Laboratory Observations of Linkage of Preslip Zones Prior to Stick-Slip Instability
Abstract
1. Introduction
2. Materials and Methods
2.1. Experimental Design
2.2. Parameter Setting of DIC Method
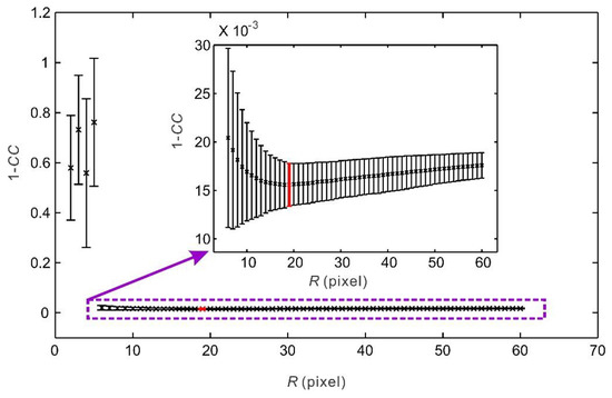
2.2.1. Influence of the Subregion Size on the Correlation Coefficient
2.2.2. Influence of the Subregion Size on the Fault Displacement Measurement
2.3. Definitions of Normalized Statistic Parameters
2.3.1. Normalized Length of Preslip Zones
2.3.2. Normalized Number of Isolated Preslip Zones
2.3.3. Normalized Information Entropy of Fault Displacement Direction
3. Results
3.1. Identify Linkage of Preslip Zones by the Peak NN
3.2. Fluctuation of the Normalized Statistical Parameters
3.3. Migration of Localized Strain Bands Controls the Migration of Preslip Zones
4. Discussion
5. Conclusions
Author Contributions
Funding
Acknowledgments
Conflicts of Interest
References
- Brace, W.F.; Byerlee, J.D. Stick-slip as a mechanism for earthquakes. Science 1966, 153, 990–992. [Google Scholar] [CrossRef] [PubMed]
- Scholz, C.; Molnar, P.; Johnson, T. Detailed studies of frictional sliding of granite and implications for the earthquake mechanism. J. Geophys. Res. 1972, 77, 6392–6406. [Google Scholar] [CrossRef]
- Dieterich, J.H. Preseismic fault slip and earthquake prediction. J. Geophys. Res. Solid Earth 1978, 83, 3940. [Google Scholar] [CrossRef]
- Ohnaka, M.; Kuwahara, Y. Characteristic features of local breakdown near a crack-tip in the transition zone from nucleation to unstable rupture during stick-slip shear failure. Tectonophysics 1990, 175, 197–220. [Google Scholar] [CrossRef]
- Ohnaka, M.; Shen, L. Scaling of the shear rupture process from nucleation to dynamic propagation: Implications of geometric irregularity of the rupturing surfaces. J. Geophys. Res. Solid Earth 1999, 104, 817–844. [Google Scholar] [CrossRef]
- Nielsen, S.; Taddeucci, J.; Vinciguerra, S. Experimental observation of stick-slip instability fronts. Geophys. J. Int. 2010, 180, 697–702. [Google Scholar] [CrossRef]
- Latour, S.; Schubnel, A.; Nielsen, S.; Madariaga, R.; Vinciguerra, S. Characterization of nucleation during laboratory earthquakes. Geophys. Res. Lett. 2013, 40, 5064–5069. [Google Scholar] [CrossRef]
- McLaskey, G.C.; Kilgore, B.D. Foreshocks during the nucleation of stick-slip instability. J. Geophys. Res. Solid Earth 2013, 118, 2982–2997. [Google Scholar] [CrossRef]
- Zhuo, Y.; Guo, Y.; Ji, Y.; Ma, J. Slip synergism of planar strike-slip fault during meta-instable state: Experimental research based on digital image correlation analysis. Sci. China Earth Sci. 2013, 56, 1881–1887. [Google Scholar] [CrossRef]
- Das, S.; Scholz, C.H. Theory of time-dependent rupture in the Earth. J. Geophys. Res. Solid Earth 1981, 86, 6039–6051. [Google Scholar] [CrossRef]
- Dieterich, J.H. Earthquake nucleation on faults with rate-and state-dependent strength. Tectonophysics 1992, 211, 115–134. [Google Scholar] [CrossRef]
- Kato, A.; Obara, K.; Igarashi, T.; Tsuruoka, H.; Nakagawa, S.; Hirata, N. Propagation of slow slip leading up to the 2011 Mw 9.0 Tohoku-Oki earthquake. Science 2012, 335, 705–708. [Google Scholar] [CrossRef] [PubMed]
- Ellsworth, W.L.; Beroza, G.C. Seismic evidence for an aarthquake nucleation phase. Science 1995, 268, 851–855. [Google Scholar] [CrossRef] [PubMed]
- Beroza, G.C.; Ellsworth, W.L. Properties of the seismic nucleation phase. Tectonophysics 1996, 261, 209–227. [Google Scholar] [CrossRef]
- Ellsworth, W.L.; Beroza, G.C. Observation of the seismic nucleation phase in the Ridgecrest, California, Earthquake sequence. Geophys. Res. Lett. 1998, 25, 401–404. [Google Scholar] [CrossRef]
- Ma, J.; Sherman, S.I.; Guo, Y. Identification of meta-instable stress state based on experimental study of evolution of the temperature field during stick-slip instability on a 5° bending fault. Sci. China Earth Sci. 2012, 55, 869–881. [Google Scholar]
- Ren, Y.Q.; Liu, P.X.; Ma, J.; Chen, S.Y. An Experimental Study on Evolution of the Thermal Field of En Echelon Faults during the Meta-Instability Stage. Chin. J. Geophys. 2013, 56, 612–622. [Google Scholar]
- Zhuo, Y.Q.; Ma, J.; Guo, Y.S.; Ji, Y.T. Identification of the meta-instability stage via synergy of fault displacement: An experimental study based on the digital image correlation method. Phys. Chem. Earth Parts A/B/C 2015, 85–86, 216–224. [Google Scholar] [CrossRef]
- Ren, Y.; Ma, J.; Liu, P.; Chen, S. Experimental Study of Thermal Field Evolution in the Short-Impending Stage Before Earthquakes. Pure Appl. Geophys. 2017, 175, 2527–2539. [Google Scholar] [CrossRef]
- Ma, J.; Guo, Y.; Sherman, S.I. Accelerated synergism along a fault: A possible indicator for an impending major earthquake. Geodyn. Tectonophys. 2014, 5, 387–399. [Google Scholar] [CrossRef]
- Diao, G.; Xu, X.; Chen, Y.; Huang, B.; Wang, X.; Feng, X.; Yang, Y. The precursory significance of tectonic stress field transformation before the Wenchuan Mw7.9 Earthquake and the Chi-Chi Mw7.6 Earthquake. Chin. J. Geophys. 2011, 54, 25–34. [Google Scholar] [CrossRef]
- Scholz, C.H. The critical slip distance for seismic faulting. Nature 1988, 336, 761–763. [Google Scholar] [CrossRef]
- Ohnaka, M. Earthquake source nucleation: A physical model for short-term precursors. Tectonophysics 1992, 211, 149–178. [Google Scholar] [CrossRef]
- Uenishi, K.; Rice, J.R. Universal nucleation length for slip-weakening rupture instability under nonuniform fault loading. J. Geophys. Res. Solid Earth 2003, 108, 2042. [Google Scholar] [CrossRef]
- Campillo, M.; Ionescu, I.R. Initiation of antiplane shear instability under slip dependent friction. J. Geophys. Res. Solid Earth 1997, 102, 20363. [Google Scholar] [CrossRef]
- Kaneko, Y.; Ampuero, J.P. A mechanism for preseismic steady rupture fronts observed in laboratory experiments. Geophys. Res. Lett. 2011, 38, L21307. [Google Scholar] [CrossRef]
- Kato, A.; Nakagawa, S. Multiple slow-slip events during a foreshock sequence of the 2014 Iquique, Chile Mw 8.1 earthquake. Geophys. Res. Lett. 2014, 41, 5420–5427. [Google Scholar] [CrossRef]
- Yagi, Y.; Okuwaki, R.; Enescu, B.; Hirano, S.; Yamagami, Y.; Endo, S.; Komoro, T. Rupture process of the 2014 Iquique Chile Earthquake in relation with the foreshock activity. Geophys. Res. Lett. 2014, 41, 4201–4206. [Google Scholar] [CrossRef]
- Yamaguchi, I. A laser-speckle strain gauge. J. Phys. E Sci. Instrum. 1981, 14, 1270–1273. [Google Scholar] [CrossRef]
- Sutton, M.A.; Wolters, W.J.; Peters, W.H.; Ranson, W.F.; McNeill, S.R. Determination of displacements using an improved digital correlation method. Image Vis. Comput. 1983, 1, 133–139. [Google Scholar] [CrossRef]
- Peters, W.H.; Ranson, W.F. Digital imaging techniques in experimental stress analysis. Opt. Eng. 1982, 21, 213427. [Google Scholar] [CrossRef]
- Pan, B.; Qian, K.; Xie, H.; Asundi, A. Two-dimensional digital image correlation for in-plane displacement and strain measurement: a review. Meas. Sci. Technol. 2009, 20, 062001. [Google Scholar] [CrossRef]
- Ma, S.; Pang, J.; Ma, Q. The systematic error in digital image correlation induced by self-heating of a digital camera. Meas. Sci. Technol. 2012, 23, 025403. [Google Scholar] [CrossRef]
- Ji, Y.; Hall, S.A.; Baud, P.; Wong, T.F. Characterization of pore structure and strain localization in Majella limestone by X-ray computed tomography and digital image correlation. Geophys. J. Int. 2015, 200, 699–717. [Google Scholar] [CrossRef]
- Shannon, C.E. A Mathematical Theory of Communication. Bell Syst. Tech. J. 1948, 27, 379–423. [Google Scholar] [CrossRef]
- Zhuo, Y.Q.; Liu, P.; Chen, S.; Guo, Y.; Ma, J. Laboratory observations of tremor-like events generated during preslip. Geophys. Res. Lett. 2018. [Google Scholar] [CrossRef]
- Selvadurai, P.; Glaser, S. Novel Monitoring Techniques for Characterizing Frictional Interfaces in the Laboratory. Sensors 2015, 15, 9791–9814. [Google Scholar] [CrossRef] [PubMed]
- Dieterich, J.H.; Kilgore, B.D. Direct observation of frictional contacts: New insights for state-dependent properties. Pure Appl. Geophys. PAGEOPH 1994, 143, 283–302. [Google Scholar] [CrossRef]
- Ji, Y.; Zhuo, Y.Q.; Liu, L.; Ma, J. Pre-slip and localized strain band—A study based on large sample experiment and DIC. In Proceedings of the American Geophysical Union, Fall Meeting, New Orleans, LA, USA, 11–15 December 2017. [Google Scholar]
- Sarlis, N.V.; Varotsos, P.A.; Skordas, E.S. Flux avalanches in YBa2Cu3O7−x films and rice piles: Natural time domain analysis. Phys. Rev. B 2006, 73, 054504. [Google Scholar] [CrossRef]
- Varotsos, P.A.; Sarlis, N.V.; Skordas, E.S.; Uyeda, S.; Kamogawa, M. Natural-time analysis of critical phenomena: The case of seismicity. Europhys. Lett. 2010, 92, 29002. [Google Scholar] [CrossRef]
- Sarlis, N.V.; Skordas, E.S.; Varotsos, P.A. The change of the entropy in natural time under time-reversal in the Olami–Feder–Christensen earthquake model. Tectonophysics 2011, 513, 49–53. [Google Scholar] [CrossRef]
- Sarlis, N.V.; Skordas, E.S.; Varotsos, P.A.; Nagao, T.; Kamogawa, M.; Tanaka, H.; Uyeda, S. Minimum of the order parameter fluctuations of seismicity before major earthquakes in Japan. Proc. Nat. Acad. Sci. USA 2013, 110, 13734–13738. [Google Scholar] [CrossRef] [PubMed]
- Varotsos, P.A.; Sarlis, N.V.; Skordas, E.S.; Lazaridou, M.S. Seismic Electric Signals: An additional fact showing their physical interconnection with seismicity. Tectonophysics 2013, 589, 116–125. [Google Scholar] [CrossRef]
- Varotsos, P.A.; Sarlis, N.V.; Skordas, E.S. Scale-specific order parameter fluctuations of seismicity in natural time before mainshocks. Europhys. Lett. 2011, 96, 59002. [Google Scholar] [CrossRef]
- Rundle, J.B.; Turcotte, D.L.; Donnellan, A.; Grant Ludwig, L.; Luginbuhl, M.; Gong, G. Nowcasting earthquakes. Earth Space Sci. 2016, 3, 480–486. [Google Scholar] [CrossRef]
- Luginbuhl, M.; Rundle, J.B.; Hawkins, A.; Turcotte, D.L. Nowcasting Earthquakes: A Comparison of induced earthquakes in Oklahoma and at the Geysers, California. Pure Appl. Geophys. 2018, 175, 49–65. [Google Scholar] [CrossRef]
- Luginbuhl, M.; Rundle, J.B.; Turcotte, D.L. Natural Time and Nowcasting Earthquakes: Are Large Global Earthquakes Temporally Clustered? Pure Appl. Geophys. 2018, 175, 661–670. [Google Scholar] [CrossRef]
- Rundle, J.B.; Luginbuhl, M.; Giguere, A.; Turcotte, D.L. Natural Time, Nowcasting and the Physics of Earthquakes: Estimation of Seismic Risk to Global Megacities. Pure Appl. Geophys. 2018, 175, 647–660. [Google Scholar] [CrossRef]








© 2018 by the authors. Licensee MDPI, Basel, Switzerland. This article is an open access article distributed under the terms and conditions of the Creative Commons Attribution (CC BY) license (http://creativecommons.org/licenses/by/4.0/).
Share and Cite
Zhuo, Y.-Q.; Guo, Y.; Chen, S.; Ji, Y.; Ma, J. Laboratory Observations of Linkage of Preslip Zones Prior to Stick-Slip Instability. Entropy 2018, 20, 629. https://doi.org/10.3390/e20090629
Zhuo Y-Q, Guo Y, Chen S, Ji Y, Ma J. Laboratory Observations of Linkage of Preslip Zones Prior to Stick-Slip Instability. Entropy. 2018; 20(9):629. https://doi.org/10.3390/e20090629
Chicago/Turabian StyleZhuo, Yan-Qun, Yanshuang Guo, Shunyun Chen, Yuntao Ji, and Jin Ma. 2018. "Laboratory Observations of Linkage of Preslip Zones Prior to Stick-Slip Instability" Entropy 20, no. 9: 629. https://doi.org/10.3390/e20090629
APA StyleZhuo, Y.-Q., Guo, Y., Chen, S., Ji, Y., & Ma, J. (2018). Laboratory Observations of Linkage of Preslip Zones Prior to Stick-Slip Instability. Entropy, 20(9), 629. https://doi.org/10.3390/e20090629

