Numerical Study on Entropy Generation in Thermal Convection with Differentially Discrete Heat Boundary Conditions
Abstract
1. Introduction
2. Thermal Fluid Dynamics Equation and Numerical Method
2.1. Thermal Fluid Dynamics Equation
2.2. Viscosity and Thermal Entropy Generation
2.3. Numerical Method for Thermal Fluid Dynamics Equation
3. Results and Discussion
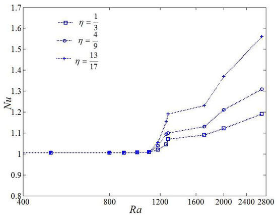
3.1. Analysis of Flow and Temperature Field
3.2. Analysis of Su and Sθ
4. Conclusiuons
Author Contributions
Funding
Conflicts of Interest
References
- Lage, J.L.; Lim, J.S.; Bejan, A. Natural convection with radiation in a cavity with open top end. J. Heat Transf. 1992, 114, 479–486. [Google Scholar] [CrossRef]
- Xu, F.; Saha, S.C. Transition to an unsteady flow induced by a fin on the sidewall of a differentially heated air-filled square cavity and heat transfer. Int. J. Heat Mass Transf. 2014, 71, 236–244. [Google Scholar] [CrossRef]
- Nelson, J.E.B.; Balakrishnan, A.R.; Murthy, S.S. Experiments on stratified chilled-water tanks. Int. J. Refrig. 1999, 22, 216–234. [Google Scholar] [CrossRef]
- Ampofo, F.; Karayiannis, T.G. Experimental benchmark data for turbulent natural convection in an air filled square cavity. Int. J. Heat. Mass. Transf. 2003, 19, 3551–3572. [Google Scholar] [CrossRef]
- Adeyinka, O.B.; Naterer, G.F. Experimental uncertainty of measured entropy production with pulsed laser PIV and planar laser induced fluorescence. Appl. Ther. Eng. 2005, 48, 1450–1461. [Google Scholar] [CrossRef]
- Lohse, D.; Xia, K.Q. Small-scale properties of turbulent Rayleigh-Bénard convection. Annu. Rev. Fluid Mech. 2010, 42, 335–364. [Google Scholar] [CrossRef]
- Xu, F.; Patterson, J.C.; Lei, C. On the double-layer structure of the thermal boundary layer in a differentially heated cavity. Int. J. Heat Mass Transf. 2008, 51, 3803–3815. [Google Scholar] [CrossRef]
- Ahlers, G.; Grossmann, S.; Lohse, D. Heat transfer and large scale dynamics in turbulent Rayleigh—Bénard convection. Rev. Mod. Phys. 2009, 81, 503–537. [Google Scholar] [CrossRef]
- Sun, C.; Zhou, Q.; Xia, K.Q. Cascades of velocity and temperature fluctuations in buoyancy-driven thermal turbulence. Phys. Rev. Lett. 2006, 97, 144504–144509. [Google Scholar] [CrossRef] [PubMed]
- Xu, F.; Patterson, J.C.; Lei, C. Transition to a periodic flow induced by a thin fin on the sidewall of a differentially heated cavity. Int. J. Heat Mass Transf. 2009, 52, 620–628. [Google Scholar] [CrossRef]
- Zhou, Q.; Xia, K.Q. Physical and geometrical properties of thermal plumes in turbulent Rayleigh–Bénard convection. New J. Phys. 2012, 12, 075006–075018. [Google Scholar] [CrossRef]
- Lami, P.A.K.; Praka, K.A. A numerical study on natural convection and entropy generation in a porous enclosure with heat sources. Int. J. Heat Mass Transf. 2014, 69, 390–407. [Google Scholar] [CrossRef]
- De, R.; Oliveski, C.; Krenzinger, A.; Vielmo, H.A. Cooling of cylindrical vertical tank submitted to natural internal convection. Int. J. Heat Mass Transf. 2003, 46, 2015–2026. [Google Scholar]
- Zahmatkesh, I. On the importance of thermal boundary conditions in heat transfer and entropy generation for natural convection inside a porous enclosure. Int. J. Therm. Sci. 2008, 47, 339–346. [Google Scholar] [CrossRef]
- Andreozzi, A.; Auletta, A.; Manca, O. Entropy generation in natural convection in a symmetrically and uniformly heated vertical channel. Int. J. Heat Mass Transf. 2006, 49, 3221–3228. [Google Scholar] [CrossRef]
- Dagtekin, I.; Oztop, H.F.; Bahloul, A. Entropy generation for natural convection in Γ-shaped enclosures. Int. Commun. Heat Mass Transf. 2007, 34, 502–510. [Google Scholar] [CrossRef]
- Shishkina, O.; Wagner, C. Analysis of sheet like thermal plumes in turbulent Rayleigh–Bénard convection. J. Fluid Mech. 2012, 599, 383–404. [Google Scholar] [CrossRef]
- Kaczorowski, M.; Wagner, C. Analysis of the thermal plumes in turbulent Rayleigh–Bénard convection based on well-resolved numerical simulations. J. Fluid Mech. 2011, 618, 89–112. [Google Scholar] [CrossRef]
- Usman, M.; Soomro, F.A.; Haq, R.U.; Wang, W.; Defterli, O. Thermal and velocity slip effects on Casson nanofluid flow over an inclined permeable stretching cylinder via collocation method. Int. J. Heat Mass Transf. 2018, 122, 1255–1263. [Google Scholar] [CrossRef]
- Haq, R.U.; Soomro, F.A.; Zakia, H. Heat transfer analysis of CuO-water enclosed in a partially heated rhombus with heated square obstacle. Int. J. Heat Mass Transf. 2018, 118, 773–784. [Google Scholar]
- Ripesi, P.; Biferale, L.; Sbragaglia, M.; Wirth, A. Natural convection with mixed insulating and conducting boundary conditions: Low-and high-Rayleigh-number regimes. J. Fluid Mech. 2014, 742, 636–663. [Google Scholar] [CrossRef]
- Selimefendigil, F.; Öztop, H.F. Natural convection and entropy generation of nanofluid filled cavity having different shaped obstacles under the influence of magnetic field and internal heat generation. J. Taiwan Inst. Chem. Eng. 2015, 56, 42–56. [Google Scholar] [CrossRef]
- Sciacovelli, A.; Verda, V.; Sciubba, E. Entropy generation analysis as a design tool—A review. Renew. Sustain. Energy Rev. 2015, 43, 1167–1181. [Google Scholar] [CrossRef]
- Wei, Y.K.; Wang, Z.D.; Qian, Y.H. A numerical study on entropy generation in two-dimensional Rayleigh–Bénard convection at different Prandtl number. Entropy 2017, 19, 433. [Google Scholar] [CrossRef]
- Jin, Y. Second-law analysis: A powerful tool for analyzing Computational Fluid Dynamics results. Entropy 2017, 19, 679. [Google Scholar] [CrossRef]
- Pizzolato, A.; Sciacovelli, A.; Verda, V. Transient local entropy generation analysis for the design improvement of a thermocline thermal energy storage. Appl. Ther. Eng. 2016, 101, 622–629. [Google Scholar] [CrossRef]
- Rejane, D.C.; Mario, H.; Copetti, J.B. Entropy generation and natural convection in rectangular cavities. Appl. Ther. Eng. 2009, 29, 1417–1425. [Google Scholar]
- Mahian, O.; Kianifar, A.; Pop, I. A review on entropy generation in nanofluid flow. Int. J. Heat Mass Transf. 2013, 65, 514–532. [Google Scholar] [CrossRef]
- Sheremet, M.A.; Oztop, H.F.; Pop, I.; Abu-Hamdeh, N. Analysis of Entropy Generation in Natural Convection of Nanofluid inside a Square Cavity Having Hot Solid Block: Tiwari and Das’ Model. Entropy 2016, 18, 9. [Google Scholar] [CrossRef]
- Bhatti, M.M.; Abbas, T.; Rashidi, M.M.; Ali, M.E.; Yang, Z.G. Entropy Generation on MHD Eyring-Powell Nanofluid through a Permeable Stretching Surface. Entropy 2016, 18, 224. [Google Scholar] [CrossRef]
- Bhatti, M.M.; Rashidi, M.M. Entropy generation with nonlinear thermal radiation in MHD boundary layer flow over a permeable shrinking/stretching sheet: Numerical solution. J. Nanofluids 2016, 5, 543–554. [Google Scholar] [CrossRef]
- Abbas, M.A.; Bai, Y.; Rashidi, M.M.; Bhatti, M.M. Analysis of Entropy Generation in the Flow of Peristaltic Nanofluids in Channels with Compliant Walls. Entropy 2016, 18, 90. [Google Scholar] [CrossRef]
- Qing, J.; Bhatti, M.M.; Abbas, M.A.; Rashidi, M.M.; Ali, M.S. Entropy Generation on MHD Casson Nanofluid Flow over a Porous Stretching/Shrinking Surface. Entropy 2016, 18, 123. [Google Scholar] [CrossRef]
- Liu, H.H.; Valocch, A.J.; Zhang, Y.H.; Kang, Q.J. Lattice Boltzmann Phase Field Modeling Thermocapillary Flows in a Confined Microchannel. J. Comput. Phys. 2014, 256, 334–356. [Google Scholar] [CrossRef]
- Shan, X. Simulation of Rayleigh-Be’nard convection using a lattice Boltzmann method. Phys. Rev. E 1997, 55, 2780–2788. [Google Scholar] [CrossRef]
- Liang, H.; Shi, B.C.; Chai, Z.H. An efficient phase-field-based multiple-relaxation-time lattice Boltzmann model for three-dimensional multiphase flows. Comput. Math. Appl. 2017, 73, 1524–1538. [Google Scholar] [CrossRef]
- Wei, Y.K.; Wang, Z.D.; Yang, J.F.; Dou, H.S.; Qian, Y.H. Simulation of natural convection heat transfer in an enclosure at different Rayleigh number using lattice Boltzmann method. Comput. Fluids 2016, 124, 30–38. [Google Scholar] [CrossRef]
- Wei, Y.K.; Wang, Z.D.; Dou, H.S.; Qian, Y.H. A novel two-dimensional coupled lattice Boltzmann model for incompressible flow in application of turbulence Rayleigh–Taylor instability. Comput. Fluids 2017, 156, 97–102. [Google Scholar] [CrossRef]
- Chen, S.Y.; Doolen, G.D. Lattice Boltzmann method for fluid flows. Annu. Rev. Fluid Mech. 1998, 30, 329–364. [Google Scholar] [CrossRef]
- Liang, H.; Shi, B.C.; Chai, Z.H. Lattice Boltzmann simulation of three-dimensional Rayleigh–Taylor instability. Phys. Rev. E 2016, 93, 033113–033119. [Google Scholar] [CrossRef] [PubMed]
- Clever, R.M.; Busse, F.H. Transition to time-dependent convection. J. Fluid Mech. 1974, 65, 625–639. [Google Scholar] [CrossRef]












© 2018 by the authors. Licensee MDPI, Basel, Switzerland. This article is an open access article distributed under the terms and conditions of the Creative Commons Attribution (CC BY) license (http://creativecommons.org/licenses/by/4.0/).
Share and Cite
Wang, Z.; Wei, Y.; Qian, Y. Numerical Study on Entropy Generation in Thermal Convection with Differentially Discrete Heat Boundary Conditions. Entropy 2018, 20, 351. https://doi.org/10.3390/e20050351
Wang Z, Wei Y, Qian Y. Numerical Study on Entropy Generation in Thermal Convection with Differentially Discrete Heat Boundary Conditions. Entropy. 2018; 20(5):351. https://doi.org/10.3390/e20050351
Chicago/Turabian StyleWang, Zhengdao, Yikun Wei, and Yuehong Qian. 2018. "Numerical Study on Entropy Generation in Thermal Convection with Differentially Discrete Heat Boundary Conditions" Entropy 20, no. 5: 351. https://doi.org/10.3390/e20050351
APA StyleWang, Z., Wei, Y., & Qian, Y. (2018). Numerical Study on Entropy Generation in Thermal Convection with Differentially Discrete Heat Boundary Conditions. Entropy, 20(5), 351. https://doi.org/10.3390/e20050351
