Exergy Analysis and Human Body Thermal Comfort Conditions: Evaluation of Different Body Compositions
Abstract
1. Introduction
2. Methods
2.1. Thermodynamic model
2.2. Energy and Exergy Metabolisms
2.3. Energy Transfer to Environment
2.4. Exergy Transfer to Environment
2.5. Human Thermal Model
2.6. Thermal Comfort Indexes
3. Results and Discussion
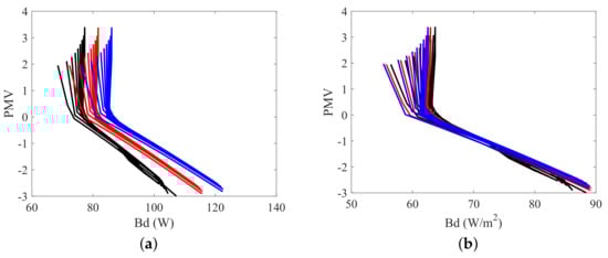
3.1. Validation of the Exergy Behavior of the Human Thermal Model
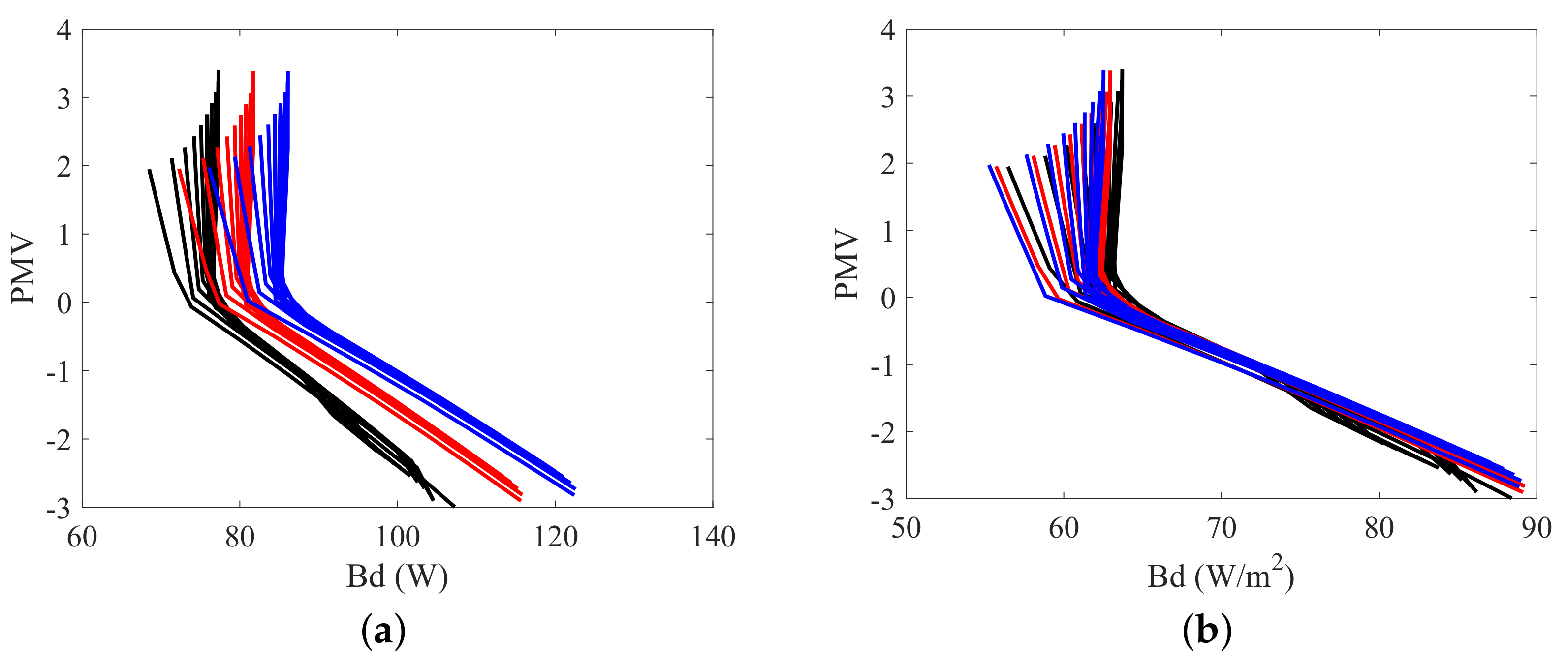
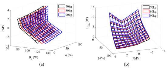
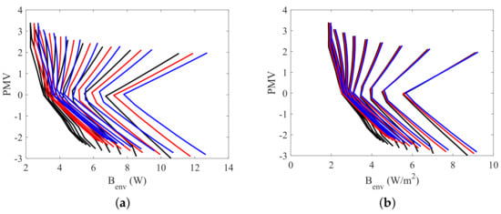
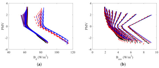
3.2. Exergy Analysis and Body Composition
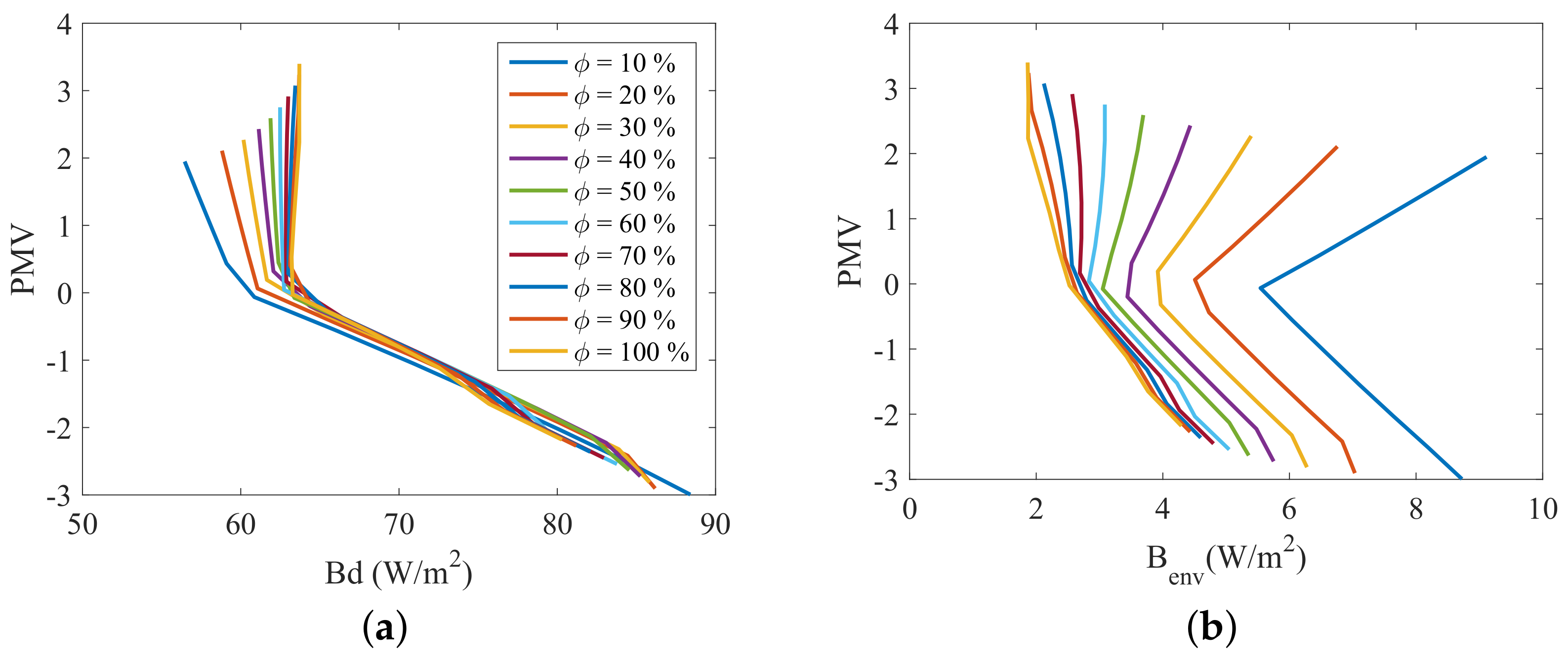
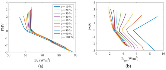
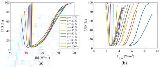
3.3. Exergy Analysis and Thermal Comfort
4. Concluding Remarks
- The effects of the body composition were successfully related to exergy parameters. It was noticed that the body metabolism influences the exergy destruction and the exergy transfer to environment, increasing both terms. This relation is evident since an increase in the muscle mass causes a higher exergy index increase than the same increase in the fat mass.
- The results obtained in this article demonstrate that the area normalization is a good generalization of the human body response when submitted to different environments. Therefore, the exergy analysis and its relation with PMV and PPD indexes may be used as a general tool to assess thermal comfort conditions.
- Points of minimum destroyed exergy do not always occur for the thermal comfort conditions. It was obtained that when the relative humidity is over 70% the destroyed exergy is minimal for , but when the humidity is bellow 70% the destroyed exergy is close to its minimum value, but only the exergy transfer to environment is minimal for the thermal comfort conditions.
- For environments considered “cold” () it was shown that the relation between the exergy destruction rate and the predicted mean vote is independent of humidity.
- Again, for environments considered “cold” (temperatures lower than thermal neutrality), is zero (or around zero) when is at its minimal.
- For the so called “hot” environments (temperatures higher than thermal neutrality) the thermal comfort condition is obtained when both and are minimal or around minimum points, demonstrating the results obtained by [24].
Acknowledgments
Author Contributions
Conflicts of Interest
Abbreviations
| RQ | Respiratory coefficient |
| PMV | Predicted mean vote |
| PPD | Predicted percent dissatisfied |
Nomenclature
| A | Area (m) |
| B | Exergy rate (W) |
| b | Exergy per unity of mass (kJ/kg) |
| Hole body mass (kg) | |
| Specific heat (kJ/kgK) | |
| E | Energy (W) |
| H | Enthalpy rate (W) |
| h | Specific enthalpy (kJ/kg) |
| k | Thermal conductivity (W/m·K) |
| L | Model height (m) |
| m | Mass (kg) |
| M | Metabolism (W) |
| p | Pressure (kPa) |
| Q | Heat transfer rate (W) |
| q | Heat transfer (W) |
| R | Gas constant (kJ/kgK) |
| r | Layer radius (m) |
| s | Specific entropy (kJ/kgK) |
| T | Temperature (°C) |
| t | Time (s) |
| V | Volume (m) |
| w | Blood perfusion (m / (ms)) |
| W | Performed power (W) |
Greek letters
| Density | |
| Relative humidity |
Subscripts
| b | blood |
| bas | basal |
| c | core |
| carb | carbohydrate |
| conv | convection |
| d | destroyed |
| e | vaporization |
| env | environment |
| exp | expired |
| f | fat |
| lip | lipid |
| fg | vaporization |
| M | metabolism |
| m | muscle |
| prot | protein |
| rad | radiation |
| resp | respiration |
| s | skin |
| v | vapour |
| ∞ | conditions far from the body |
Superscripts
| 0 | Thermal neutrality condition |
| Rate | |
| Per unity of volume |
References
- Schrödinger, E. What Is Life?: The Physical Aspect of the Living Cell; With, Mind and Matter; & Autobiographical Sketches; Cambridge University Press: Cambridge, UK, 1944. [Google Scholar]
- Prigogine, I.; Wiame, J. Biologie et thermodynamique des phénomènes irréversibles. Cell. Mol. Life Sci. 1946, 2, 451–453. [Google Scholar] [CrossRef]
- Molnar, J.; Thornton, B.S.; Molnar, A.; Gaal, D.; Luo, L.; Bergmann-Leitner, E.S. Thermodynamic Aspects of Cancer: Possible Role of Negative Entropy in Tumor Growth, its Relation to Kinetic and Genetic Resistance. Lett. Drug Des. Discov. 2005, 2, 429–438. [Google Scholar] [CrossRef]
- Mady, C.E.K.; Henriques, I.B.; de Oliveira, S. A thermodynamic assessment of therapeutic hypothermia techniques. Energy 2015, 85, 392–402. [Google Scholar] [CrossRef]
- Mady, C.E.K.; Albuquerque, C.; Fernandes, T.L.; Hernandez, A.J.; Saldiva, P.H.N.; Yanagihara, J.I.; de Oliveira, S. Exergy performance of human body under physical activities. Energy 2013, 62, 370–378. [Google Scholar] [CrossRef]
- Spanghero, G.M.; Albuquerque, C.; Lazzaretti Fernandes, T.; Hernandez, A.J.; Keutenedjian Mady, C.E. Exergy Analysis of the Musculoskeletal System Efficiency during Aerobic and Anaerobic Activities. Entropy 2018, 20, 119. [Google Scholar] [CrossRef]
- Çatak, J.; Özilgen, M.; Olcay, A.B.; Yılmaz, B. Assessment of the work efficiency with exergy method in ageing muscles and healthy and enlarged hearts. Int. J. Exergy 2018, 25, 1–33. [Google Scholar] [CrossRef]
- Özilgen, M. Review on biothermoydnamics applications: Timeline, challenges, and opportunities. Int. J. Energy Res. 2017. [Google Scholar] [CrossRef]
- Rupp, R.F.; Vásquez, N.G.; Lamberts, R. A review of human thermal comfort in the built environment. Energy Build. 2015, 105, 178–205. [Google Scholar] [CrossRef]
- Prek, M. Exergy analysis of thermal comfort. Int. J. Exergy 2004, 1, 303–315. [Google Scholar] [CrossRef]
- Prek, M. Thermodynamical analysis of human thermal comfort. Energy 2006, 31, 732–743. [Google Scholar] [CrossRef]
- Prek, M. Thermodynamic analysis of human heat and mass transfer and their impact on thermal comfort. Int. J. Heat Mass Transf. 2005, 48, 731–739. [Google Scholar] [CrossRef]
- Prek, M.; Butala, V. Principles of exergy analysis of human heat and mass exchange with the indoor environment. Int. J. Heat Mass Transf. 2010, 53, 5806–5814. [Google Scholar] [CrossRef]
- Prek, M.; Butala, V. Comparison between Fanger’s thermal comfort model and human exergy loss. Energy 2017, 138, 228–237. [Google Scholar] [CrossRef]
- Saito, M.; Shukuya, M. The human body consumes exergy for thermal comfort. IEA-ECBCS-Annex 37 LOWEX NEWS 2001, 2, 6–7. [Google Scholar]
- Isawa, K.; Komizo, T.; Shukuya, M. Low exergy systems will provide us with the lowest human-body exergy consumption and thermal comfort. IEA-ECBCS-Annex 37 LOWEX NEWS 2002, 37, 5–6. [Google Scholar]
- Shukuya, M. Exergy concept and its application to the built environment. Build. Environ. 2009, 44, 1545–1550. [Google Scholar] [CrossRef]
- Schweiker, M.; Shukuya, M. Adaptive comfort from the viewpoint of human body exergy consumption. Build. Environ. 2012, 51, 351–360. [Google Scholar] [CrossRef]
- Ala-Juusela, M.; Shukuya, M. Human body exergy consumption and thermal comfort of an office worker in typical and extreme weather conditions in Finland. Energy Build. 2014, 76, 249–257. [Google Scholar] [CrossRef]
- Dovjak, M.; Shukuya, M.; Krainer, A. Connective thinking on building envelope–Human body exergy analysis. Int. J. Heat Mass Transf. 2015, 90, 1015–1025. [Google Scholar] [CrossRef]
- Isawa, K.; Shukuya, M. Sensitivity Numerical Analysis of Human Body Exergy Balance under an Unsteady-State Thermal Environment—Behavioral Adaptation Induced by Undesirable Cold Storage by Building Envelope in Winter. Health 2016, 8, 737–748. [Google Scholar] [CrossRef][Green Version]
- Mady, C.; Ferreira, M.; Yanagihara, J.; Saldiva, P.; Oliveira-Junior, S. Second law of thermodynamics and human body. Therm. Eng. 2011, 10, 88–95. [Google Scholar]
- Mady, C.E.K.; Ferreira, M.S.; Yanagihara, J.I.; Saldiva, P.H.N.; de Oliveira Junior, S. Modeling the exergy behavior of human body. Energy 2012, 45, 546–553. [Google Scholar] [CrossRef]
- Mady, C.E.K.; Ferreira, M.S.; Yanagihara, J.I.; de Oliveira, S. Human body exergy analysis and the assessment of thermal comfort conditions. Int. J. Heat Mass Transf. 2014, 77, 577–584. [Google Scholar] [CrossRef]
- Henriques, I.B.; Mady, C.E.K.; de Oliveira Junior, S. Assessment of thermal comfort conditions during physical exercise by means of exergy analysis. Energy 2017, 128, 609–617. [Google Scholar] [CrossRef]
- Mady, C.E.K.; Oliveira Junior, S. Human body exergy metabolism. Int. J. Thermodyn. 2013, 16, 73–80. [Google Scholar] [CrossRef]
- Cortassa, S.; Aon, M.; Iglesias, A.; Lloyd, D. An Introduction to Metabolic and Cellular Engineering; World Scientific: Singapore, 2002. [Google Scholar]
- Diener, J. Calorimetria indireta. Revista da Associação Médica Brasileira 1997, 43, 245–253. [Google Scholar] [CrossRef] [PubMed]
- ASHRAE. Handbook of Fundamentals; American Society of Heating Refrigerating and Air Conditioning Engineers: Atlanta, GA, USA, 2005. [Google Scholar]
- Ferreira, M.; Yanagihara, J.I. A transient three-dimensional heat transfer model of the human body. Int. Commun. Heat Mass Transf. 2009, 36, 718–724. [Google Scholar] [CrossRef]
- Ferreira, M.S. Um Modelo do Sistema Termorregulador do Corpo Humano. Master’s Thesis, Escola Politécnica da Universidade de São Paulo, São Paulo, Brazil, 1997. [Google Scholar]
- Werner, J.; Buse, M. Temperature profiles with respect to inhomogeneity and geometry of the human body. J. Appl. Physiol. 1988, 65, 1110–1118. [Google Scholar] [CrossRef] [PubMed]
- Nadler, S.B.; Hidalgo, J.U.; Bloch, T. Prediction of blood volume in normal human adults. Surgery 1962, 51, 224–232. [Google Scholar] [PubMed]
- Mady, C.E.K.; Henriques, I.B.; de Oliveira Junior, S. Exergy analysis of human body and lifespan: A first approach. In Proceedings of the 22th international congress of mechanical engineering (COBEM 2013), Ribeirão Preto, Brazil, 3–7 November 2013. [Google Scholar]
- Nadel, E.R.; Bullard, R.W.; Stolwijk, J. Importance of skin temperature in the regulation of sweating. J. Appl. Physiol. 1971, 31, 80–87. [Google Scholar] [CrossRef] [PubMed]
- Savage, M.V.; Brengelmann, G.L. Control of skin blood flow in the neutral zone of human body temperature regulation. J. Appl. Physiol. 1996, 80, 1249–1257. [Google Scholar] [CrossRef] [PubMed]
- Gordon, R.G.; Roemer, R.B.; Horvath, S.M. A mathematical model of the human temperature regulatory system-transient cold exposure response. IEEE Trans. Biomed. Eng. 1976, 23, 434–444. [Google Scholar] [CrossRef] [PubMed]
- Pennes, H.H. Analysis of tissue and arterial blood temperatures in the resting human forearm. J. Appl. Physiol. 1948, 1, 93–122. [Google Scholar] [CrossRef] [PubMed]
- Fanger, P. Thermal Comfort Analysis and Applications in Environmental Engineering; McGraw-Hill: New York, NY, USA, 1970. [Google Scholar]
- Garcia, M.; Oliveira-Junior, S.; Mady, C. Human body exergy analysis as a function of body fat and muscle percentage. Applications to thermal comfort conditions. In Proceedings of the 16th Brazilian congress of thermal sciences and engineering (ENCIT), Vitória, Brazil, 7–10 November 2016. [Google Scholar]














© 2018 by the authors. Licensee MDPI, Basel, Switzerland. This article is an open access article distributed under the terms and conditions of the Creative Commons Attribution (CC BY) license (http://creativecommons.org/licenses/by/4.0/).
Share and Cite
Martinez Garcia, M.; Une, R.Y.; De Oliveira Junior, S.; Keutenedjian Mady, C.E. Exergy Analysis and Human Body Thermal Comfort Conditions: Evaluation of Different Body Compositions. Entropy 2018, 20, 265. https://doi.org/10.3390/e20040265
Martinez Garcia M, Une RY, De Oliveira Junior S, Keutenedjian Mady CE. Exergy Analysis and Human Body Thermal Comfort Conditions: Evaluation of Different Body Compositions. Entropy. 2018; 20(4):265. https://doi.org/10.3390/e20040265
Chicago/Turabian StyleMartinez Garcia, Matheus, Rafael Yoshimori Une, Silvio De Oliveira Junior, and Carlos Eduardo Keutenedjian Mady. 2018. "Exergy Analysis and Human Body Thermal Comfort Conditions: Evaluation of Different Body Compositions" Entropy 20, no. 4: 265. https://doi.org/10.3390/e20040265
APA StyleMartinez Garcia, M., Une, R. Y., De Oliveira Junior, S., & Keutenedjian Mady, C. E. (2018). Exergy Analysis and Human Body Thermal Comfort Conditions: Evaluation of Different Body Compositions. Entropy, 20(4), 265. https://doi.org/10.3390/e20040265

