Analysis of Heat Dissipation and Reliability in Information Erasure: A Gaussian Mixture Approach
Abstract
1. Introduction
2. Single Bit Memory and Erasure Process with Uncertainty
2.1. Single Bit Memory
2.2. Erasure with Uncertainty
3. Effect of Overlap Parameter on Thermodynamic Cost of Erasure
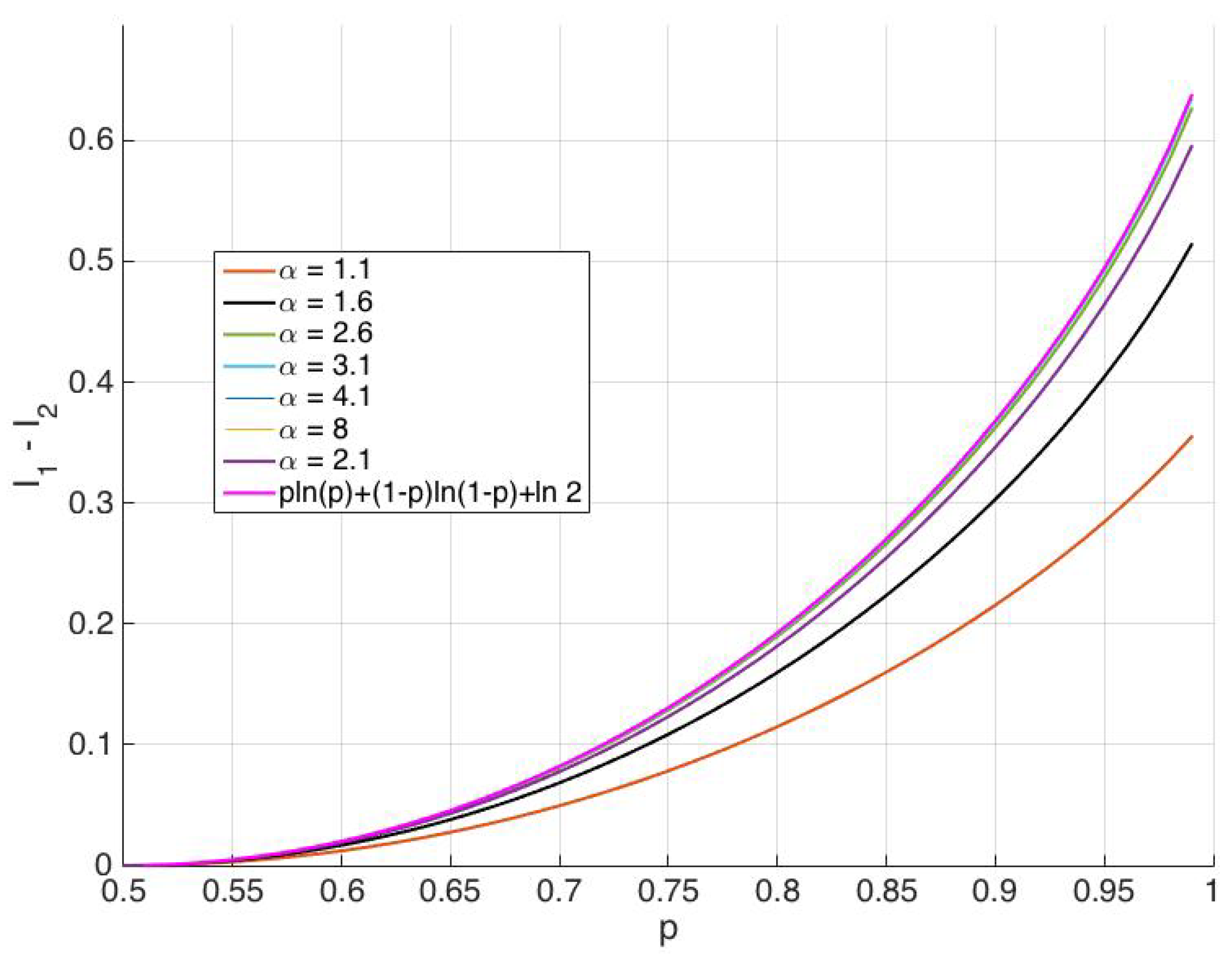
3.1. Upper and Lower Bounds on the Change in Entropy during Erasure
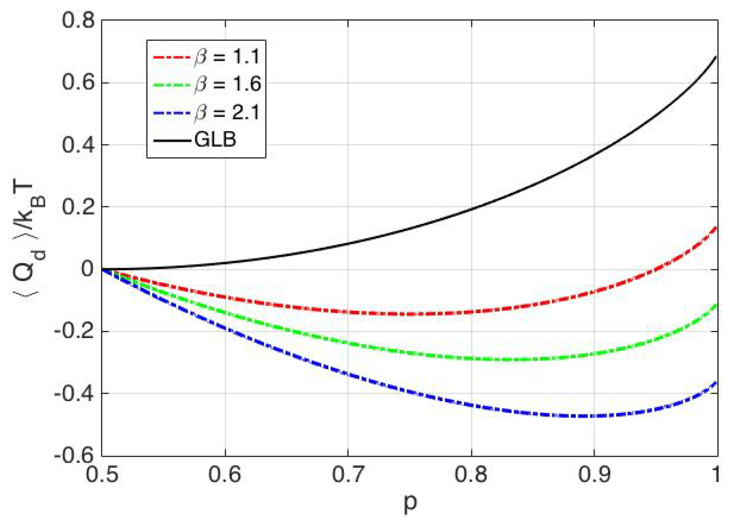
3.2. Relationship to the Generalized Landauer Bound
3.3. Extensions to Asymmetric 1 Bit Memory
3.3.1. Erasing into Low Entropy Well
3.3.2. Erasing into a High Entropy Well
4. Effect of Overlap Parameter on the Reliability of a Memory Bit
5. Conclusions
Author Contributions
Funding
Acknowledgments
Conflicts of Interest
Appendix A
Appendix A.1. Upper Bounds
Appendix A.2. Lower Bounds
References
- Landauer, R. Irreversibility and heat generation in the computing process. IBM J. Res. Dev. 1961, 5, 183–191. [Google Scholar] [CrossRef]
- Von Neumann, J.; Burks, A.W. Theory of Self-Reproducing Automata; University of Illinois Press: Champaign, IL, USA, 1966. [Google Scholar]
- Bennett, C.H. The Thermodynamics of Computation: A Review. Int. J. Theor. Phys. 1982, 21, 905–940. [Google Scholar] [CrossRef]
- Lef, H.; Rex, A. Maxwell Demon 2: Entropy, Classical and Quantum Information, Computing; Institute of Physics Publishing, Bristol and Philadelphia: Bristol, UK, 2003. [Google Scholar]
- Shizume, K. Heat generation required by information erasure. Phys. Rev. E 1995, 52, 3495. [Google Scholar] [CrossRef]
- Dillenschneider, R.; Lutz, E. Memory erasure in small systems. Phys. Rev. Lett. 2009, 102, 210601. [Google Scholar] [CrossRef] [PubMed]
- Bérut, A.; Arakelyan, A.; Petrosyan, A.; Ciliberto, S.; Dillenschneider, R.; Lutz, E. Experimental verification of Landauer’s principle linking information and thermodynamics. Nature 2012, 483, 187–189. [Google Scholar] [CrossRef] [PubMed]
- Jun, Y.; Gavrilov, M.; Bechhoefer, J. High-precision test of Landauer’s Principle in a feedback trap. Phys. Rev. Lett. 2014, 113, 190601. [Google Scholar] [CrossRef] [PubMed]
- Hong, J.; Lambson, B.; Dhuey, S.; Bokor, J. Experimental test of Landauer’s principle in single-bit operations on nanomagnetic memory bits. Sci. Adv. 2016, 2, e1501492. [Google Scholar] [CrossRef] [PubMed]
- Gavrilov, M.; Bechhoefer, J. Erasure without Work in an Asymmetric Double-Well Potential. Phys. Rev. Lett. 2016, 117, 200601. [Google Scholar] [CrossRef] [PubMed]
- Talukdar, S.; Bhaban, S.; Salapaka, M.V. Memory erasure using time-multiplexed potentials. Phys. Rev. E 2017, 95, 062121. [Google Scholar] [CrossRef] [PubMed]
- Neri, I.; Lopez-Suarez, M.; Chiuchiú, D.; Gammaitoni, L. Reset and switch protocols at Landauer limit in a graphene buckled ribbon. EPL Europhys. Lett. 2015, 111, 10004. [Google Scholar] [CrossRef]
- Lopez-Suarez, M.; Neri, I.; Gammaitoni, L. Sub-kBT micro-electromechanical irreversible logic gate. Nat. Commun. 2016, 7, 12068. [Google Scholar] [CrossRef] [PubMed]
- Gammaitoni, L. Beating the Landauer’s limit by trading energy with uncertainty. arXiv, 2011; arXiv:1111.2937. [Google Scholar]
- Maroney, O. Generalizing Landauer’s principle. Phys. Rev. E 2009, 79, 031105. [Google Scholar] [CrossRef] [PubMed]
- Chiuchiú, D.; Diamantini, M.; Gammaitoni, L. Conditional entropy and Landauer principle. EPL Europhys. Lett. 2015, 111, 40004. [Google Scholar] [CrossRef]
- Gardiner, C.W. Handbook of Stochastic Methods; Springer: Berlin/Heidelberg, Germany, 1985; Volume 4. [Google Scholar]
- Parrondo, J.; de Cisneros, B.J. Energetics of Brownian motors: A review. Appl. Phys. A 2002, 75, 179–191. [Google Scholar] [CrossRef]
- Melbourne, J.; Talukdar, S.; Bhaban, S.; Salapaka, M.V. Error Bounds on a Mixed Entropy Inequality. In Proceedings of the IEEE International Symposium on Information Theory, Vail, CO, USA, 17–22 June 2018. [Google Scholar]
- Alaghi, A.; Hayes, J.P. Survey of stochastic computing. ACM Trans. Embed. Comput. Syst. TECS 2013, 12, 92. [Google Scholar] [CrossRef]
- Indiveri, G.; Linares-Barranco, B.; Legenstein, R.; Deligeorgis, G.; Prodromakis, T. Integration of nanoscale memristor synapses in neuromorphic computing architectures. Nanotechnology 2013, 24, 384010. [Google Scholar] [CrossRef] [PubMed]
- Bérut, A.; Petrosyan, A.; Ciliberto, S. Information and thermodynamics: Experimental verification of Landauer’s Erasure principle. J. Stat. Mech. Theory Exp. 2015, 2015, P06015. [Google Scholar] [CrossRef]
- Parrondo, J.M.; Horowitz, J.M.; Sagawa, T. Thermodynamics of information. Nat. Phys. 2015, 11, 131–139. [Google Scholar] [CrossRef]
- Holzmann, H.; Vollmer, S. A likelihood ratio test for bimodality in two-component mixtures with application to regional income distribution in the EU. AStA Adv. Stat. Anal. 2008, 92, 57–69. [Google Scholar] [CrossRef]
- Gupta, L.; Sortrakul, T. A Gaussian-mixture-based image segmentation algorithm. Pattern Recognit. 1998, 31, 315–325. [Google Scholar] [CrossRef]
- Talukdar, S.; Bhaban, S.; Salapaka, M. Beating Landauer’s bound by Memory Erasure using Time Multiplexed Potentials. IFAC-PapersOnLine 2017, 50, 7645–7650. [Google Scholar] [CrossRef]
- Cover, T.M.; Thomas, J.A. Elements of Information Theory; John Wiley & Sons: Hoboken, NJ, USA, 2012. [Google Scholar]
- Melbourne, J.; Talukdar, S.; Salapaka, M. Realizing Information Erasure in Finite Time. In Proceedings of the 57th IEEE Conference on Decision and Control, Miami Beach, FL, USA, 17–19 December 2018. accepted. [Google Scholar]
- Sekimoto, K. Stochastic Energetics; Springer: Berlin/Heidelberg, Germany, 2010; Volume 799. [Google Scholar]
- Gardiner, C. Stochastic Methods; Springer: Berlin/Heidelberg, Germany, 2009; Volume 4. [Google Scholar]











© 2018 by the authors. Licensee MDPI, Basel, Switzerland. This article is an open access article distributed under the terms and conditions of the Creative Commons Attribution (CC BY) license (http://creativecommons.org/licenses/by/4.0/).
Share and Cite
Talukdar, S.; Bhaban, S.; Melbourne, J.; Salapaka, M. Analysis of Heat Dissipation and Reliability in Information Erasure: A Gaussian Mixture Approach. Entropy 2018, 20, 749. https://doi.org/10.3390/e20100749
Talukdar S, Bhaban S, Melbourne J, Salapaka M. Analysis of Heat Dissipation and Reliability in Information Erasure: A Gaussian Mixture Approach. Entropy. 2018; 20(10):749. https://doi.org/10.3390/e20100749
Chicago/Turabian StyleTalukdar, Saurav, Shreyas Bhaban, James Melbourne, and Murti Salapaka. 2018. "Analysis of Heat Dissipation and Reliability in Information Erasure: A Gaussian Mixture Approach" Entropy 20, no. 10: 749. https://doi.org/10.3390/e20100749
APA StyleTalukdar, S., Bhaban, S., Melbourne, J., & Salapaka, M. (2018). Analysis of Heat Dissipation and Reliability in Information Erasure: A Gaussian Mixture Approach. Entropy, 20(10), 749. https://doi.org/10.3390/e20100749

