Stability Analysis on Magnetohydrodynamic Flow of Casson Fluid over a Shrinking Sheet with Homogeneous-Heterogeneous Reactions
Abstract
:1. Introduction
2. Materials and Methods
2.1. Mathematical Formulation
2.2. Stability Analysis
2.3. Numerical Method
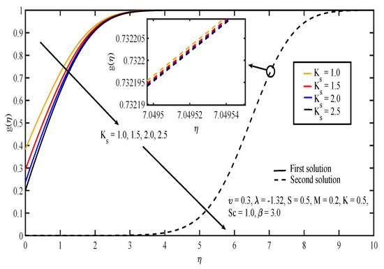
3. Results and Discussion
4. Conclusions
- The skin friction coefficient increased as suction increased, which indicates that the wall shear stress increased with increasing suction.
- The skin friction coefficient decreased as the magnitude of the shrinking parameter increased.
- The fluid velocity and concentration decreased as the value of the shrinking parameter increased.
- The fluid velocity and concentration increased in the presence of the magnetic parameter.
- The fluid velocity and concentration increased as the value of the Casson parameter, slip parameter and suction increased.
- The stronger the strength of homogeneous-heterogeneous reactions, the lower the concentration.
- The bigger the value of the Schmidt number, the higher the concentration.
Author Contributions
Funding
Acknowledgments
Conflicts of Interest
Abbreviations
| Chemical species | ||
| Concentrations of chemical species A and B, respectively | ||
| Uniform concentration of A | ||
| Dimensionless skin friction coefficient | ||
| Constant | ||
| Strength of the magnetic field | ||
| Diffusion coefficient for species A and B, respectively | ||
| Local skin friction coefficient | ||
| Fluid velocity | ||
| Concentration gradient | ||
| Concentration | ||
| Rate constants | ||
| K | Strength of homogeneous reaction | |
| Strength of heterogeneous reaction | ||
| L | Velocity slip length parameter | m |
| M | Magnetic parameter | |
| MHD | Magnetohydrodynamics | |
| Yield stress | kg/(m·s) | |
| Reynolds number | ||
| S | Suction parameter | |
| Schmidt number | ||
| t | Time | s |
| Velocity of external flows | m/s | |
| Velocity of the sheet along the x-direction | m/s | |
| Velocity components in the x- and y-directions, respectively | m/s | |
| Constant mass transfer velocity | m/s | |
| Similarity variable | ||
| Ratio of diffusion coefficients | ||
| Plastic dynamic viscosity of Casson fluid | kg/(m·s) | |
| Shrinking parameter | ||
| Casson parameter | ||
| Velocity slip parameter | ||
| Critical point | ||
| Smallest eigenvalue | ||
| Kinematic viscosity | ||
| Electrical conductivity | sA/(kg ·m) | |
| Dimensionless time variable | ||
| Density | ||
| Critical value for the product of the component of the deformation rate with itself | 1/s |
Appendix A. Derivation of the Problem
Appendix A.1. Derivation of the Ordinary Differential Equations
Appendix A.2. Derivation of Boundary Conditions
Appendix B. Derivation for Stability Analysis
References
- Mukhopadhyay, S. Casson Fluid Flow and Heat Transfer over a Nonlinearly Stretching Surface. Chin. Phys. B 2013, 22, 074701. [Google Scholar] [CrossRef]
- Pramanik, S. Casson Fluid Flow and Heat Transfer Past an Exponentially Porous Stretching Surface in Presence of Thermal Radiation. Ain Shams Eng. J. 2014, 5, 205–212. [Google Scholar] [CrossRef]
- Khan, K.A.; Butt, A.R.; Raza, N. Effects of Heat and Mass Transfer on Unsteady Boundary Layer Flow of a Chemical Reacting Casson Fluid. Results Phys. 2018, 8, 610–620. [Google Scholar] [CrossRef]
- Mahmoodi, M.; Esfe, M.H.; Akbari, M.; Karimipour, A.; Afrand, M. Magneto-Natural Convection in Square Cavities with a Source-Sink Pair on Different Walls. Int. J. Appl. Electrom. 2015, 47, 21–32. [Google Scholar]
- Rashidi, M.M.; Abelman, S.; Freidooni Mehr, N. Entropy Generation in Steady MHD Flow due to a Rotating Porous Disk in a Nanofluid. Int. J. Heat Mass Transf. 2013, 62, 515–525. [Google Scholar]
- Karimipour, A.; Esfe, M.H.; Safaei, M.R.; Semiromi, D.T.; Jafari, S.; Kazi, S.N. Mixed Convection of Copper–Water Nanofluid in a Shallow Inclined Lid Driven Cavity using the Lattice Boltzmann Method. Phys. A Stat. Mech. Appl. 2014, 402, 150–168. [Google Scholar] [CrossRef]
- Esfe, M.H.; Arani, A.A.A.; Karimiopour, A.; Esforjani, S.S.M. Numerical Simulation of Natural Convection around an Obstacle Placed in an Enclosure Filled with Different Types of Nanofluids. Heat Transf. Res. 2014, 45, 279–292. [Google Scholar]
- Karimipour, A.; Nezhad, A.H.; D’Orazio, A.; Esfe, M.H.; Safaei, M.R.; Shirani, E. Simulation of Copper–Water Nanofluid in a Microchannel in Slip Flow Regime using the Lattice Boltzmann Method. Eur. J. Mech. B/Fluids 2015, 49, 89–99. [Google Scholar] [CrossRef]
- Bahrami, M.; Akbari, M.; Karimipour, A.; Afrand, M. An Experimental Study on Rheological Behavior of Hybrid Nanofluids Made of Iron and Copper Oxide in a Binary Mixture of Water and Ethylene Glycol: Non-Newtonian Behavior. Exp. Therm. Fluid Sci. 2016, 79, 231–237. [Google Scholar] [CrossRef]
- Zadkhast, M.; Toghraie, D.; Karimipour, A. Developing a New Correlation to Estimate the Thermal Conductivity of MWCNT-CuO/Water Hybrid Nanofluid via an Experimental Investigation. J. Therm. Anal. Calorim. 2017, 129, 859–867. [Google Scholar] [CrossRef]
- Rashidi, M.M.; Kavyani, N.; Abelman, S. Investigation of Entropy Generation in MHD and Slip Flow over a Rotating Porous Disk with Variable Properties. Int. J. Heat Mass Transf. 2014, 70, 892–917. [Google Scholar] [CrossRef]
- Nadeem, S.; Haq, R.U.; Lee, C. MHD Flow of a Casson Fluid over an Exponentially Shrinking Sheet. Sci. Iran. 2012, 19, 1550–1553. [Google Scholar] [CrossRef]
- Raju, C.S.K.; Sandeep, N.; Sugunamma, V.; Babu, M.J.; Reddy, J.V.R. Heat and Mass Transfer in Magnetohydrodynamic Casson Fluid over an Exponentially Permeable Stretching Surface. Eng. Sci. Technol. Int. J. 2016, 19, 45–52. [Google Scholar] [CrossRef]
- Reddy, P.B.A. Magnetohydrodynamic Flow of a Casson Fluid over an Exponentially Inclined Permeable Stretching Surface with Thermal Radiation and Chemical Reaction. Ain Shams Eng. J. 2016, 7, 593–602. [Google Scholar] [CrossRef]
- Medikare, M.; Joga, S.; Chidem, K.K. MHD Stagnation Point Flow of a Casson Fluid over a Nonlinearly Stretching Sheet with Viscous Dissipation. Am. J. Comput. Math. 2016, 6, 37–48. [Google Scholar] [CrossRef]
- Qing, J.; Bhatti, M.M.; Abbas, M.A.; Rashidi, M.M.; Ali, M.E.S. Entropy Generation on MHD Casson Nanofluid Flow over a Porous Stretching/Shrinking Surface. Entropy 2016, 18, 123. [Google Scholar] [CrossRef]
- Merkin, J.H. A model for isothermal homogeneous-heterogeneous reactions in boundary-layer flow. Math. Comput. Model. 1996, 24, 125–136. [Google Scholar] [CrossRef]
- Rana, S.; Mehmood, R.; Akbar, N.S. Mixed Convective Oblique Flow of a Casson Fluid with Partial Slip, Internal Heating and Homogeneous–Heterogeneous Reactions. J. Mol. Liq. 2016, 222, 1010–1019. [Google Scholar] [CrossRef]
- Raju, C.S.K.; Sandeep, N.; Saleem, S. Effects of Induced Magnetic Field and Homogeneous–Heterogeneous Reactions on Stagnation Flow of a Casson Fluid. Eng. Sci. Technol. Int. J. 2016, 19, 875–887. [Google Scholar] [CrossRef]
- Sheikh, M.; Abbas, Z. Homogeneous–Heterogeneous Reactions in Stagnation Point Flow of Casson Fluid due to a Stretching/Shrinking Sheet with Uniform Suction and Slip Effects. Ain Shams Eng. J. 2017, 8, 467–474. [Google Scholar] [CrossRef]
- Khan, M.I.; Waqas, M.; Hayat, T.; Alsaedi, A. A Comparative Study of Casson Fluid with Homogeneous-Heterogeneous Reactions. J. Colloid Interface Sci. 2017, 498, 85–90. [Google Scholar] [CrossRef]
- Khan, M.I.; Hayat, T.; Khan, M.I.; Alsaedi, A. A Modified Homogeneous-Heterogeneous Reactions for MHD Stagnation Flow with Viscous Dissipation and Joule Heating. Int. J. Heat Mass Transf. 2017, 113, 310–317. [Google Scholar]
- Merkin, J.H. On Dual Solutions Occurring in Mixed Convection in a Porous Medium. J. Eng. Math. 1986, 20, 171–179. [Google Scholar] [CrossRef]
- Weidman, P.D.; Kubitschek, D.G.; Davis, A.M.J. The Effect of Transpiration on Self-Similar Boundary Layer Flow over Moving Surfaces. Int. J. Eng. Sci. 2006, 44, 730–737. [Google Scholar]
- Mahapatra, T.R.; Nandy, S.K. Stability Analysis of Dual Solutions in Stagnation-Point Flow and Heat Transfer over a Power-Law Shrinking Surface. Int. J. Nonlinear Sci. 2011, 12, 86–94. [Google Scholar]
- Roşca, A.V.; Pop, I. Flow and Heat Transfer over a Vertical Permeable Stretching/Shrinking Sheet with a Second Order Slip. Int. J. Heat Mass Transf. 2013, 60, 355–364. [Google Scholar] [CrossRef]
- Awaludin, I.S.; Weidman, P.D.; Ishak, A. Stability Analysis of Stagnation-Point Flow over a Stretching/Shrinking Sheet. AIP Adv. 2016, 6, 045308. [Google Scholar] [CrossRef]
- Chaudhary, M.A.; Merkin, J.H. A Simple Isothermal Model for Homogeneous-Heterogeneous Reactions in Boundary-Layer Flow. I Equal Diffusivities. Fluid Dyn. Res. 1995, 16, 311–333. [Google Scholar] [CrossRef]
- Harris, S.D.; Ingham, D.B.; Pop, I. Mixed Convection Boundary-Layer Flow Near the Stagnation Point on a Vertical Surface in a Porous Medium: Brinkman Model with Slip. Transp. Porous Media 2009, 77, 267–285. [Google Scholar] [CrossRef]
- Bilal, M.; Hussain, S.; Sagheer, M. Boundary Layer Flow of Magneto-Micropolar Nanofluid Flow with Hall and Ion-Slip Effects using Variable Thermal Diffusivity. Bull. Pol. Acad. Sci. Tech. Sci. 2017, 65, 383–390. [Google Scholar] [CrossRef]
- Kameswaran, P.K.; Shaw, S.; Sibanda, P. Dual Solutions of Casson Fluid Flow over a Stretching or Shrinking Sheet. Sadhana 2014, 39, 1573–1583. [Google Scholar] [CrossRef]
- Bhattacharyya, K. Dual Solutions in Boundary Layer Stagnation-Point Flow and Mass Transfer with Chemical Reaction past a Stretching/Shrinking Sheet. Int. Commun. Heat Mass 2011, 38, 917–922. [Google Scholar] [CrossRef]
- Miklavčič, M.; Wang, C. Viscous Flow due to a Shrinking Sheet. Q. Appl. Math. 2006, 64, 283–290. [Google Scholar] [CrossRef]
















| Present Study | Kameswaran et al. [31] | Bhattacharyya [32] | ||||
|---|---|---|---|---|---|---|
| First Solution | Second Solution | First Solution | Second Solution | First Solution | Second Solution | |
| −1.00 | 1.3288168 | 0 | 1.3288169 | 0 | 1.3288169 | 0 |
| −1.15 | 1.0822311 | 0.1167021 | 1.0822312 | 0.1167021 | 1.0822316 | 0.1167023 |
| −1.20 | 0.9324733 | 0.2336497 | 0.9324734 | 0.2336497 | 0.9324728 | 0.2336491 |
| −1.2465 | 0.5842814 | 0.5542963 | 0.5842817 | 0.5542962 | 0.5842915 | 0.5542856 |
| S | |||
|---|---|---|---|
| First Solution | Second Solution | ||
| 0.0 | −1.54 | 1.098778769 | 0.680183640 |
| −1.55 | 1.066176015 | 0.725484949 | |
| −1.56 | 1.020480243 | 0.783972152 | |
| 0.1 | −1.60 | 1.201480040 | 0.720639471 |
| −1.62 | 1.140272080 | 0.808669739 | |
| −1.63 | 1.090694586 | 0.871784903 | |
| 0.3 | −1.74 | 1.401462735 | 0.841612630 |
| −1.76 | 1.352236872 | 0.920337136 | |
| −1.78 | 1.269663918 | 1.032688556 | |
| 0.5 | −1.92 | 1.576816297 | 1.060694430 |
| −1.94 | 1.515092506 | 1.154690179 | |
| −1.95 | 1.465920061 | 1.220084931 | |
| S | |||
|---|---|---|---|
| First Solution | Second Solution | ||
| 0 | −1.567 | 0.11120 | −0.10946 |
| −1.569 | 0.03000 | −0.02988 | |
| −1.5691 | 0.01824 | −0.01819 | |
| 0.1 | −1.635 | 0.12316 | −0.12112 |
| −1.637 | 0.05977 | −0.05929 | |
| −1.6376 | 0.01136 | −0.01134 | |
| 0.3 | −1.785 | 0.14267 | −0.14016 |
| −1.788 | 0.05146 | −0.05113 | |
| −1.7884 | 0.01772 | −0.01768 | |
| 0.5 | −1.955 | 0.14708 | −0.14462 |
| −1.958 | 0.06012 | −0.05971 | |
| −1.9586 | 0.00710 | −0.00710 | |
© 2018 by the authors. Licensee MDPI, Basel, Switzerland. This article is an open access article distributed under the terms and conditions of the Creative Commons Attribution (CC BY) license (http://creativecommons.org/licenses/by/4.0/).
Share and Cite
Yahaya, R.I.; Md Arifin, N.; Mohamed Isa, S.S.P. Stability Analysis on Magnetohydrodynamic Flow of Casson Fluid over a Shrinking Sheet with Homogeneous-Heterogeneous Reactions. Entropy 2018, 20, 652. https://doi.org/10.3390/e20090652
Yahaya RI, Md Arifin N, Mohamed Isa SSP. Stability Analysis on Magnetohydrodynamic Flow of Casson Fluid over a Shrinking Sheet with Homogeneous-Heterogeneous Reactions. Entropy. 2018; 20(9):652. https://doi.org/10.3390/e20090652
Chicago/Turabian StyleYahaya, Rusya Iryanti, Norihan Md Arifin, and Siti Suzilliana Putri Mohamed Isa. 2018. "Stability Analysis on Magnetohydrodynamic Flow of Casson Fluid over a Shrinking Sheet with Homogeneous-Heterogeneous Reactions" Entropy 20, no. 9: 652. https://doi.org/10.3390/e20090652
APA StyleYahaya, R. I., Md Arifin, N., & Mohamed Isa, S. S. P. (2018). Stability Analysis on Magnetohydrodynamic Flow of Casson Fluid over a Shrinking Sheet with Homogeneous-Heterogeneous Reactions. Entropy, 20(9), 652. https://doi.org/10.3390/e20090652

