Engine Load Effects on the Energy and Exergy Performance of a Medium Cycle/Organic Rankine Cycle for Exhaust Waste Heat Recovery
Abstract
:1. Introduction
2. System Description
3. Mathematical Model
3.1. System Design Model
3.1.1. Thermodynamic Cycle Design
3.1.2. Heat Exchangers Design
3.1.3. Heat Transfer Coefficient and Pressure Drop
Tube side
- Re < 105,
- Re ≥ 105,
Shell side
3.2. Off-Design Simulation Model
3.2.1. Heat Exchanger Off-Design Model
3.2.2. Turbine Off-Design Model
3.2.3. Pump Off-Design Model
3.2.4. System Integration
4. Results and Discussion
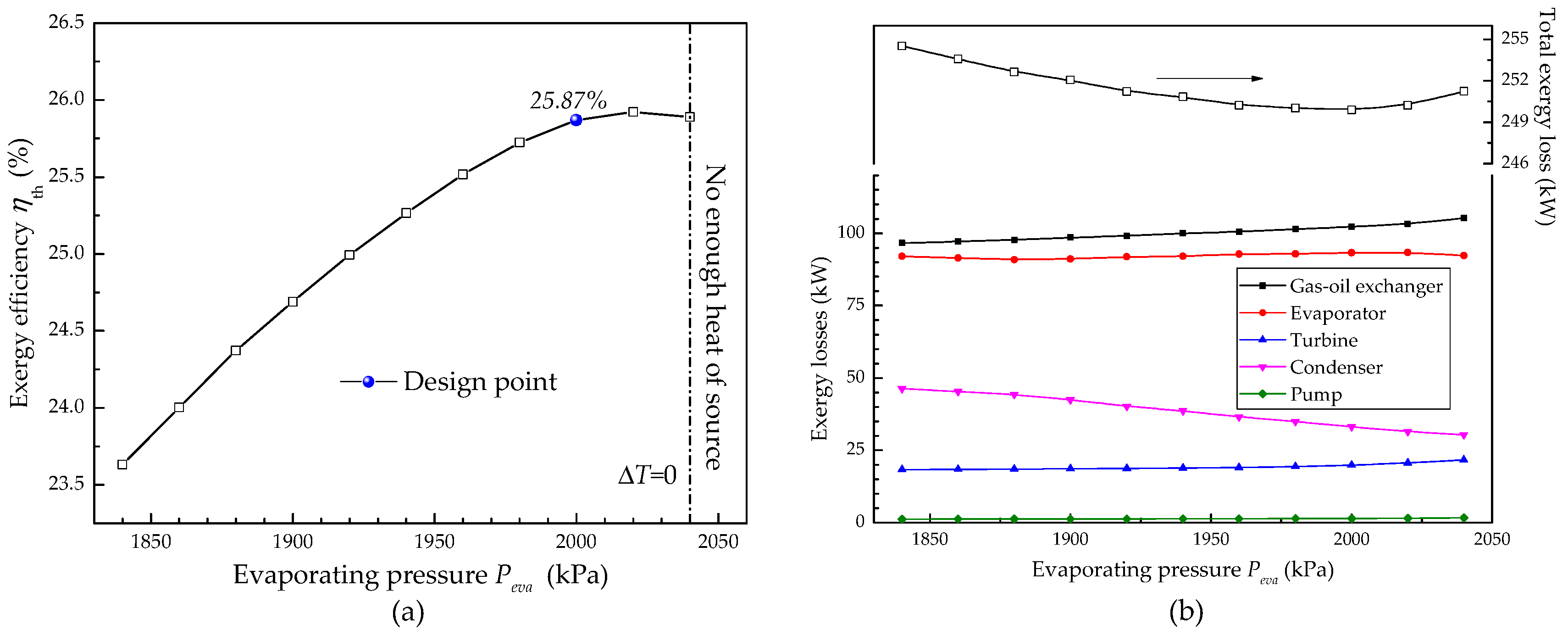
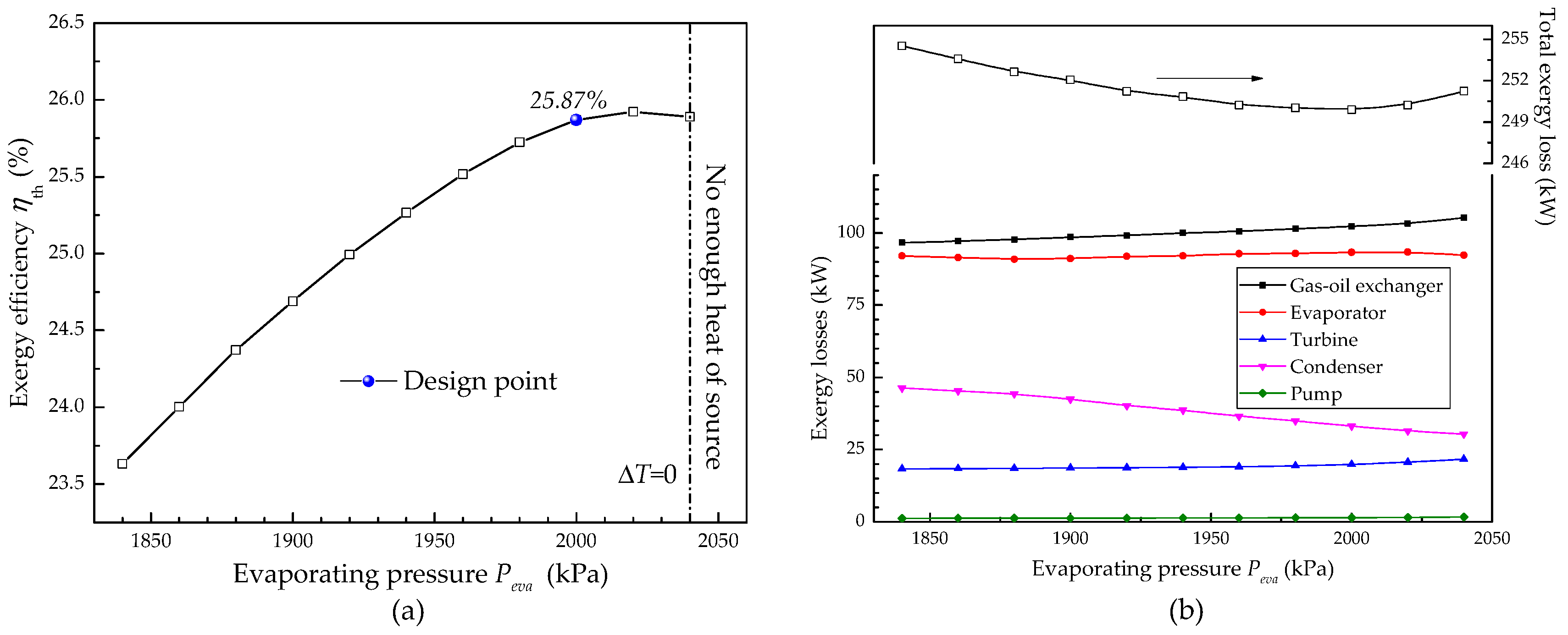
4.1. Evaporating Pressure Effect on MC/ORC System Performance
4.2. Engine Load Effect on Energy Performance of MC/ORC System
4.3. Engine Load Effect on Exergy Performance of MC/ORC System
5. Conclusions
- The degree of superheating ΔT is sensitive to the operational variables, which can be a reliable control indicator for an actual MC/ORC system for safety. In contrast, the condensing pressure was almost immune to the variation of the operational variables. This would relieve the challenge of the system controller. This conclusion is helpful for the design of control systems in engineering practice.
- For heat recovery capability, the exhaust utilization rate increases from 89.4% to 99.5% with the drop of engine load from 100% to 40%. The MC/ORC system can recover waste heat effectively even if the engine load decreases sharply, however, the maximum net power output, thermal efficiency and exergy efficiency decrease nearly linearly with the drop of engine load.
- The exergy losses in the gas-oil heat exchanger and evaporator are always the main causes of exergy destruction. Considering the contribution of components to the total exergy destruction, the proportions of the gas-oil exchanger and turbine increase while the proportions of evaporator and condenser decrease with the drop of engine load.
Acknowledgments
Author Contributions
Conflicts of Interest
Nomenclature
| CCHP | Combined cool heat and power |
| CNG | Combined cool heat and power |
| DES | Distributed energy system |
| ICE | Internal combustion engine |
| NG | Natural gas |
| MC/ORC | Medium Cycle/organic rankine cycle |
| UR | Utilization ratio |
| U | Heat transfer coefficient (Kw/m2 K) |
| A | Area (m2) |
| cp | Constant pressure specific heat (kJ/kg·K) |
| d | Diameter (m) |
| E | Exergy (W) |
| f | Friction factor |
| g | Gravity acceleration (m/s2) |
| G | Mass flux of the working fluid (kg/m2 s) |
| h | Enthalpy (KJ/kg) |
| h | Heat transfer coefficient (W/(m2·K)) |
| Ks | Stodola’s coefficient |
| L,l | Length (m) |
| ṁ | Mass flow rate (kg/s) |
| P | Pressure (kPa) |
| Pr | Prandtl number |
| Q | Heat flux (kW) |
| r | Latent heat (kJ/kg) |
| Re | Reynolds number |
| s | Specific entropy (kJ·kg−1·K−1) |
| T | Temperature (K) |
| ΔT | Superheat degree (K) |
| v | Velocity (m/s) |
| Volumetric flow rate (m3/h) | |
| W | Output work (kJ) |
| x | Steam quality |
| λ | Thermal conductivity (W/(m·K)) |
| η | Efficiency |
| ρ | Density (kg/m3) |
| μ | Dynamic viscosity |
| con | Condenser |
| cw | Cooling water |
| des | Design value |
| g | Exhaust gas |
| eva | Evaporator |
| l | Liquid |
| shell | Shell side |
| tube | Tube side |
| t | Turbine |
| i | Inside |
| in | Inlet |
| is | Isentropic |
| o | Outside |
| oil | Thermal oil |
| out | Outlet |
| pp | Pump |
| v | Vapor |
| wf | Working fluid |
References
- Li, Y.; Xia, Y. DES/CCHP: The best utilization mode of natural gas for China’s low carbon economy. Energy Policy 2013, 53, 477–483. [Google Scholar] [CrossRef]
- Song, S.; Zhang, H.; Lou, Z.; Yang, F.; Yang, K.; Wang, H.; Bei, C.; Chang, Y.; Yao, B. Performance analysis of exhaust waste heat recovery system for stationary CNG engine based on organic Rankine cycle. Appl. Therm. Eng. 2015, 76, 301–309. [Google Scholar] [CrossRef]
- Shu, G.; Yu, G.; Tian, H.; Wei, H.; Liang, X.; Huang, Z. Multi-approach evaluations of a cascade-Organic Rankine Cycle (C-ORC) system driven by diesel engine waste heat: Part A—Thermodynamic evaluations. Energy Convers. Manag. 2016, 108, 579–595. [Google Scholar] [CrossRef]
- Shu, G.; Liu, P.; Tian, H.; Wang, X.; Jing, D. Operational profile based thermal-economic analysis on an Organic Rankine cycle using for harvesting marine engine’s exhaust waste heat. Energy Convers. Manag. 2017, 146, 107–123. [Google Scholar] [CrossRef]
- Tian, H.; Shu, G.; Wei, H.; Liang, X.; Liu, L. Fluids and parameters optimization for the organic Rankine cycles (ORCs) used inexhaust heat recovery of Internal Combustion Engine (ICE). Energy 2012, 47, 125–136. [Google Scholar] [CrossRef]
- He, S.; Chang, H.; Zhang, X.; Shu, S.; Duan, C. Working fluid selection for an Organic Rankine Cycle utilizing high and low temperature energy of an LNG engine. Appl. Therm. Eng. 2015, 90, 579–589. [Google Scholar] [CrossRef]
- Vaja, I.; Gambarotta, A. Internal Combustion Engine (ICE) bottoming with Organic Rankine Cycles (ORCs). Energy 2010, 35, 1084–1093. [Google Scholar] [CrossRef]
- Teng, H.; Regner, G.; Cowland, C. Waste Heat Recovery of Heavy-Duty Diesel Engines by Organic Rankine Cycle Part II: Working Fluids for WHR-ORC. SAE Tech. Pap. 2007, 1, 1–13. [Google Scholar]
- Lecompte, S.; Huisseune, H.; Broek, M.V.D.; Schampheleire, S.D.; Paepe, M.D. Part load based thermo-economic optimization of the Organic Rankine Cycle (ORC) applied to a combined heat and power (CHP) system. Appl. Energy 2013, 111, 871–881. [Google Scholar] [CrossRef]
- Yu, G.; Shu, G.; Tian, H.; Wei, H.; Liang, X. Multi-approach evaluations of a cascade-Organic Rankine Cycle (C-ORC) system driven by diesel engine waste heat: Part B-techno-economic evaluations. Energy Convers. Manag. 2016, 108, 596–608. [Google Scholar] [CrossRef]
- Chammas, R.E.; Clodic, D. Combined Cycle for Hybrid Vehicles. SAE Tech. Pap. 2005, 1. [Google Scholar] [CrossRef]
- Ringler, J.; Seifert, M.; Guyotot, V.; Hübner, W. Rankine Cycle for Waste Heat Recovery of IC Engines. SAE Int. J. Engines 2009, 2, 67–76. [Google Scholar] [CrossRef]
- Battista, D.D.; Mauriello, M.; Cipollone, R. Waste heat recovery of an ORC-based power unit in a turbocharged diesel engine propelling a light duty vehicle. Appl. Energy 2015, 152, 109–120. [Google Scholar] [CrossRef]
- Wang, T.; Zhang, Y.; Peng, Z.; Shu, G. A review of researches on thermal exhaust heat recovery with Rankine cycle. Renew. Sustain. Energy Rev. 2011, 15, 2862–2871. [Google Scholar] [CrossRef]
- Wang, J.; Sui, J.; Jin, H. An improved operation strategy of combined cooling heating andpower system following electrical load. Energy 2015, 85, 654–666. [Google Scholar] [CrossRef]
- Sun, J.; Li, W. Operation optimization of an organic rankine cycle (ORC) heat recovery power plant. Appl. Therm. Eng. 2011, 31, 2032–2041. [Google Scholar] [CrossRef]
- Ibarra, M.; Rovira, A.; Alarcón-Padilla, D.C.; Blanco, J. Performance of a 5 kWe Organic Rankine Cycle at part-load operation. Appl. Energy 2014, 120, 147–158. [Google Scholar] [CrossRef]
- Wang, J.; Yan, Z.; Zhao, P.; Dai, Y. Off-design performance analysis of a solar-powered organic Rankine cycle. Energy Convers. Manag. 2014, 80, 150–157. [Google Scholar] [CrossRef]
- Hu, D.; Li, S.; Zheng, Y.; Wang, J.; Dai, Y. Preliminary design and off-design performance analysis of an Organic Rankine Cycle for geothermal sources. Energy Convers. Manag. 2015, 96, 175–187. [Google Scholar] [CrossRef]
- Quoilin, S.; Aumann, R.; Grill, A.; Schuster, A.; Lemort, V.; Spliethoff, H. Dynamic modeling and optimal control strategy of waste heat recovery Organic Rankine Cycles. Appl. Energy 2011, 88, 2183–2190. [Google Scholar] [CrossRef]
- Bamgbopa, M.O.; Uzgoren, E. Numerical analysis of an organic Rankine cycle under steady and variable heat input. Appl. Energy 2013, 107, 219–228. [Google Scholar] [CrossRef]
- Gewald, D.; Siokos, K.; Karellas, S.; Spliethoff, H. Waste heat recovery from a landfill gas-fired power plant. Renew. Sustain. Energy Rev. 2012, 16, 1779–1789. [Google Scholar] [CrossRef]
- Li, X. Research on Design and Performance Optimization of Diesel Engine Waste Heat Recovery Bottoming System and Key Component. Ph.D. Thesis, Tianjin University, Tianjin, China, 2014. [Google Scholar]
- Vaja, I. Definition of an Object Oriented Library for the Dynamic Simulation of Advanced Energy Systems: Methodologies, Tools and Application to Combined ICE-ORC Power Plants. Ph.D. Thesis, University of Parma, Parma, Italy, 2009. [Google Scholar]
- Karellas, S.; Schuster, A. Supercritical Fluid Parameters in Organic Rankine Cycle Applications. Int. J. Thermodyn. 2008, 11, 101–108. [Google Scholar]
- Schuster, A.; Karellas, S.; Aumann, R. Efficiency optimization potential in supercritical Organic Rankine Cycles. Energy 2010, 35, 1033–1039. [Google Scholar] [CrossRef]
- Meinel, D.; Wieland, C.; Spliethoff, H. Effect and comparison of different working fluids on a two-stage organic rankine cycle (ORC) concept. Appl. Therm. Eng. 2014, 63, 246–253. [Google Scholar] [CrossRef]
- Shu, G.; Liu, L.; Tian, H.; Wei, H.; Xu, X. Performance comparison and working fluid analysis of subcritical and transcritical dual-loop organic Rankine cycle (DORC) used in engine waste heat recovery. Energy Convers. Manag. 2013, 74, 35–43. [Google Scholar] [CrossRef]
- Drescher, U.; Brüggemann, D. Fluid selection for the Organic Rankine Cycle (ORC) in biomass power and heat plants. Appl. Therm. Eng. 2007, 27, 223–228. [Google Scholar] [CrossRef]
- Kuo, C.R.; Hsu, S.W.; Chang, K.H.; Wang, C.C. Analysis of a 50 kW organic Rankine cycle system. Energy 2011, 36, 5877–5885. [Google Scholar] [CrossRef]
- Chen, H.; Goswami, D.Y.; Stefanakos, E.K. A review of thermodynamic cycles and working fluids for the conversion of low-grade heat. Renew. Sustain. Energy Rev. 2010, 14, 3059–3067. [Google Scholar] [CrossRef]
- Dow Chemical Company. Dowtherm Q Heat Transfer Fluid. Available online: http://msdssearch.dow.com/PublishedLiteratureDOWCOM/dh_0030/0901b803800303db.pdf (accessed on 7 February 2013).
- Petukhov, B.S. Advances in Heat Transfer; Irvine, T.F., Hartnett, J.P., Eds.; Academic Press: New York, NY, USA, 1970; Volume 6. [Google Scholar]
- Liu, Z.; Winterton, R.H.S. A general correlation for saturated and subcooled flow boiling in tubes and annuli, based on a nucleate pool boiling equation. Intern. J. Heat Mass Transf. 1991, 34, 2759–2766. [Google Scholar] [CrossRef]
- Serth, R.W. Process Heat Transfer Principles and Applications; Elsevier Science & Technology Book; Academic Press: New York, NY, USA, 2007. [Google Scholar]
- Walraven, D.; Laenen, B.; D’Haeseleer, W. Optimum configuration of shell-and-tube heat exchangers for the use in low-temperature organic Rankine cycles. Energy Convers. Manag. 2014, 83, 177–187. [Google Scholar] [CrossRef]
- Manente, G.; Toffolo, A.; Lazzaretto, A.; Paci, M. An Organic Rankine Cycle off-design model for the search of the optimal control strategy. Energy 2013, 58, 97–106. [Google Scholar] [CrossRef]
- Mondejar, M.E.; Ahlgren, F.; Thern, M.; Genrup, M. Quasi-steady state simulation of an organic Rankine cycle for waste heat recovery in a passenger vessel. Appl. Energy 2016, 185, 1324–1335. [Google Scholar] [CrossRef]
- Capra, F.; Martelli, E. Numerical optimization of combined heat and power Organic Rankine Cycles—Part B: Simultaneous design & part-load optimization. Energy 2015, 90, 329–343. [Google Scholar]
- Mazzi, N.; Rech, S.; Lazzaretto, A. Off-design dynamic model of a real Organic Rankine Cycle system fuelled by exhaust gases from industrial processes. Energy 2015, 90, 537–551. [Google Scholar] [CrossRef]
- Pan, L.; Wang, H. Improved analysis of Organic Rankine Cycle based on radial flow turbine. Appl. Therm. Eng. 2013, 61, 606–615. [Google Scholar] [CrossRef]

















| Item | Parameter | Unit |
|---|---|---|
| Model | 8300ZLD-1 | - |
| Ignition method | Spark plug ignition | - |
| Cylinder number | 8 | - |
| Displacement | 215 | L |
| Bore × stroke | 300 × 380 | mm |
| Rated speed | 600 | rpm |
| Rated power | 1000 | kW |
| Max. power | 1100 | kW |
| Parameter | Value | ||||||
|---|---|---|---|---|---|---|---|
| Speed/(r/min) | 600 | 600 | 600 | 600 | 600 | 600 | 600 |
| Engine load | 40% | 50% | 60% | 70% | 80% | 90% | 100% |
| Effective power/(kW) | 400 | 500 | 600 | 700 | 800 | 900 | 1000 |
| Heat consumption rate of gas/(MJ/kWh) | 13.09 | 11.76 | 11.08 | 10.59 | 10.20 | 10.26 | 9.85 |
| Exhaust temperature/(K) | 751.15 | 768.15 | 782.15 | 793.15 | 803.15 | 809.15 | 813.15 |
| Intake air volume flow rate/(m3/h) | 1774 | 2145 | 2465 | 2748 | 3120 | 3510 | 4180 |
| Exhaust volume flow rate/(m3/h) | 1911 | 2310 | 2654 | 2959 | 3380 | 3800 | 4500 |
| Exhaust mass flow rate/(kg/s) | 0.7272 | 0.8020 | 0.9752 | 1.1112 | 1.1736 | 1.3194 | 1.5625 |
| Engine thermal efficiency/(%) | 27.5 | 30.6 | 32.3 | 34.0 | 35.3 | 35.0 | 36.5 |
| Items | Unit | Value |
|---|---|---|
| Environment temperature | K | 298.15 |
| Environment pressure | kPa | 101.3 |
| Hot source | ||
| Temperature of exhaust gas from CNG engine | K | 813.15 |
| Mass flow rate of exhaust gas | kg/s | 1.5625 |
| Acid dew point of exhaust gas | K | 373.15 |
| Thermal oil circuit | ||
| Working fluid type [32] | - | Dowtherm Q |
| Thermal oil temperature of evaporator inlet | K | 523.15 |
| Mass flow rate of thermal oil | kg/s | 2.3 |
| ORC circuit | ||
| Working fluid type | - | R245fa |
| Evaporating pressure | kPa | 2000 |
| Condensation temperature | °C | 35 |
| Mass flow rate of working fluid | kg/s | 2.6 |
| Superheated degree of evaporator | K | 10 |
| Expander isentropic efficiency | - | 0.8 |
| Pump isentropic efficiency | - | 0.7 |
| Pinch point temperature difference of evaporator | K | 30 |
| Pinch point temperature difference of condenser | K | 10 |
| Cold sink | ||
| Mass flow rate of cooling water | kg/s | 23.0 |
| Cooling water temperature of condenser inlet | °C | 25 |
| Exchanger Data | Unit | Gas-Oil Exchanger | Evaporator | Condenser |
|---|---|---|---|---|
| Types | - | BEM | BEM | BEM |
| Tube inside fluid | - | Thermal-oil | R245fa | Water |
| Tube outside fluid | - | Exhaust gas | Thermal-oil | R245fa |
| Baffle type | - | Single segmental | Single segmental | Single segmental |
| Tube pattern | ° | 60 | 60 | 60 |
| Tube-side passes | Nt | 2 | 2 | 2 |
| Shell-side passes | Ns | 1 | 1 | 1 |
| Tube outside diameter | do/mm | 12 | 14 | 16 |
| Tube thickness | th/mm | 2 | 2 | 1 |
| Pitch between tubes | st/mm | 30 | 20 | 20 |
| Number of tube | nt | 800 | 240 | 120 |
| Tube length | mm | 1230 | 1180 | 1870 |
| Shell diameter | Dshell/mm | 921 | 342 | 245 |
| Baffle space | mm | 460 | 171 | 122 |
| Baffle cut | mm | 230 | 85 | 61 |
| Parameter | Pump | Turbine | |
|---|---|---|---|
| Fluid | R245fa | R245fa | |
| Design mass flow rate ṁdes/kg/s | - | 2.6 | |
| Design volume flow rate /m3/h | 7.16 | - | |
| Stodola’s coefficient Ks | - | 0.0056 | |
| Design isentropic efficiency | 0.7 | 0.8 | |
| Coefficients | a = −0.439 | a1 = −1.519 | a2 = 0.001 |
| b = 0.466 | b1 = 0.027 | b2 = −0.776 | |
| c = 0.453 | c1 = 2.123 | c2 = 1.574 | |
| d = 0.519 | d1 = 0.219 | d2 = 0.203 | |
© 2018 by the authors. Licensee MDPI, Basel, Switzerland. This article is an open access article distributed under the terms and conditions of the Creative Commons Attribution (CC BY) license (http://creativecommons.org/licenses/by/4.0/).
Share and Cite
Liu, P.; Shu, G.; Tian, H.; Wang, X. Engine Load Effects on the Energy and Exergy Performance of a Medium Cycle/Organic Rankine Cycle for Exhaust Waste Heat Recovery. Entropy 2018, 20, 137. https://doi.org/10.3390/e20020137
Liu P, Shu G, Tian H, Wang X. Engine Load Effects on the Energy and Exergy Performance of a Medium Cycle/Organic Rankine Cycle for Exhaust Waste Heat Recovery. Entropy. 2018; 20(2):137. https://doi.org/10.3390/e20020137
Chicago/Turabian StyleLiu, Peng, Gequn Shu, Hua Tian, and Xuan Wang. 2018. "Engine Load Effects on the Energy and Exergy Performance of a Medium Cycle/Organic Rankine Cycle for Exhaust Waste Heat Recovery" Entropy 20, no. 2: 137. https://doi.org/10.3390/e20020137
APA StyleLiu, P., Shu, G., Tian, H., & Wang, X. (2018). Engine Load Effects on the Energy and Exergy Performance of a Medium Cycle/Organic Rankine Cycle for Exhaust Waste Heat Recovery. Entropy, 20(2), 137. https://doi.org/10.3390/e20020137
