Graph Energies of Egocentric Networks and Their Correlation with Vertex Centrality Measures
Abstract
1. Introduction
- Erdös–Rényi random network model: a simple random network generator producing networks with binomial degree distribution,
- Watts–Strogatz small network model: a network generator producing networks with uniform degree distribution and very high local clustering coefficients,
- Holme–Kim preferential attachment model: a network generator producing networks with power law degree distributions and high local clustering coefficients,
- Waxman geometric random network model: an example of a geometric model producing random networks with grid-like structure.
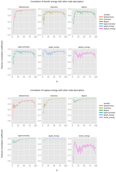
- Graph energy and Laplacian energy correlate very strongly with several vertex features, in particular, these energies seem to agree with vertex degree, betweenness, and eigencentrality.
- Vertex closeness is notoriously difficult to estimate based on matrix energies.
- In all of the examined generative network models and for all considered matrix energies, there seems to be no consistent correlation of any graph energy with the local clustering coefficient.
- The entropy of all matrix energies is similar for a given network model, with Randić energy being the most unstable across the spectrum of possible values of the model’s parameter.
- High correlation of Graph energy and Laplacian energy with eigencentrality and betweenness suggests, that it is possible to devise methods for estimating the values of eigencentrality and betweenness based on local vertex energy instead of a costly global computation over the entire network.
Related Work
2. Basic Definitions
2.1. Centrality Measures
2.1.1. Degree
2.1.2. Betweenness
2.1.3. Closeness
2.1.4. Local Clustering Coefficient
2.1.5. Eigencentrality
2.2. Matrix Energies
2.2.1. Graph Energy
2.2.2. Randić Energy
2.2.3. Laplacian Energy
3. Network Models
3.1. Erdős–Rényi Random Network Model
3.2. Watts–Strogatz Small World Network Model
3.3. Holme–Kim Preferential Attachment Network Model
3.4. Waxman Geometric Random Network Model
4. Experiments
- Erdős–Rényi random network model: the probability of creating an edge between a random pair of vertices changes uniformly from to , the network changes gradually from a set of isolated vertices to a fully connected network.
- Watts–Strogatz small world network model: the probability of randomly rewiring an edge changes uniformly from to , the network changes gradually from a strictly ordered structure, where each vertex links to its nearest neighbors with no long-distance bridges, to a fully random network.
- Waxman geometric random network model: we change uniformly in the range while stays constant at .
- Holme–Kim powerlaw network model: the probability of closing a triangle after adding a random edge changes uniformly from to , the resulting network is a scale-free network with power law degree distribution, subsequent instances of the network exhibit gradually increasing values of the average local clustering coefficient.
- degree
- betweenness
- closeness
- eigencentrality
- Graph energy of the ego-network of the vertex
- Randić energy of the ego-network of the vertex
- Laplacian energy of the ego-network of the vertex
4.1. Erdös–Rényi Random Network Model
- Graph energy correlates strongly with closeness and eigencentrality, even for relatively low probability of random edge creation (), in these networks there is enough connectivity between vertices to produce large connected components, but the networks are far from being fully connected.
- Randić energy correlates well with betweenness, one can investigate the possibility of estimating the betweenness of a node based on its Randić energy for a wide spectrum of random networks.
- Laplacian energy correlates almost perfectly with degree, eigencentrality and closeness. Since both eigencentrality and closeness are expensive to compute, one can estimate these values based on the Laplacian energy of a vertex.
4.2. Watts–Strogatz Small World Network Model
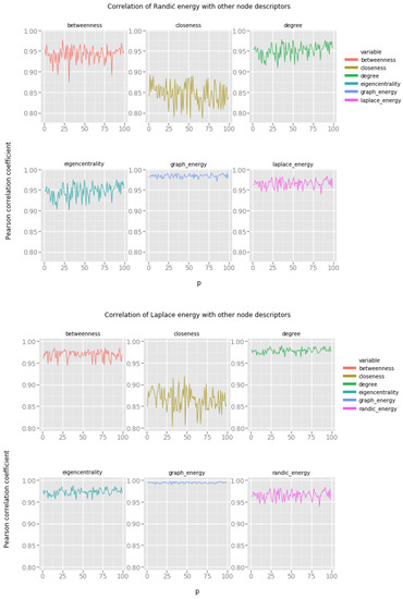
- Graph energy correlates only with Laplacian energy, there is some weak correlation with degree and eigencentrality, but most probably this correlation is too weak to provide accurate estimates.
- Randić energy cannot be reasonably used to provide any estimates regarding the features of vertices in small world networks.
- Laplacian energy correlates to some extent with degree and eigencentrality, providing means for estimation, but this can be achieved only when the probability p of random edge rewiring is sufficiently high.
4.3. Waxman Geometric Random Network Model
- Graph energy correlates with degree and eigencentrality for small values of the p parameter.
- Randić energy again does not seem to be very useful for estimating the values of other vertex features.
- Laplacian energy correlates very strongly with degree, and somehow strongly with eigencentrality. Most of these energies are quite stable across the spectrum of possible values of the p parameter.
4.4. Holme–Kim Preferential Attachment Model
- Graph energy correlates with betweenness, degree and eigencentrality to the extent which allows us to suspect, that it is possible to estimate these descriptors based on the graph energy of the vertex.
- Randić energy correlates well with other types of vertex energies, but the correlations with degree, eigencentrality and betweenness are significant and can be useful.
- Laplacian energy exhibits very strong correlation with degree, betweenness and eigencentrality.
4.5. Stability of Graph Energies across Possible Network Spectrum
- Erdős–Rényi random network model: entropies of all energies quickly increase and stay at the maximum level during the densification of the graph, and only when the edge probability creation reaches 1 (leading to a single clique), the entropies drop to zero (as expected, because all vertices are now exactly the same and indistinguishable). Even in very dense random networks (for large values of the p parameter) graph entropies are scattered across vertices with high variability.
- Watts–Strogatz small world network model: Interestingly, the addition of random rewired edges affects the entropies only at the beginning, but after reaching a certain threshold, the entropy begins to diminish. Initially, the entropies of graph energies are very low because the network is regular and all vertices are indistinguishable. Increase of energy entropies indicates the diversification of energy distribution among vertices. Interestingly, as the network becomes more "random" (i.e., more edges have been randomly rewired), the entropy of Randić energy begins to steadily diminish (all vertices diverge to a common Randić energy). This is probably caused by the fact, that initially all vertices form identical egocentric networks (with only minuscule variations), and as more and more edges becomes randomly rewired, these egocentric networks again become more unified. This is our conjecture which will require further examination.
- Waxman geometric random network model: graph energy and Laplace energy entropies behave similarly to the small world network model of Watts and Strogatz, but the entropy of Randić energy steadily grows as the value of the p parameter increases. This is really intriguing because, in theory, large values of the p parameter should produce networks more similar to the small-world model, with the majority of edges formed between neighboring vertices. Increasing entropy suggests that Randić energy becomes more dispersed among vertices. Without further investigation we cannot provide an informed explanation of this phenomenon.
- Holme–Kim powerlaw network model: entropies of all energies are constant across possible topologies of the model, with some random fluctuations. This is very much what we expect: changing the probability of triad closure (the increase of the p parameter) does not change the shape of the distribution of vertex degrees in a significant way, this distribution is still best described using the powerlaw formula, irrespective of the triad closure probability.
5. Conclusions
Author Contributions
Funding
Conflicts of Interest
References
- Biggs, N.; Biggs, N.L.; Biggs, E.N. Algebraic Graph Theory; Cambridge University Press: Cambridge, UK, 1993; Volume 67. [Google Scholar]
- Cvetković, D.M.; Doob, M.; Sachs, H. Spectra of Graphs: Theory and Application; Academic Press: Cambridge, MA, USA, 1980; Volume 87. [Google Scholar]
- Kier, L. Molecular Connectivity in Chemistry and Drug Research; Elsevier: Amsterdam, The Netherlands, 2012; Volume 14. [Google Scholar]
- Barabási, A.L.; Albert, R. Emergence of scaling in random networks. Science 1999, 286, 509–512. [Google Scholar] [PubMed]
- Li, X.; Shi, Y.; Gutman, I. Graph Energy; Springer: New York, NY, USA, 2012. [Google Scholar]
- Bernstein, D.S. Matrix Mathematics: Theory, Facts, and Formulas with Application to Linear Systems Theory; Princeton University Press: Princeton, NJ, USA, 2005; Volume 41. [Google Scholar]
- Van Mieghem, P. Graph Spectra for Complex Networks; Cambridge University Press: Cambridge, UK, 2010. [Google Scholar]
- Cvetkovic, D.; Simic, S.; Rowlinson, P. An Introduction to the Theory of Graph Spectra; Cambridge University Press: Cambridge, UK, 2009. [Google Scholar]
- Godsil, C.; Royle, G. Algebraic Graph Theory; Springer: New York, NY, USA, 2001. [Google Scholar]
- Gutman, I. The energy of a graph: Old and new results. In Algebraic Combinatorics and Applications; Springer: Berlin, Germany, 2001; pp. 196–211. [Google Scholar]
- Nikiforov, V. The energy of graphs and matrices. J. Math. Anal. Appl. 2007, 326, 1472–1475. [Google Scholar] [CrossRef]
- Consonni, V.; Todeschini, R. New Spectral Indices for Molecule Description. MATCH Commun. Math. Comput. Chem. 2008, 60, 3–14. [Google Scholar]
- Nikiforov, V. Beyond graph energy: Norms of graphs and matrices. Linear Algebra Its Appl. 2016, 506, 82–138. [Google Scholar] [CrossRef]
- Randić, M. On Characterization of Molecular Branching. J. Am. Chem. Soc. 1975, 97, 6609–6615. [Google Scholar] [CrossRef]
- Gutman, I.; Zhou, B. Laplacian energy of a graph. Linear Algebra Its Appl. 2006, 414, 29–37. [Google Scholar] [CrossRef]
- Merris, R. A Survey of Graph Laplacians. Linear Multilinear Algebra 1995, 39, 19–31. [Google Scholar] [CrossRef]
- Gutman, I.; Kiani, D.; Mirzakhah, M.; Zhou, B. On incidence energy of a graph. Linear Algebra Its Appl. 2009, 431, 1223–1233. [Google Scholar] [CrossRef]
- Cash, G.G. Heats of Formation of Polyhex Polycyclic Aromatic Hydrocarbons from Their Adjacency Matrixes. J. Chem. Inf. Comput. Sci. 1995, 35, 815–818. [Google Scholar] [CrossRef]
- Indulal, G.; Gutman, I.; Vijayakumar, A. On Distance Energy of Graphs. MATCH Commun. Math. Comput. Chem. 2008, 60, 461–472. [Google Scholar]
- Lovász, L.; Pelikán, J. On the eigenvalues of trees. Periodica Math. Hung. 1973, 3, 175–182. [Google Scholar] [CrossRef]
- Balaban, A.T.; Ciubotariu, D.; Medeleanu, M. Topological indices and real number vertex invariants based on graph eigenvalues or eigenvectors. J. Chem. Inf. Comput. Sci. 1991, 31, 517–523. [Google Scholar] [CrossRef]
- Mohar, B.; Babic, D.; Trinajstic, N. A novel definition of the Wiener index for trees. J. Chem. Inf. Comput. Sci. 1993, 33, 153–154. [Google Scholar] [CrossRef]
- Estrada, E.; Rodriguez-Velazquez, J.A. Subgraph centrality in complex networks. Phys. Rev. E 2005, 71, 056103. [Google Scholar] [CrossRef] [PubMed]
- Estrada, E.; Hatano, N. Statistical-mechanical approach to subgraph centrality in complex networks. Chem. Phys. Lett. 2007, 439, 247–251. [Google Scholar] [CrossRef]
- Chung, F.R.; Graham, F.C. Spectral Graph Theory; American Mathematical Society: Providence, RI, USA, 1997; Volume 92. [Google Scholar]
- Spielman, D.A. Spectral graph theory and its applications. In Proceedings of the 48th Annual IEEE Symposium on Foundations of Computer Science (FOCS’07), Providence, RI, USA, 21–23 October 2007; pp. 29–38. [Google Scholar]
- Candès, E.J.; Tao, T. The power of convex relaxation: Near-optimal matrix completion. IEEE Trans. Inf. Theory 2010, 56, 2053–2080. [Google Scholar] [CrossRef]
- Candès, E.J.; Recht, B. Exact matrix completion via convex optimization. Found. Comput. Math. 2009, 9, 717. [Google Scholar] [CrossRef]
- Hall, K.M. An r-dimensional quadratic placement algorithm. Manag. Sci. 1970, 17, 219–229. [Google Scholar] [CrossRef]
- Fiedler, M. Algebraic connectivity of graphs. Czechoslov. Math. J. 1973, 23, 298–305. [Google Scholar]
- Donath, W.; Hoffman, A. Algorithms for Partitioning of Graphs and Computer Logic Based on Eigenvectors of Connections Matrices; IBM Technical Disclosure Bulletin: New York, NY, USA, 1972; Volume 15. [Google Scholar]
- Lovász, L. Random walks on graphs: A survey. Comb. Paul Erdos Is Eighty 1993, 2, 1–46. [Google Scholar]
- Wilf, H.S. The eigenvalues of a graph and its chromatic number. J. Lond. Math. Soc. 1967, 1, 330–332. [Google Scholar] [CrossRef]
- Trevisan, L. Max cut and the smallest eigenvalue. SIAM J. Comput. 2012, 41, 1769–1786. [Google Scholar] [CrossRef]
- Sinha, K. Structural Complexity and Its Implications for Design of Cyber-Physical Systems. Ph.D. Thesis, Massachusetts Institute of Technology, Cambridge, MA, USA, 2014. [Google Scholar]
- Li, X.; Shi, Y. A survey on the Randic index. MATCH Commun. Math. Comput. Chem. 2008, 59, 127–156. [Google Scholar]
- Liu, H.; Lu, M.; Tian, F. On the Randić index. J. Math. Chem. 2008, 44, 301–310. [Google Scholar] [CrossRef]
- Gutman, I.; Furtula, B.; Bozkurt, B. On Randić energy. Linear Algebra Its Appl. 2014, 442, 50–57. [Google Scholar] [CrossRef]
- Bozkurt, Ş.B.; Bozkurt, D. Randić energy and Randić Estrada index of a graph. Eur. J. Pure Appl. Math. 2012, 5, 88–99. [Google Scholar]
- Clark, L.H.; Moon, J.W. On the general Randic index for certain families of trees. Ars Comb. 2000, 54, 223–235. [Google Scholar]
- Zhou, B. On sum of powers of the Laplacian eigenvalues of graphs. Linear Algebra Its Appl. 2008, 429, 2239–2246. [Google Scholar] [CrossRef]
- Stevanovic, D.; Stankovic, I.; Milosevic, M. More on the relation between energy and Laplacian energy of graphs. MATCH Commun. Math. Comput. Chem. 2009, 61, 395. [Google Scholar]
- Aleksic, T. Upper bounds for Laplacian energy of graphs. MATCH Commun. Math. Comput. Chem. 2008, 60, 435–439. [Google Scholar]
- Li, R. Some lower bounds for Laplacian energy of graphs. Int. J. Contemp. Math. Sci. 2009, 4, 219–233. [Google Scholar]
- Newman, M. Networks; Oxford University Press: Oxford, UK, 2018. [Google Scholar]
- Wasserman, S.; Faust, K. Social Network Analysis: Methods and Applications; Cambridge University Press: Cambridge, UK, 1994; Volume 8. [Google Scholar]
- Katz, L. A new status index derived from sociometric analysis. Psychometrika 1953, 18, 39–43. [Google Scholar] [CrossRef]
- Bonacich, P. Power and centrality: A family of measures. Am. J. Sociol. 1987, 92, 1170–1182. [Google Scholar] [CrossRef]
- Hage, P.; Harary, F. Eccentricity and centrality in networks. Soc. Netw. 1995, 17, 57–63. [Google Scholar] [CrossRef]
- Clauset, A.; Shalizi, C.R.; Newman, M.E. Power-law distributions in empirical data. SIAM Rev. 2009, 51, 661–703. [Google Scholar] [CrossRef]
- Fagiolo, G. Clustering in complex directed networks. Phys. Rev. E 2007, 76, 026107. [Google Scholar] [CrossRef] [PubMed]
- Erdős, P.; Rényi, A. On the evolution of random graphs. Publ. Math. Inst. Hung. Acad. Sci. 1960, 5, 17–61. [Google Scholar]
- Watts, D.J.; Strogatz, S.H. Collective dynamics of ‘small-world’ networks. Nature 1998, 393, 440–442. [Google Scholar] [CrossRef] [PubMed]
- Price, D.D.S. A general theory of bibliometric and other cumulative advantage processes. J. Assoc. Inf. Sci. Technol. 1976, 27, 292–306. [Google Scholar] [CrossRef]
- Holme, P.; Kim, B.J. Growing scale-free networks with tunable clustering. Phys. Rev. E 2002, 65, 026107. [Google Scholar] [CrossRef]
- Waxman, B.M. Routing of multipoint connections. IEEE J. Sel. Areas Commun. 1988, 6, 1617–1622. [Google Scholar] [CrossRef]










© 2018 by the authors. Licensee MDPI, Basel, Switzerland. This article is an open access article distributed under the terms and conditions of the Creative Commons Attribution (CC BY) license (http://creativecommons.org/licenses/by/4.0/).
Share and Cite
Morzy, M.; Kajdanowicz, T. Graph Energies of Egocentric Networks and Their Correlation with Vertex Centrality Measures. Entropy 2018, 20, 916. https://doi.org/10.3390/e20120916
Morzy M, Kajdanowicz T. Graph Energies of Egocentric Networks and Their Correlation with Vertex Centrality Measures. Entropy. 2018; 20(12):916. https://doi.org/10.3390/e20120916
Chicago/Turabian StyleMorzy, Mikołaj, and Tomasz Kajdanowicz. 2018. "Graph Energies of Egocentric Networks and Their Correlation with Vertex Centrality Measures" Entropy 20, no. 12: 916. https://doi.org/10.3390/e20120916
APA StyleMorzy, M., & Kajdanowicz, T. (2018). Graph Energies of Egocentric Networks and Their Correlation with Vertex Centrality Measures. Entropy, 20(12), 916. https://doi.org/10.3390/e20120916

