Composite Tests under Corrupted Data
Abstract
:1. Introduction
Statement of the Test Problem
2. An Extension of the Likelihood Ratio Test
3. Minimax Tests under Noisy Data, Least-Favorable Hypotheses
3.1. An Asymptotic Definition for the Least-Favorable Hypotheses
3.2. Identifying the Least-Favorable Hypotheses
3.3. Numerical Performances of the Minimax Test
- In the first case, is a normal density with expectation 0 and variance 1, whereas is a normal density with expectation and variance .
- The second case handles a situation where and belong to different models: is a log-normal density with location parameter 1 and scale parameter , whereas is a Weibull density on with shape parameter 5 and scale parameter . Those two densities differ strongly, in terms of asymptotic decay. They are, however, very close to one another in terms of their symmetrized Kullback-Leibler divergence (the so-called Jeffrey distance). Indeed, centering on the log-normal distribution , the closest among all Weibull densities is at distance —the density is at distance from
- The noise is a centered normal density with variance ;
- the noise is a centered Laplace density with parameter ;
- the noise is a symmetrized Weibull density with shape parameter and variable scale parameter ; and
- the noise is Cauchy with density .
3.3.1. Case A: The Shift Problem
Theoretical Power Bound
Numerical Power Bound
Comparison of the Two Power Curves
3.3.2. Case B: The Tail Thickness Problem
4. Some Alternative Statistics for Testing
4.1. A Family of Composite Tests Based on Divergence Distances
4.2. A Practical Choice for Composite Tests Based on Simulation
4.2.1. Case A: The Shift Problem
- Under Gaussian noise, the power remains mostly stable over the values of , as shown by Figure 5. The tests with statistics and are equivalently powerful for large values of , while the first one achieves higher power when is small.
- When the noise follows a Laplace distribution, the three power curves overlap the NP power curve, and the different test statistics can be indifferently used. Under such a noise, the alternative hypotheses are extremely well distinguished by the class of tests considered, and this remains true as increases (cf. Figure 6).
- Under the Weibull hypothesis, and perform similarly well, and almost always as well as , while the power curve associated to remains below. Figure 7 illustrates that, as increases, the power does not decrease much.
- Under a Cauchy assumption, the alternate hypotheses are less distinguishable than under any other parametric hypothesis on the noise, since the maximal power is about 0.84, while it exceeds 0.9 in cases a, b, and c (cf. Figure 5, Figure 6, Figure 7 and Figure 8). The capacity of the tests to discriminate between and is almost independent of the value of , and the power curves are mainly flat.
4.2.2. Case B: The Tail Thickness Problem
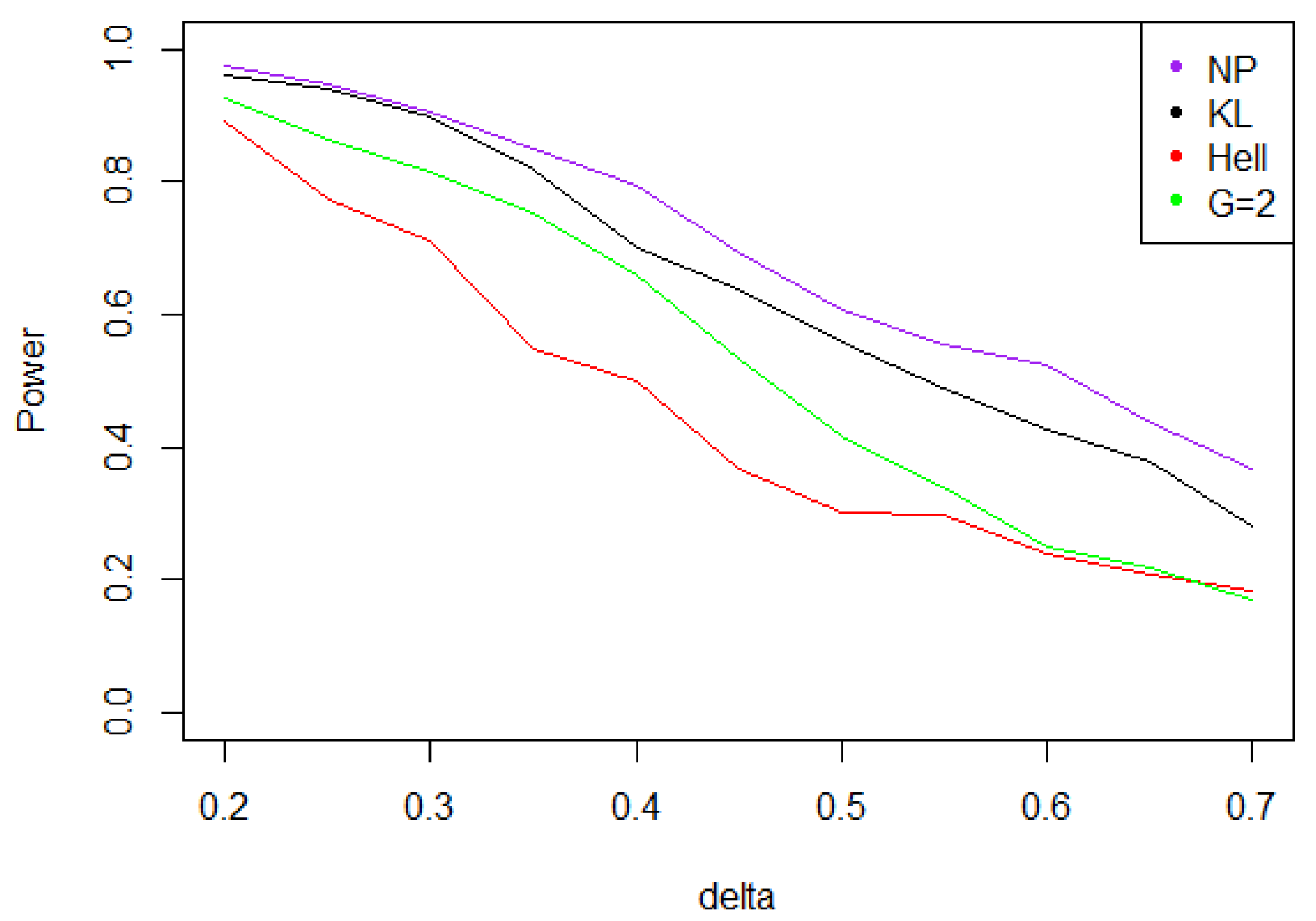
- With the noise defined by case A (Gaussian noise), for KL (), due to Proposition 4 and statistics provides the best power uniformly upon Figure 9 shows a net decrease of the power as increases (recall that the power is evaluated under the least favorable alternative ).
- When the noise follows a Laplace distribution, the situation is quite peculiar. For any value of in , the modes and of the distributions of under and under are quite separated; both larger than Also, for all the values of are quite large for large values of We may infer that the distributions of under and under are quite distinct for all , which in turn implies that the same fact holds for the distributions of for large Indeed, simulations presented in Figure 10 show that the maximal power of the test tends to be achieved when
- When the noise follows a symmetric Weibull distribution, the power function when is very close to the power of the LRT between and (cf. Figure 11). Indeed, uniformly on , and on x, the ratio is close to 1. Therefore, the distribution of is close to that of , which plays in favor of the KL composite test.
- Under a Cauchy distribution, similarly to case A, Figure 12 shows that achieves the maximal power for and 2, closely followed by .
5. Conclusions
Author Contributions
Funding
Acknowledgments
Conflicts of Interest
Appendix A. Proof of Proposition 2
Appendix A.1. The Critical Region of the Test
Appendix A.2. The Power Function
Appendix A.3. A Synthetic Result
Appendix B. Proof of Theorem 3
Appendix C. Proof of Proposition 4
References
- Broniatowski, M.; Jurečková, J.; Kalina, J. Likelihood ratio testing under measurement errors. Entropy 2018, 20, 966. [Google Scholar] [CrossRef]
- Guo, D. Relative entropy and score function: New information-estimation relationships through arbitrary additive perturbation. In Proceedings of the IEEE International Symposium on Information Theory (ISIT 2009), Seoul, Korea, 28 June–3 July 2009; pp. 814–818. [Google Scholar]
- Huber, P.; Strassen, V. Minimax tests and the Neyman-Pearson lemma for capacities. Ann. Stat. 1973, 2, 251–273. [Google Scholar] [CrossRef]
- Eguchi, S.; Copas, J. Interpreting Kullback-Leibler divergence with the Neyman-Pearson lemma. J. Multivar. Anal. 2006, 97, 2034–2040. [Google Scholar] [CrossRef]
- Narayanan, K.R.; Srinivasa, A.R. On the thermodynamic temperature of a general distribution. arXiv, 2007; arXiv:0711.1460. [Google Scholar]
- Bahadur, R.R. Stochastic comparison of tests. Ann. Math. Stat. 1960, 31, 276–295. [Google Scholar] [CrossRef]
- Bahadur, R.R. Some Limit Theorems in Statistics; Society for Industrial and Applied Mathematics: Philadelpha, PA, USA, 1971. [Google Scholar]
- Birgé, L. Vitesses maximales de décroissance des erreurs et tests optimaux associés. Z. Wahrsch. Verw. Gebiete 1981, 55, 261–273. [Google Scholar] [CrossRef]
- Tusnády, G. On asymptotically optimal tests. Ann. Stat. 1987, 5, 385–393. [Google Scholar] [CrossRef]
- Liese, F.; Vajda, I. Convex Statistical Distances; Teubner: Leipzig, Germany, 1987. [Google Scholar]
- Tsallis, C. Possible generalization of BG statistics. J. Stat. Phys. 1987, 52, 479–485. [Google Scholar] [CrossRef]
- Goldie, C. A class of infinitely divisible random variables. Proc. Camb. Philos. Soc. 1967, 63, 1141–1143. [Google Scholar] [CrossRef]
- Basu, A.; Shioya, H.; Park, C. Statistical Inference: The Minimum Distance Approach; CRC Press: Boca Raton, FL, USA, 2011. [Google Scholar]
- Barndorff-Nielsen, O. Information and Exponential Families in Statistical Theory; John Wiley & Sons: New York, NY, USA, 1978. [Google Scholar]
- Krafft, O.; Plachky, D. Bounds for the power of likelihood ratio tests and their asymptotic properties. Ann. Math. Stat. 1970, 41, 1646–1654. [Google Scholar] [CrossRef]
- Chernoff, H. Large-sample theory: Parametric case. Ann. Math. Stat. 1956, 27, 1–22. [Google Scholar] [CrossRef]












© 2019 by the authors. Licensee MDPI, Basel, Switzerland. This article is an open access article distributed under the terms and conditions of the Creative Commons Attribution (CC BY) license (http://creativecommons.org/licenses/by/4.0/).
Share and Cite
Broniatowski, M.; Jurečková, J.; Moses, A.K.; Miranda, E. Composite Tests under Corrupted Data. Entropy 2019, 21, 63. https://doi.org/10.3390/e21010063
Broniatowski M, Jurečková J, Moses AK, Miranda E. Composite Tests under Corrupted Data. Entropy. 2019; 21(1):63. https://doi.org/10.3390/e21010063
Chicago/Turabian StyleBroniatowski, Michel, Jana Jurečková, Ashok Kumar Moses, and Emilie Miranda. 2019. "Composite Tests under Corrupted Data" Entropy 21, no. 1: 63. https://doi.org/10.3390/e21010063
APA StyleBroniatowski, M., Jurečková, J., Moses, A. K., & Miranda, E. (2019). Composite Tests under Corrupted Data. Entropy, 21(1), 63. https://doi.org/10.3390/e21010063
 
        


