On the Capacity and the Optimal Sum-Rate of a Class of Dual-Band Interference Channels †
Abstract
1. Introduction
- We show that the capacity region of the DCLIC can be decomposed into the capacity region of the underlying CLIC and two non-interfering direct links in the mm-wave band. This illustrates that the cross channels are actively involved in characterizing the capacity of the CLIC, whereas the direct channels improve the rates of individual users.
- We characterize the capacity of the strong CLIC, and observe that the strong interference condition in the microwave band is sufficient to characterize the capacity.
- For the weak CLIC, we characterize sufficient channel conditions under which its capacity is established. This shows that even if the GIC in the microwave band has weak interference, adequately strong cross channels in the mm-wave band are sufficient to characterize the capacity.
- We characterize the optimal power allocation in the direct and cross channels that maximizes the sum-rate of the DCLIC, and study channel conditions under which the optimal power allocation either assigns the entire power budget to a specific subset of channels, or shares the power budget among all channels. We establish a direct relation between the channel parameters and the optimal powers, from which we observe the following:
- -
- The optimal power allocation distributes the power budget among the direct and cross channels following two properties: a waterfilling-like property and a max-min property.
- -
- When the power budget is sufficiently small, the optimal allocation assigns power to either both direct channels, or both cross channels and at most one direct channel.
- -
- Due to the max-min property, the optimal allocation imposes a maximum limit on the cross-channel powers. When the power budget exceeds a certain threshold, the limit on the cross-channel powers are reached, and all additional increments to the power budget are then added only to the direct channels that do not have such limits.
- -
- If the underlying GIC in the microwave band has very strong interference, the optimal power allocation assigns the power budget entirely to the direct channels.
- -
- If the channel parameters satisfy one of the following criteria, then transmitting only in the direct channels is approximately optimal, in the sense that the difference between the sum-rates resulting from allocating to only direct channels and allocating optimally in all channels, is negligibly small: (a) the transmit powers in the underlying GIC in the microwave band is very small; or (b) the cross channel gains in the mm-wave band are very large.
2. System Model
3. Decomposition Result on the Capacity of the DCLIC
4. Capacity of the Weak CLIC
5. The Optimal Sum-Rate Problem
- the underlying GIC of the DCLIC has strong interference, but not very strong interference, and ;
- the underlying GIC of the DCLIC satisfies: ;
- and are fixed a priori;
- the transmission power in the direct channel () and cross channel () from transmitter k () satisfy the constraint, , where P is the power budget.
5.1. Problem Formulation and Solution
5.2. The Waterfilling-Like Nature of the Optimal Power Allocation
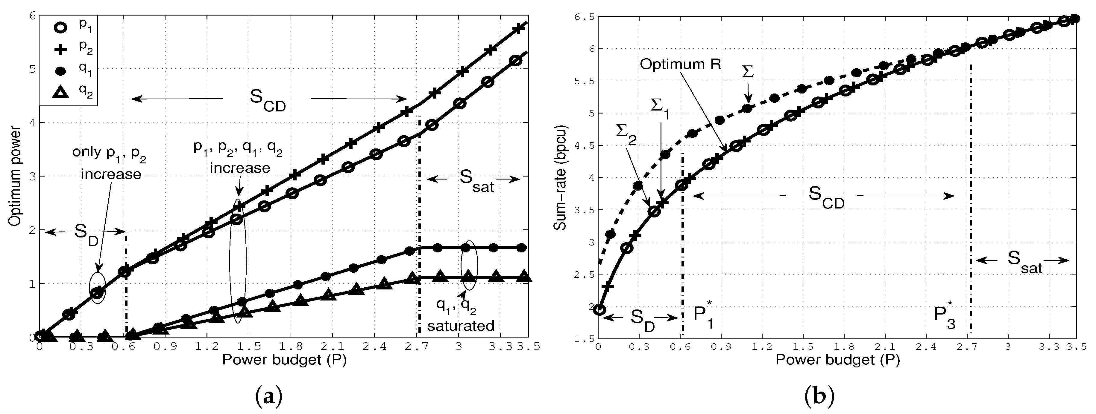
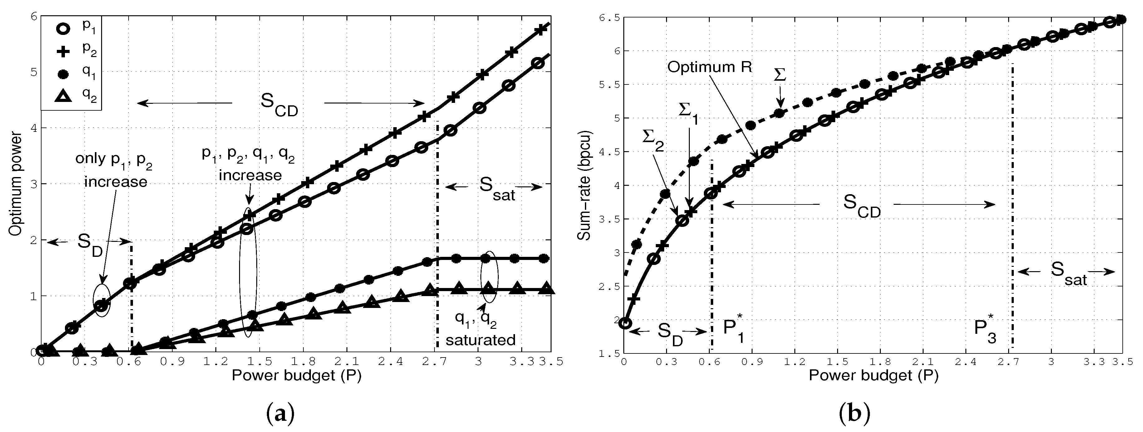
- If : follows the sequence (denoted by [S1]). Since the direct channels are stronger, allocates all of P to them as in when P is sufficiently small (i.e., ). However, as P increases, the additional benefit from transmitting only in the direct channels decreases, and thus, when , begins transmitting in both cross and direct channels as in . This allocation follows from its WF-like property, and remains optimal for all . Finally, when , the max-min property of comes into effect, and thus the cross channels become saturated and starts following the allocation in . Note that, in this case, the saturation threshold for P is .
- If but is not satisfied: follows the sequence ([S2]). This case is similar to [S1] above, except for the fact that now the cross channels are stronger. Hence, transmits in the cross channels and the direct channel with gain as in when P is sufficiently small (i.e., ). Next, following its WF-like property, starts transmitting in all the direct and cross channels as in when . Finally, when the cross channels become saturated, and follows the allocation in thereon. The saturation threshold for P in this case is .Note that, whenever , follows [S2] irrespective of how , and compare, except in two cases: (a) , where follows [S3], described next, and (b) , which is infeasible as they violate the mutual exclusiveness of and .
- If : follows the sequence ([S3]). In this case, the cross channels are much stronger than the direct channels. Hence, similar to [S2], allocates power to both cross channels and a direct channel as in when P is sufficiently small (i.e., ). As P increases and , the cross channels become saturated, and begins assigning powers to all channels as in . Interestingly, in this case, skips . This shows that, since the cross channels are much stronger, it is optimal to allocate power as in until they become saturated at , beyond which the allocation in becomes optimal.
5.3. Optimum Power Allocation in the Symmetric DCLIC
- If (direct channels are “stronger”): follows the sequence . It transmits only in the direct channels as in when , then transmits in all channels as in when , and finally starts following the allocation in when .
- If (cross channels are “stronger”): follows the sequence . It transmits only in the cross channels as in when , then transmits in all channels as in when , and finally follows when .
- If (cross channels are much “stronger”): follows the sequence . It follows when , and then follows when , while skipping altogether.
5.4. Discussion and Insights
6. Conclusions
Acknowledgments
Author Contributions
Conflicts of Interest
Abbreviations
| GIC | Gaussian interference channel |
| CLIC | Cross-Link interference channel |
| DLIC | Direct-Link interference channel |
| DCLIC | Direct-and-Cross-Link interference channel |
| PGIC | Parallel Gaussian interference channel |
| BMF | Bandwidth mismatch factor |
| DM | Discrete memoryless |
| RV | Random variable |
| WF | Waterfilling |
| KKT | Karush–Kuhn–Tucker |
Appendix A. Proof of Theorem 1
Appendix B. Proof of Theorem 2
Appendix C. Derivation of the Optimal Power Allocation
- : For any , , if then
- : For any , , if then
- : If then , .
- : If then , .
- : If then , .
- : If then , .
- : If then , .
| Cond. | Cond. | Cond. | Cond. | Cond. | ||||||
|---|---|---|---|---|---|---|---|---|---|---|
| × | × | × | × | × | ||||||
| × | × | × | × | × | ||||||
| × | × | × | √ | [C1] | √ | [C3] | ||||
| × | × | × | × | × | ||||||
| × | × | × | √ | [C2] | × | |||||
| × | × | × | × | × | ||||||
| × | × | × | × | × | ||||||
| × | × | × | × | × | ||||||
| × | × | × | √ | [C4] | √ | [C3] |
- : Since , they satisfy , which implies from (A12), (A20) and (A21), and from (A22) and (A23). In addition, implies from (A17) and (A18), which, from the expressions of and in (24) and (25) gives . Thus, we have , and therefore, from (A13). Note that and are sufficient for . Moreover, implies , resulting in , i.e., where , defined in (38), is due to assumption [A1]. Next, from and (A10) and (A11), we have . In addition, from and (A8), the condition for is . Since from (A7) we have , which subsequently gives , i.e., as in Table 1. Thus, the condition of is
- : Since , they satisfy , and imply , following (A20)–(A23) and (A12) and (A13). In addition, implies from (A17)–(A19), for which assumption [A1] is sufficient. Next, using and (A8)–(A11) the sufficient conditions for and are found to be and respectively. Since , and thus from (A7), the bounds on and are combined, which gives , i.e., as in Table 1. Finally, is sufficient for . Thus, the condition of is
- : Since , they satisfy , and imply , following (A20)–(A23). In addition, implies and from (A17)–(A19), which gives and respectively, where . Thus, we have and from (A12)–(A13). Note that the condition for is , i.e., , and it is also sufficient for due to .Now, from and (A8)–(A11), and using the expressions of above we find , and . We also note that is sufficient for . Next, to ensure , and must satisfy , which gives the condition as in in Table A1. In addition, note that is sufficient for .Finally, the case with only differ from that with in that now , and thus . We note that is sufficient for . We also note that the other condition, which follows from the conditions on and as in , is expressed by evaluating above at . Therefore, the conditions of the two cases are combined as
- : Since , they satisfy , and imply , following (A20)–(A23. In addition, imply . Next, from , (A8)–(A11), (A12) and (A13), we find , and . Also, since , we have from (24) and (25), . In addition, since we have . Combining these conditions, we get a quadratic equation of , , where , and with and as defined in (37). One of its roots, , is infeasible as it violates (A7) and the nonnegativity of , respectively, when and . Therefore, the valid solution is . Next, from (A9) and substituting in , and with some algebraic simplification, we have where , and and defined in (37). Finally, from the mutual exclusiveness of the sets , the condition of is given by
References
- LTE-A 4G Solution, Stockholm, Sweden. Available online: https://www.ramonmillan.com/documentos/bibliografia/4GEricsson.pdf (accessed on 13 September 2017).
- Pi, Z.; Khan, F. An introduction to millimeter-wave mobile broadband systems. IEEE Commun. Mag. 2011, 49, 101–107. [Google Scholar] [CrossRef]
- Rappaport, T.S.; Sun, S.; Mayzus, R.; Zhao, H.; Azar, Y.; Wang, K.; Wong, G.N.; Schulz, J.K.; Samimi, M.; Gutierrez, F. Millimeter wave mobile communications for 5G cellular: It Will Work! IEEE Access 2013, 1, 335–349. [Google Scholar] [CrossRef]
- Akdeniz, M.R.; Liu, Y.; Samimi, M.K.; Sun, S.; Rangan, S.; Rappaport, T.S.; Erkip, E. Millimeter Wave Channel Modeling and Cellular Capacity Evaluation. IEEE J. Sel. Areas Commun. 2014, 32, 1164–1179. [Google Scholar] [CrossRef]
- Qingling, Z.; Li, J. Rain Attenuation in Millimeter Wave Ranges. In Proceedings of the IEEE 7th International Symposium on Antennas, Propagation and EM Theory, Guilin, China, 26–29 October 2006; pp. 1–4. [Google Scholar]
- Singh, S.; Mudumbai, R.; Madhow, U. Interference analysis for highly directional 60-GHz mesh networks: The case for rethinking medium access control. IEEE/ACM Trans. Netw. 2011, 19, 1513–1527. [Google Scholar] [CrossRef]
- Qiao, J.; Shen, X.S.; Mark, J.W.; Shen, Q.; He, Y.; Lei, L. Enabling device-to-device communications in millimeter-wave 5G cellular networks. IEEE Commun. Mag. 2015, 53, 209–215. [Google Scholar] [CrossRef]
- Collonge, S.; Zaharia, G.; Zein, G.E. Influence of the human activity on wide-band characteristics of the 60 GHz indoor radio channel. IEEE Trans. Wirel. Commun. 2004, 3, 2396–2406. [Google Scholar] [CrossRef]
- Zheng, K.; Zhao, L.; Mei, J.; Dohler, M.; Xiang, W.; Peng, Y. 10 Gb/s Hetsnets with Millimeter-wave communications: Access and networking - challenges and protocols. IEEE Commun. Mag. 2015, 53, 222–231. [Google Scholar] [CrossRef]
- G Radio Access: Requirements, Concept and Technologies. Available online: https://gsacom.com/paper/docomo-5g-radio-access-requirements-concept-and-technologies/ (accessed on 13 September 2017).
- Mehrpouyan, H.; Matthaiou, M.; Wang, R.; Karagiannidis, G.K.; Hua, Y. Hybrid millimeter-wave systems: A novel paradigm for hetnets. IEEE Commun. Mag. 2015, 53, 216–221. [Google Scholar] [CrossRef]
- Majhi, S.; Mitran, P. On the capacity of a class of dual-band interference channels. In Proceedings of the IEEE International Symposium on Information Theory, Barcelona, Spain, 10–15 July 2016; pp. 2759–2763. [Google Scholar]
- Feng, W.; Li, Y.; Jin, D.; Su, L.; Chen, S. Millimetre-wave backhaul for 5G networks: Challenges and solutions. Sensors 2016, 16, 892. [Google Scholar] [CrossRef] [PubMed]
- Morteza, H.; Koksal, C.E.; Shroff, N.B. Dual Sub-6 GHz—Millimeter Wave Beamforming and Communications to Achieve Low Latency and High Energy Efficiency in 5G Systems. Available online: https://arxiv.org/pdf/1701.06241.pdf (accessed on 13 September 2017).
- Niu, Y.; Li, Y.; Jin, D.; Su, L.; Vasilakos, A.V. A survey of millimeter wave communications (mmWave) for 5G: Opportunities and challenges. Wirel. Netw. 2015, 21, 2657–2676. [Google Scholar] [CrossRef]
- Intel Announces World’s First Global 5G Modem. Available online: https://newsroom.intel.com/newsroom/wp-content/uploads/sites/11/2017/01/5G-modem-fact-sheet.pdf (accessed on 13 September 2017).
- Ali, A.; González-Prelcic, N.; Heath, R.W. Estimating millimeter wave channels using out-of-band measurements. In Proceedings of the 2016 Information Theory and Applications Workshop, La Jolla, CA, USA, 31 January–5 February 2016; pp. 1–6. [Google Scholar]
- Ali, A.; Prelcic, N.; Robert, W.; Heath, J. Millimeter Wave Beam-Selection Using Out-of-Band Spatial Information. Available online: https://arxiv.org/pdf/1702.08574.pdf (accessed on 13 September 2017).
- Elshaer, H.; Kulkarni, M.N.; Boccardi, F.; Andrews, J.G.; Dohler, M. Downlink and uplink cell association with traditional macrocells and millimeter wave small cells. IEEE Trans. Wirel. Commun. 2016, 15, 6244–6258. [Google Scholar] [CrossRef]
- Semiari, O.; Saad, W.; Bennis, M. Joint millimeter wave and microwave resources allocation in cellular networks with dual-mode base stations. IEEE Trans. Wirel. Commun. 2017, 16, 4802–4816. [Google Scholar] [CrossRef]
- Rebato, M.; Boccardi, F.; Mezzavilla, M.; Rangan, S.; Zorzi, M. Hybrid spectrum sharing in mmwave cellular networks. IEEE Trans. Cogn. Commun. Netw. 2017, 3, 155–168. [Google Scholar] [CrossRef]
- Sato, H. The capacity of the Gaussian interference channel under strong interference. IEEE Trans. Inf. Theory 1981, 27, 786–788. [Google Scholar] [CrossRef]
- Carleial, A. A case where interference does not reduce capacity. IEEE Trans. Inf. Theory 1975, 21, 569–570. [Google Scholar] [CrossRef]
- Kramer, G. Outer bounds on the capacity of Gaussian interference channels. IEEE Trans. Inf. Theory 2004, 50, 581–586. [Google Scholar] [CrossRef]
- Chung, S.T.; Cioffi, J. The capacity region of frequency-selective Gaussian interference channels under strong interference. IEEE Trans. Commun. 2007, 55, 1812–1821. [Google Scholar] [CrossRef]
- Choi, S.W.; Chung, S.Y. On the separability of parallel Gaussian interference channels. In Proceedings of the IEEE International Symposium on Information Theory, Seoul, South Korea, 28 June–3 July 2009; pp. 2592–2596. [Google Scholar]
- Sankar, L.; Shang, X.; Erkip, E.; Poor, H.V. Ergodic fading interference channels: Sum-capacity and separability. IEEE Trans. Inf. Theory 2011, 57, 2605–2626. [Google Scholar] [CrossRef]
- Cadambe, V.; Jafar, S. Parallel Gaussian interference channels are not always separable. IEEE Trans. Inf. Theory 2009, 55, 3983–3990. [Google Scholar] [CrossRef]
- Shang, X.; Chen, B.; Kramer, G.; Poor, H. Noisy-interference sum-rate capacity of parallel Gaussian interference channels. IEEE Trans. Inf. Theory 2011, 57, 210–226. [Google Scholar] [CrossRef]
- Yu, W.; Ginis, G.; Cioffi, J.M. Distributed multiuser power control for digital subscriber lines. IEEE J. Sel. Areas Commun. 2002, 20, 1105–1115. [Google Scholar] [CrossRef]
- Chen, H.; Ma, Y.; Lin, Z.; Li, Y.; Vucetic, B. Distributed power control in interference channels with QoS constraints and RF energy harvesting: A game-theoretic approach. IEEE Trans. Veh. Technol. 2016, 65, 10063–10069. [Google Scholar] [CrossRef]
- Gamal, A.E.; Kim, Y.H. Network Information Theory; Cambridge University Press: Cambridge, UK, 2012. [Google Scholar]
- Diggavi, S.N.; Cover, T.M. The worst additive noise under a covariance constraint. IEEE Trans. Inf. Theory 2006, 47, 3072–3081. [Google Scholar] [CrossRef]
- Sankar, L.; Liang, Y.; Mandayam, N.B.; Poor, H.V. Fading multiple access relay channels: Achievable rates and opportunistic scheduling. IEEE Trans. Inf. Theory 2011, 57, 1911–1931. [Google Scholar] [CrossRef]
- Boyd, S.; Vandenberghe, L. Convex Optimization; Cambridge University Press: Cambridge, UK, 2004. [Google Scholar]






| Set | Optimal Powers | Condition | |||
|---|---|---|---|---|---|
| complement of other conditions | |||||
| Set | Optimal Powers | |||
|---|---|---|---|---|
| Set | Optimal Powers | Condition | |||
|---|---|---|---|---|---|
| Set | Optimal Powers | Condition | |
|---|---|---|---|
| , | |||
© 2017 by the authors. Licensee MDPI, Basel, Switzerland. This article is an open access article distributed under the terms and conditions of the Creative Commons Attribution (CC BY) license (http://creativecommons.org/licenses/by/4.0/).
Share and Cite
Majhi, S.; Mitran, P. On the Capacity and the Optimal Sum-Rate of a Class of Dual-Band Interference Channels. Entropy 2017, 19, 495. https://doi.org/10.3390/e19090495
Majhi S, Mitran P. On the Capacity and the Optimal Sum-Rate of a Class of Dual-Band Interference Channels. Entropy. 2017; 19(9):495. https://doi.org/10.3390/e19090495
Chicago/Turabian StyleMajhi, Subhajit, and Patrick Mitran. 2017. "On the Capacity and the Optimal Sum-Rate of a Class of Dual-Band Interference Channels" Entropy 19, no. 9: 495. https://doi.org/10.3390/e19090495
APA StyleMajhi, S., & Mitran, P. (2017). On the Capacity and the Optimal Sum-Rate of a Class of Dual-Band Interference Channels. Entropy, 19(9), 495. https://doi.org/10.3390/e19090495
