Optimal Design of Nanoparticle Enhanced Phan-Thien–Tanner Flow of a Viscoelastic Fluid in a Microchannel
Abstract
:1. Introduction
2. Materials and Methods
3. Results
4. Discussion
5. Conclusions
- Total entropy generation rate increases with the increase of temperature.
- Metal nanoparticles have substantially higher conductivity than liquids, thus suspending particles can build the conductivity of the base liquids and utilization of nanofluids increment the performance of miniaturized scale channel sinks.
- The entropy generation rate of fluid friction decreased productively by the improvement of volume fraction of the nanoparticles.
- The optimal diameter for the ordinary conditions is 1 mm.
- The contribution of thermal entropy generation decrease with volume fraction.
- The sturdiest change in the total entropy generation by increasing the channel diameter can take place for water-TiO2 because it has the highest Cp.
- In millichannels the main part of generated entropy is attributable to heat transfer.
- In millichannels the maximum irreversibility occurs in PIB-Decalin-Ag, PIB-Decalin-Cu, PIB-Decalin-CuO, and PIB-Decalin-TiO2.
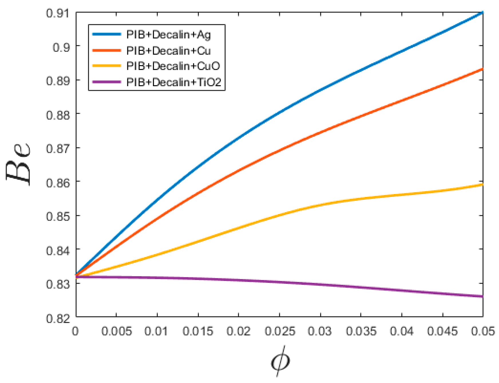
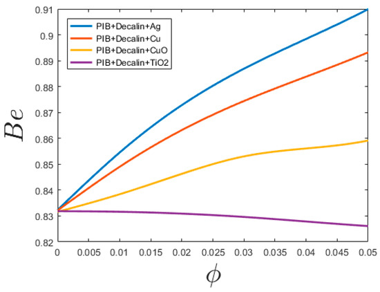
- In microchannels the main part of generated entropy is attributable to fluid flow.
- In microchannels the minimum irreversibility occurs in PIB-Decalin-Ag, PIB-Decalin-Cu, PIB-Decalin-CuO, and PIB-Decalin-TiO2.
Conflicts of Interest
References
- Nasiri, H.; Abdollahzadeh Jamalabadi, M.Y.; Sadeghi, R.; Safaei, M.R.; Nguyen, T.K.; Shadloo, M.S. A smoothed particle hydrodynamics approach for numerical simulation of nanofluid flows: Application to forced convection heat transfer over a horizontal cylinder. J Therm. Anal. Calorim. 2018, 1–9. [Google Scholar] [CrossRef]
- Abdollahzadeh Jamalabadi, M.Y.; Ghassemi, M.; Hamedi, M.H. Numerical investigation of thermal radiation effects on open cavity with discrete heat sources. Int. J. Numer. Methods Heat Fluid Flow 2013, 23, 649–661. [Google Scholar] [CrossRef]
- Abdollahzadeh Jamalabadi, M.Y. Joule heating in low-voltage electroosmotic with electrolyte containing nano-bubble mixtures through microchannel rectangular orifice. Chem. Eng. Res. Des. 2015, 102, 407–415. [Google Scholar] [CrossRef]
- McInerney, S.; Carr, E.J.; Simpson, M.J. Parameterising continuum models of heat transfer in heterogeneous living skin using experimental data. Int. J. Heat Mass Transf. 2019, 128, 964–975. [Google Scholar] [CrossRef]
- Abdollahzadeh Jamalabadi, M.Y.; Park, J.H. Effects of Brownian motion on freezing of pcm containing nanoparticles. Therm. Sci 2016, 20, 1533–1541. [Google Scholar] [CrossRef]
- Mahmud, S.; Fraser, R.A. Flow, thermal, and entropy generation characteristics inside a porous channel with viscous dissipation. Int. J. Therm. Sci. 2005, 44, 21–32. [Google Scholar] [CrossRef]
- Sajid, M.U.; Ali, H.M. Thermal conductivity of hybrid nanofluids: A critical review. Int. J. Heat Mass Transf. 2018, 126, 211–234. [Google Scholar] [CrossRef]
- Abdollahzadeh Jamalabadi, M.Y.; Bidokhti, A.A.A.; Rah, H.K.; Vaezi, S.; Hooshmand, P. Numerical Investigation of Oxygenated and Deoxygenated Blood Flow through a Tapered Stenosed Arteries in Magnetic Field. PLoS ONE 2016, 11, e0167393. [Google Scholar] [CrossRef] [PubMed]
- Abdollahzadeh Jamalabadi, M.Y.; Dousti, S. Feasibility study of magnetic effects on silver nanoparticles for drug and gene delivery in Cyprinus carpio. J. Chem. Pharm. Res. 2015, 7, 206–218. [Google Scholar]
- Hooshmand, P.; Abdollahzadeh Jamalabadi, M.Y.; Balotaki, H.K. MHD effects on magnetic silver nanoparticles oxidative stress and apoptosis in Cyprinus carpio. Int. J. Pharm. Res. Allied Sci. 2016, 5, 293–304. [Google Scholar]
- Abdollahzadeh Jamalabadi, M.Y.; Keikha, A. Numerical investigation of Magneto hydrodynamics effects on natural silver nanoparticles from Sargassum angustifolium used for transporting a pharmaceutical compound in Cyprinus carpio. Entomol. Appl. Sci. Lett. 2016, 3, 52–64. [Google Scholar]
- Keikha, A.; Abdollahzadeh Jamalabadi, M.Y. Optimal design of magnetic field for reaction control in drug delivery applications. J. Chem. Pharm. Res. 2016, 8, 420–438. [Google Scholar]
- Bita, S.; Keikha, A.; Abdollahzadeh Jamalabadi, M.Y. Toxicity study of silver nanoparticles synthesized using aqueous and alcoholic extract of seaweed Sargassum angustifolium in Barbus sharpeyi. J. Chem. Pharm. Res. 2016, 8, 707–712. [Google Scholar]
- Ovisi, M.; Abdollahzadeh Jamalabadi, M.Y. Numerical study of slip effects on PTT fluids duct flow. Entom. Appl. Sci. Lett. 2016, 3, 148–168. [Google Scholar]
- Januszewski, R.; Różycki, R.; Waligóra, G. Improving energy efficiency of supercomputer systems through software-aided liquid cooling management. Found. Comput. Decis. Sci. 2018, 43, 89–103. [Google Scholar] [CrossRef]
- Bhattad, A.; Sarkar, J.; Ghosh, P. Improving the performance of refrigeration systems by using nanofluids: A comprehensive review. Renew. Sustain. Energy Rev. 2018, 82, 3656–3669. [Google Scholar] [CrossRef]
- Cengel, Y.A.; Boles, M.A. Thermodynamics: An Engineering Approach, 6th ed.; McGraw-Hill Book Company: New York, NY, USA, 2008. [Google Scholar]
- Bejan, A. Entropy Generation Minimization: The Method of Thermodynamic Optimization of Finite-Size Systems and Finite-Time Processes; CRC Press: Boca Raton, FL, USA, 1995. [Google Scholar]
- Torabi, M.; Zhang, Z.; Peterson, G.P. Interface entropy generation in micro porous channels with velocity slip and temperature jump. Appl. Therm. Eng. 2017, 111, 684–693. [Google Scholar] [CrossRef]
- Nouri, D.; Pasandideh-Fard, M.; Oboodi, M.J.; Mahian, O.; Sahin, A.Z. Entropy generation analysis of nanofluid flow over a spherical heat source inside a channel with sudden expansion and contraction. Int. J. Heat Mass Transf. 2018, 116, 1036–1043. [Google Scholar] [CrossRef]
- Ko, T.H. Thermodynamic analysis of optimal mass flow rate for fully developed laminar forced convection in a helical coiled tube based on minimal entropy generation principle. Energy Convers. Manage. 2006, 47, 3094–3104. [Google Scholar] [CrossRef]
- Ko, T.H.; Cheng, C.S. Numerical investigation on developing laminar forced convection and entropy generation in a wavy channel. Int. Commun. Heat Mass Transf. 2007, 34, 924–933. [Google Scholar] [CrossRef]
- Tshehla, M.S.; Makinde, O.D. Analysis of entropy generation in a variable viscosity fluidflow between two concentric pipes with a convective cooling at the surface. Int. J. Phys. Sci. 2011, 6, 6053–6060. [Google Scholar]
- Bianco, V.; Nardini, S.; Manca, O. Enhancement of heat transfer and entropy generation analysis of nanofluids turbulent convectionflow in square section tubes. Nanoscale Res. Lett. 2011, 6, 252. [Google Scholar] [CrossRef] [PubMed]
- Mahian, O.; Mahmud, S.; Heris, S.Z. Analysis of entropy generation between co-rotating cylinders using nanofluids. Energy 2012, 44, 438–446. [Google Scholar] [CrossRef]
- Mahian, O.; Mahmud, S.; Heris, S.Z. Effect of uncertainties in physical properties on entropy generation between two rotating cylinders with nanofluids. J. Heat Transf. 2012, 134, 101–109. [Google Scholar] [CrossRef]
- Leong, K.Y.; Saidur, R.; Mahlia, T.M.I.; Yau, Y.H. Entropy generation analysis of nanofluidflow in a circular tube subjected to constant wall temperature. Int. Commun. Heat Mass Transf. 2012, 39, 1169–1175. [Google Scholar] [CrossRef]
- Mahian, O.; Mahmud, S.; Wongwises, S. Entropy generation between two rotating cylinders in the presence of magnetohydrodynamic flow using nanofluids. J. Thermophys. Heat Transf. 2013, 27, 161–169. [Google Scholar] [CrossRef]
- Bianco, V.; Manca, O.; Nardini, S. Entropy generation analysis of turbulent convection flow of Al2O3–water nanofluid in a circular tube subjected to constant wall heat flux. Energy Convers. Manage. 2014, 77, 306–314. [Google Scholar] [CrossRef]
- Singh, P.K.; Anoop, K.B.; Sundararajan, T.; Das, S.K. Entropy generation due to flow and heat transfer in nanofluids. Int. J. Heat Mass Transf. 2010, 53, 4757–4767. [Google Scholar] [CrossRef]
- Li, J.; Kleinstreuer, C. Entropy generation analysis for nanofluid flow in microchannels. J. Heat Transf. 2010, 132, 401–408. [Google Scholar] [CrossRef]
- Mah, W.H.; Hung, Y.M.; Guo, N. Entropy generation of viscous dissipative nanofluid flow in microchannels. Int. J. Heat Mass Transf. 2012, 55, 4169–4182. [Google Scholar] [CrossRef]
- Elazhary, A.M.; Soliman, H.M. Entropy generation during fully-developed forced convection in parallel-plate microchannels at high zeta-potentials. Int. J. Heat Mass Transf. 2014, 70, 152–161. [Google Scholar] [CrossRef]
- Zhai, Y.L.; Xia, G.D.; Liu, X.F.; Li, Y.F. Heat transfer in the microchannels with fan-shaped reentrant cavities and different ribs based on field synergy principle and entropy generation analysis. Int. J. Heat Mass Transf. 2014, 68, 224–233. [Google Scholar] [CrossRef]
- Kandlikar, S.G.; Grande, W.J. Evolution of microchannel flow passages thermohydraulic performance and fabrication technology. Heat Transf. Eng. 2003, 24, 3–17. [Google Scholar] [CrossRef]
- Maxwell, J.C. A Treatise on Electricity and Magnetism, 2nd ed.; Oxford University Press: Cambridge, UK, 1904. [Google Scholar]
- Kumar, S.; Kumar, A.; Kothiyal, A.D.; Bisht, M.S. A review of flow and heat transfer behaviour of nanofluids in microchannel heat sinks. Therm. Sci. Eng. Prog. 2018, 8, 477–493. [Google Scholar] [CrossRef]
- Pourmehran, O.; Rahimi-Gorji, M.; Hatami, M.; Sahebi, S.A.R.; Domairry, G. Numerical optimization of microchannel heat sink (MCHS) performance cooled by KKL based nanofluids in saturated porous medium. J. Taiwan Inst. Chem. Eng. 2015, 55, 49–68. [Google Scholar] [CrossRef]
- Hatami, M.; Ganji, D.D. Thermal and flow analysis of microchannel heat sink (MCHS) cooled by Cu–water nanofluid using porous media approach and least square method. Energy Convers. Manage. 2014, 78, 347–358. [Google Scholar] [CrossRef]
- Sakanova, A.; Yin, S.; Zhao, J.; Wu, J.M.; Leong, K.C. Optimization and comparison of double-layer and double-side microchannel heat sinks with nanofluid for power electronics cooling. Appl. Therm. Eng. 2014, 65, 124–134. [Google Scholar] [CrossRef]
- Ting, T.W.; Hung, Y.M.; Guo, N. Effects of stream wise conduction on thermal performance of nanofluid flow in microchannel heat sinks. Energy Convers. Manage. 2014, 78, 14–23. [Google Scholar] [CrossRef]
- Rajagopalan, D.; Arigo, M.T.; McKinley, G.H. The sedimentation of a sphere through an elastic fluid Part 2. Transient motion. J. Non-Newton Fluid Mech 1996, 65, 17–46. [Google Scholar] [CrossRef]
- Leong, K.Y.; Saidur, R.; Khairulmaini, M.; Michael, Z.; Kamyar, A. Heat transfer and entropy analysis of three different types of heat exchangers operated with nanofluids. Int. Commun. Heat Mass Transf. 2012, 39, 838–843. [Google Scholar] [CrossRef]







| Thermophysical Properties | 1.3% PIB in Declain | Ag | Cu | Cuo | TiO2 |
|---|---|---|---|---|---|
| 1657 | 235 | 385 | 535.6 | 686.2 | |
| ρ (kg/m3) | 896.1 | 10500 | 8933 | 6320 | 4250 |
| kK) | 0.132 | 429 | 401 | 76.5 | 8.95 |
| β × 10−5 (1/k) | 21 | 1.89 | 1.67 | 1.8 | 0.9 |
| μ (pa.s) | 0.003097 {ε = 0.04, ξ = 0.01}; | - | - | - | - |
| Viscoelastic model | |
|---|---|
| Oldroyd-B | |
| Giesekus | |
| Linear PTT | |
| Exponential PTT | |
| FENE-CR |
© 2018 by the author. Licensee MDPI, Basel, Switzerland. This article is an open access article distributed under the terms and conditions of the Creative Commons Attribution (CC BY) license (http://creativecommons.org/licenses/by/4.0/).
Share and Cite
Abdollahzadeh Jamalabadi, M.Y. Optimal Design of Nanoparticle Enhanced Phan-Thien–Tanner Flow of a Viscoelastic Fluid in a Microchannel. Entropy 2018, 20, 895. https://doi.org/10.3390/e20120895
Abdollahzadeh Jamalabadi MY. Optimal Design of Nanoparticle Enhanced Phan-Thien–Tanner Flow of a Viscoelastic Fluid in a Microchannel. Entropy. 2018; 20(12):895. https://doi.org/10.3390/e20120895
Chicago/Turabian StyleAbdollahzadeh Jamalabadi, Mohammad Yaghoub. 2018. "Optimal Design of Nanoparticle Enhanced Phan-Thien–Tanner Flow of a Viscoelastic Fluid in a Microchannel" Entropy 20, no. 12: 895. https://doi.org/10.3390/e20120895
APA StyleAbdollahzadeh Jamalabadi, M. Y. (2018). Optimal Design of Nanoparticle Enhanced Phan-Thien–Tanner Flow of a Viscoelastic Fluid in a Microchannel. Entropy, 20(12), 895. https://doi.org/10.3390/e20120895
