Hierarchical Cosine Similarity Entropy for Feature Extraction of Ship-Radiated Noise
Abstract
:1. Introduction
2. Hierarchical Cosine Similarity Entropy
2.1. Cosine Similarity Entropy
2.2. Hierarchical Decomposition
2.3. Hierarchical Cosine Similarity Entropy
3. Parameters Selection for HCSE
3.1. Selection of Tolerance
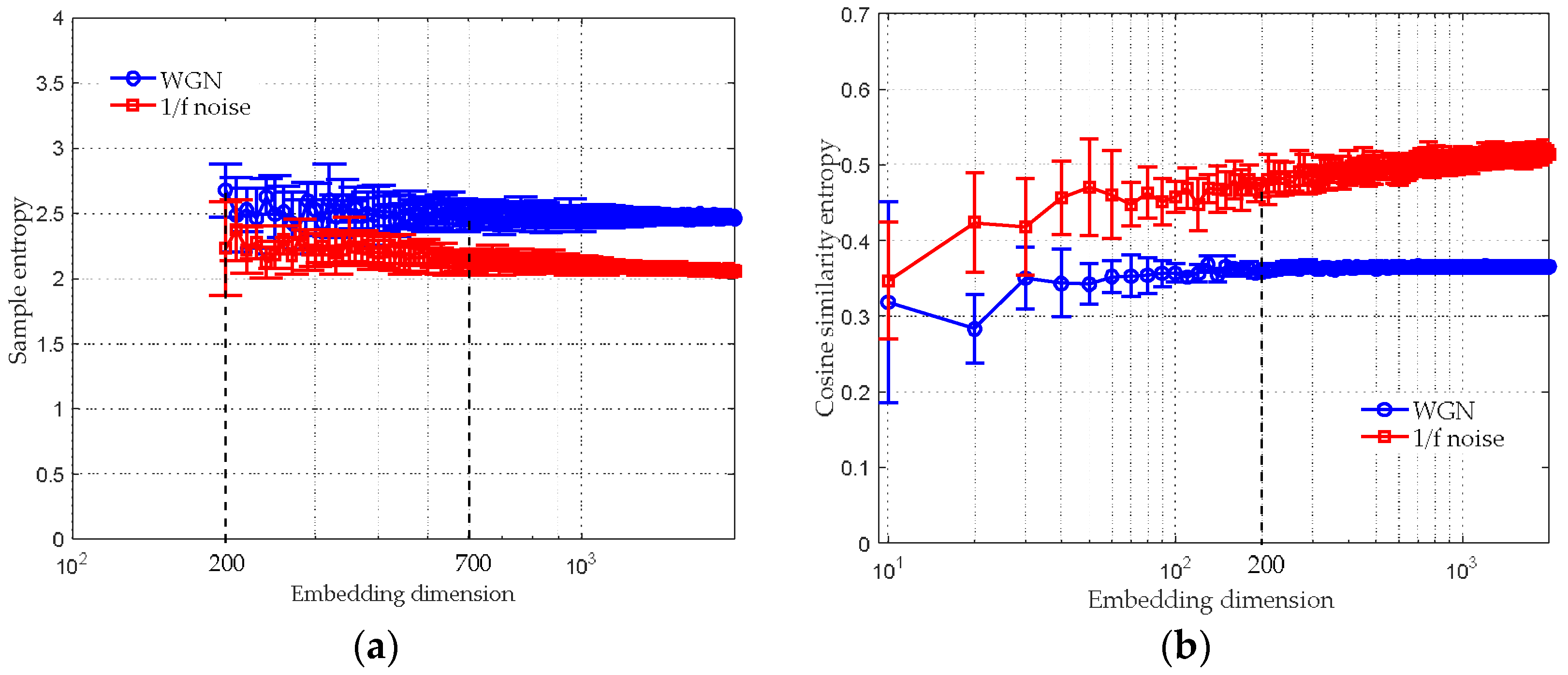
3.2. Selection of Embedding Dimension
3.3. Selection of Data-Length
3.4. Selection of Scale Factor
4. Feature Extraction of Synthetic Signals and Real Ship-Radiated Noise
4.1. HCSE Analysis for Synthetic Signals
4.2. Feature Extraction of Real Ship-Radiated Noise
4.3. Feature Classification
5. Conclusions
- (1)
- The undefined entropy is unlikely to occur in HCSE by utilizing Shannon entropy rather than conditional entropy and employing angular distance instead of Chebyshev distance. As a consequence, the HCSE method is valid when data-length , while the MSE method is invalid when .
- (2)
- The HCSE is suitable for short time series. It can provide stable entropy estimation when , while the MSE demands .
- (3)
- The HCSE analysis result of the WGN is in consistent with the fact that WGN is not structurally complex, and it also agrees well with claim that hierarchical components of WGN are still WGN.
- (4)
- The HCSE method can extract the features of a signal more comprehensively and precisely, because it takes both lower and higher frequency components into consideration. Compared with MSE, the classification accuracy of real ship-radiated noise is significantly improved from 75% to 95.63% by using HCSE.
Author Contributions
Funding
Conflicts of Interest
References
- Wang, Q.; Zeng, X.Y.; Wang, L.; Wang, H.T.; Cai, H.H. Passive moving target classification via spectra multiplication method. IEEE Signal Process. Lett. 2017, 24, 451–455. [Google Scholar] [CrossRef]
- Das, A.; Kumar, A.; Bahl, R. Marine vessel classification based on passive sonar data: The cepstrum-based approach. IET Radar Sonar Navig. 2013, 7, 87–93. [Google Scholar] [CrossRef]
- Wang, S.G.; Zeng, X.Y. Robust underwater noise targets classification using auditory inspired time-frequency analysis. Appl. Acoust. 2014, 78, 68–76. [Google Scholar] [CrossRef]
- Hodges, R.P. Underwater Acoustics: Analysis, Design and Performance of Sonar, 1st ed.; Wiley: West Sussex, UK, 2010; pp. 183–184. [Google Scholar]
- Waite, A.D. Sonar for Practicing Engineers, 3rd ed.; Wiley: West Sussex, UK, 2002; pp. 126–127. [Google Scholar]
- Li, Y.X.; Li, Y.A.; Chen, Z.; Chen, X. Feature extraction of ship-radiated noise based on permutation entropy of the intrinsic mode function with the highest energy. Entropy 2016, 18, 393. [Google Scholar] [CrossRef]
- Li, Y.X.; Li, Y.A.; Chen, X.; Yu, J. A novel feature extraction method for ship-radiated noise based on variational mode decomposition and multi-scale permutation entropy. Entropy 2017, 19, 342. [Google Scholar]
- Li, Y.X.; Li, Y.A.; Chen, X.; Yu, J. Denoising and feature extraction algorithms using NPE combined with VMD and their applications in ship-radiated noise. Entropy 2017, 9, 256. [Google Scholar] [CrossRef]
- Shashidhar, S.; Li, Y.A.; Guo, X.J.; Chen, X.; Zhang, Q.F.; Yang, K.D.; Yang, Y.X. A complexity-based approach for the detection of weak signals in ocean ambient noise. Entropy 2016, 18, 101. [Google Scholar]
- Kim, H.J.; Bae, M.; Jin, D. On a robust MaxEnt process regression model with sample-selection. Entropy 2018, 20, 262. [Google Scholar] [CrossRef]
- Villecco, F.; Pellegrino, A. Entropic measure of epistemic uncertainties in multibody system models by axiomatic design. Entropy 2017, 19, 291. [Google Scholar] [CrossRef]
- Villecco, F.; Pellegrino, A. Evaluation of uncertainties in the design process of complex mechanical systems. Entropy 2017, 19, 475. [Google Scholar] [CrossRef]
- Bandt, C.; Pompe, B. Permutation entropy: A natural complexity measure for time series. Phys. Rev. Lett. 2002, 88, 174102. [Google Scholar] [CrossRef] [PubMed]
- Gao, Y.D.; Villecco, F.; Li, M.; Song, W.Q. Multi-scale permutation entropy based on improved LMD and HMM for rolling bearing diagnosis. Entropy 2017, 19, 176. [Google Scholar] [CrossRef]
- Pincus, S.M. Approximate entropy as a measure of system complexity. Proc. Natl. Acad. Sci. USA 1991, 88, 2297–2301. [Google Scholar] [CrossRef] [PubMed]
- Richman, J.S.; Moorman, J.R. Physiological time-series analysis using approximate entropy and sample entropy. Am. J. Physiol. 2000, 278, H2039–H2049. [Google Scholar] [CrossRef] [PubMed]
- Yentes, J.M.; Hunt, N.; Schmid, K.K.; Kaipust, J.P.; McGrath, D.; Stergiou, N. The appropriate use of approximate entropy and sample entropy with short data sets. Ann. Biomed. Eng. 2013, 41, 349–365. [Google Scholar] [CrossRef] [PubMed]
- Han, M.; Pan, J. A fault diagnosis method combined with LMD, sample entropy and energy ratio for roller bearings. Measurement 2015, 76, 7–19. [Google Scholar] [CrossRef]
- Manis, G.; Aktaruzzaman, M.; Sassi, R. Low computational cost for sample entropy. Entropy 2018, 20, 61. [Google Scholar] [CrossRef]
- Chanwimalueang, T.; Mandic, D. Cosine similarity entropy: Self-correlated-based complexity analysis of dynamical systems. Entropy 2017, 19, 652. [Google Scholar] [CrossRef]
- Alcaraz, R.; Abasolo, D.; Hornero, R.; Rieta, J. Study of sample entropy ideal computational parameters in the estimation of atrial fibrillation organization from the ECG. Comput. Cardiol. 2010, 37, 1027–1030. [Google Scholar]
- Wu, S.D.; Wu, C.W.; Lin, S.G.; Wang, C.C.; Lee, K.Y. Time series analysis using composite multiscale entropy. Entropy 2013, 15, 1069–1084. [Google Scholar] [CrossRef]
- Yu-Hsiang, P.; Wang, Y.H.; Liang, S.F.; Lee, K.T. Fast computation of sample entropy and approximate entropy in biomedicine. Comput. Methods Programs Biomed. 2011, 104, 382–396. [Google Scholar]
- Jiang, Y.; Mao, D.; Xu, Y. A fast algorithm for computing Sample entropy. Adv. Adapt. Data Anal. 2011, 3, 167–186. [Google Scholar] [CrossRef]
- Costa, M.; Goldberger, A.L.; Peng, C.K. Multiscale entropy analysis of complex physiologic time series. Phys. Rev. Lett. 2002, 89, 068102. [Google Scholar] [CrossRef] [PubMed]
- Costa, M.; Goldberger, A.L.; Peng, C.K. Multiscale entropy analysis of biological signals. Phys. Rev. E 2005, 71, 021906. [Google Scholar] [CrossRef] [PubMed]
- Costa, M.; Goldberger, A.L.; Peng, C.K. Multiscale entropy to distinguish physiologic and synthetic RR time series. Comput. Cardiol. 2002, 29, 137–140. [Google Scholar] [PubMed]
- Jiang, Y.; Peng, C.K.; Xu, Y.S. Hierarchical entropy analysis for biological signals. J. Comput. Appl. Math. 2011, 236, 728–742. [Google Scholar] [CrossRef]
- Kaffashi, F.; Foglyano, R.; Wilson, C.G.; Loparo, K.A.; Kenneth, A.L. The effect of time delay on approximate entropy & sample entropy calculations. Phys. D 2008, 237, 3069–3074. [Google Scholar]
- Taken, F. Detecting strange attractors in turbulence. In Dynamical Systems and Turbulence; Rand, D., Young, L.S., Eds.; Springer: Berlin/Heidelberg, Germany, 1981; pp. 366–381. [Google Scholar]
- Specht, D.F. Probability neural networks and the polynomial Adaline as complementary techniques for classification. IEEE Trans. Neural Netw. 1990, 1, 111–121. [Google Scholar] [CrossRef] [PubMed]












| Type | Mean SE Values | ||||
|---|---|---|---|---|---|
| Scale 1 | Scale 2 | Scale 3 | Scale 4 | Scale 5 | |
| A | 0.907 | 1.486 | 1.827 | 2.03 | 2.130 |
| B | 0.467 | 0.654 | 0.764 | 0.917 | 1.058 |
| C | 0.683 | 1.150 | 1.496 | 1.738 | 1.893 |
| D | 0.599 | 0.977 | 1.366 | 1.620 | 1.757 |
| Type | Scales | Type | Scales | ||||||||
|---|---|---|---|---|---|---|---|---|---|---|---|
| 1 | 2 | 3 | 4 | 5 | 1 | 2 | 3 | 4 | 5 | ||
| A | 0.896 | 0.743 | 0.604 | 0.548 | 0.534 | B | 0.956 | 0.920 | 0.836 | 0.702 | 0.566 |
| 0.380 | 0.366 | 0.380 | 0.364 | 0.372 | 0.383 | 0.370 | 0.363 | ||||
| 0.365 | 0.376 | 0.386 | 0.385 | 0.366 | 0.365 | ||||||
| 0.366 | 0.376 | 0.370 | 0.386 | 0.371 | 0.364 | ||||||
| 0.378 | 0.381 | 0.370 | 0.365 | ||||||||
| 0.379 | 0.370 | 0.376 | 0.364 | ||||||||
| 0.366 | 0.376 | 0.370 | 0.364 | ||||||||
| 0.366 | 0.365 | 0.402 | 0.366 | ||||||||
| 0.387 | 0.367 | ||||||||||
| 0.372 | 0.365 | ||||||||||
| 0.380 | 0.364 | ||||||||||
| 0.370 | 0.367 | ||||||||||
| 0.364 | 0.363 | ||||||||||
| 0.364 | 0.363 | ||||||||||
| 0.370 | 0.367 | ||||||||||
| 0.364 | 0.386 | ||||||||||
| Type | Scales | Type | Scales | ||||||||
|---|---|---|---|---|---|---|---|---|---|---|---|
| 1 | 2 | 3 | 4 | 5 | 1 | 2 | 3 | 4 | 5 | ||
| C | 0.870 | 0.714 | 0.553 | 0.447 | 0.411 | D | 0.856 | 0.680 | 0.504 | 0.401 | 0.378 |
| 0.402 | 0.370 | 0.371 | 0.384 | 0.489 | 0.385 | 0.368 | 0.400 | ||||
| 0.370 | 0.370 | 0.391 | 0.389 | 0.367 | 0.411 | ||||||
| 0.366 | 0.370 | 0.365 | 0.377 | 0.385 | 0.371 | ||||||
| 0.370 | 0.392 | 0.367 | 0.417 | ||||||||
| 0.374 | 0.367 | 0.387 | 0.373 | ||||||||
| 0.365 | 0.368 | 0.394 | 0.407 | ||||||||
| 0.365 | 0.362 | 0.379 | 0.370 | ||||||||
| 0.398 | 0.417 | ||||||||||
| 0.368 | 0.374 | ||||||||||
| 0.370 | 0.410 | ||||||||||
| 0.362 | 0.371 | ||||||||||
| 0.363 | 0.442 | ||||||||||
| 0.363 | 0.373 | ||||||||||
| 0.363 | 0.392 | ||||||||||
| 0.365 | 0.367 | ||||||||||
| Type | Recognized as | Accuracy | |||
|---|---|---|---|---|---|
| A | B | C | D | ||
| A | 80 | 0 | 0 | 0 | 100% |
| B | 0 | 80 | 0 | 0 | 100% |
| C | 0 | 0 | 80 | 0 | 100% |
| D | 0 | 15 | 65 | 0 | 0% |
| In total | 80 | 95 | 145 | 0 | 75% |
| Type | Recognized as | Accuracy | |||
|---|---|---|---|---|---|
| A | B | C | D | ||
| A | 69 | 0 | 11 | 0 | 86.25% |
| B | 0 | 80 | 0 | 0 | 100% |
| C | 0 | 0 | 80 | 0 | 100% |
| D | 1 | 0 | 2 | 77 | 96.25% |
| In total | 70 | 80 | 93 | 77 | 95.63% |
© 2018 by the authors. Licensee MDPI, Basel, Switzerland. This article is an open access article distributed under the terms and conditions of the Creative Commons Attribution (CC BY) license (http://creativecommons.org/licenses/by/4.0/).
Share and Cite
Chen, Z.; Li, Y.; Liang, H.; Yu, J. Hierarchical Cosine Similarity Entropy for Feature Extraction of Ship-Radiated Noise. Entropy 2018, 20, 425. https://doi.org/10.3390/e20060425
Chen Z, Li Y, Liang H, Yu J. Hierarchical Cosine Similarity Entropy for Feature Extraction of Ship-Radiated Noise. Entropy. 2018; 20(6):425. https://doi.org/10.3390/e20060425
Chicago/Turabian StyleChen, Zhe, Yaan Li, Hongtao Liang, and Jing Yu. 2018. "Hierarchical Cosine Similarity Entropy for Feature Extraction of Ship-Radiated Noise" Entropy 20, no. 6: 425. https://doi.org/10.3390/e20060425
APA StyleChen, Z., Li, Y., Liang, H., & Yu, J. (2018). Hierarchical Cosine Similarity Entropy for Feature Extraction of Ship-Radiated Noise. Entropy, 20(6), 425. https://doi.org/10.3390/e20060425

