequilibrium system entropy is consistent with Gibbs–Shannon form. Proc. Natl. Acad. Sci. USA 2017, 114, 11097–11102. [Google Scholar] [CrossRef] [PubMed]
- Aurell, E.; Gawedzki, K.; Mejía-Monasterio, C.; Mohayaee, R.; Muratore-Ginanneschi, P. Foundations of Statistical Mechanics: A Deductive Treatment. J. Stat. Phys. 2012, 147, 487–505. [Google Scholar] [CrossRef]
- Schmiedl, T.; Seifert, U. Efficiency at maximum power: An analytically solvable model for stochastic heat engines. EPL (Europhys. Lett.) 2008, 81, 20003. [Google Scholar] [CrossRef]
- Zulkowski, P.R.; DeWeese, M.R. Optimal control of overdamped systems. Phys. Rev. E 2015, 92, 032117. [Google Scholar] [CrossRef] [PubMed]
- Esposito, M.; Kawai, R.; Lindenberg, K.; Van den Broeck, C. Efficiency at Maximum Power of Low-Dissipation Carnot Engines. Phys. Rev. Lett. 2010, 105, 150603. [Google Scholar] [CrossRef] [PubMed]
- Schmiedl, T.; Seifert, U. Optimal Finite-Time Processes In Stochastic Thermodynamics. Phys. Rev. Lett. 2007, 98, 108301. [Google Scholar] [CrossRef] [PubMed]
- Sheng, S.; Tu, Z.C. Weighted reciprocal of temperature, weighted thermal flux, and their applications in finite-time thermodynamics. Phys. Rev. E 2014, 89, 012129. [Google Scholar] [CrossRef] [PubMed]
- Sheng, S.Q.; Tu, Z.C. Hidden symmetries and nonlinear constitutive relations for tight-coupling heat engines. New J. Phys. 2015, 17, 045013. [Google Scholar] [CrossRef]
- Sheng, S.; Tu, Z.C. Constitutive relation for nonlinear response and universality of efficiency at maximum power for tight-coupling heat engines. Phys. Rev. E 2015, 91, 022136. [Google Scholar] [CrossRef] [PubMed]
- Esposito, M.; Kawai, R.; Lindenberg, K.; Van den Broeck, C. Quantum-dot Carnot engine at maximum power. Phys. Rev. E 2010, 81, 041106. [Google Scholar] [CrossRef] [PubMed]
- Richter, H.J. Recent advances in the recording physics of thin-film media. J. Phys. D Appl. Phys. 1999, 32, R147. [Google Scholar] [CrossRef]
- Dholakia, A. Majority-Logic Decoding. In Introduction to Convolutional Codes with Applications; The Springer International Series in Engineering and Computer Science (Communications and Information Theory); Springer: Boston, MA, USA, 1991; Volume 275. [Google Scholar]
- Herpich, T.; Thingna, J.; Esposito, M. Collective Power: Minimal Model for Thermodynamics of Nonequilibrium Phase Transitions. Phys. Rev. X 2018, 8, 031056. [Google Scholar] [CrossRef]
- Esposito, M. Stochastic thermodynamics under coarse graining. Phys. Rev. E 2012, 85, 041125. [Google Scholar] [CrossRef] [PubMed]
- Herpich, T.; Esposito, M. Universality in driven Potts models. Phys. Rev. E 2019, 99, 022135. [Google Scholar] [CrossRef]
- Cover, T.M.; Thomas, J.A. Elements of Information Theory; Wiley-Interscience: New York, NY, USA, 1991. [Google Scholar]
- Sagawa, T. Thermodynamic and logical reversibilities revisited. J. Stat. Mech. Theory Exp. 2014, 2014, P03025. [Google Scholar] [CrossRef]
- Gavrilov, M.; Bechhoefer, J. Erasure without Work in an Asymmetric Double-Well Potential. Phys. Rev. Lett. 2016, 117, 200601. [Google Scholar] [CrossRef] [PubMed]
- Crochik, L.; Tomé, T. Entropy production in the majority-vote model. Phys. Rev. E 2005, 72, 057103. [Google Scholar] [CrossRef] [PubMed]







© 2019 by the authors. Licensee MDPI, Basel, Switzerland. This article is an open access article distributed under the terms and conditions of the Creative Commons Attribution (CC BY) license (http://creativecommons.org/licenses/by/4.0/).
Share and Cite
Sheng, S.; Herpich, T.; Diana, G.; Esposito, M. Thermodynamics of Majority-Logic Decoding in Information Erasure. Entropy 2019, 21, 284. https://doi.org/10.3390/e21030284
Sheng S, Herpich T, Diana G, Esposito M. Thermodynamics of Majority-Logic Decoding in Information Erasure. Entropy. 2019; 21(3):284. https://doi.org/10.3390/e21030284
Chicago/Turabian StyleSheng, Shiqi, Tim Herpich, Giovanni Diana, and Massimiliano Esposito. 2019. "Thermodynamics of Majority-Logic Decoding in Information Erasure" Entropy 21, no. 3: 284. https://doi.org/10.3390/e21030284
APA StyleSheng, S., Herpich, T., Diana, G., & Esposito, M. (2019). Thermodynamics of Majority-Logic Decoding in Information Erasure. Entropy, 21(3), 284. https://doi.org/10.3390/e21030284

