Fractional Derivative Phenomenology of Percolative Phonon-Assisted Hopping in Two-Dimensional Disordered Systems
Abstract
:1. Introduction
2. Multiple Trapping on a Comb-Like Structure
3. Transient Current Curves
4. Kinetic Monte Carlo Simulation
4.1. Simulation of Phonon-Assisted Hopping
4.2. Generation of Particle Agglomerate
4.3. Generation of Spinodal Pattern of Two-Component Blend
4.4. Calculation of Transient Current, Mobility and Diffusion Coefficient
5. Results of Simulation
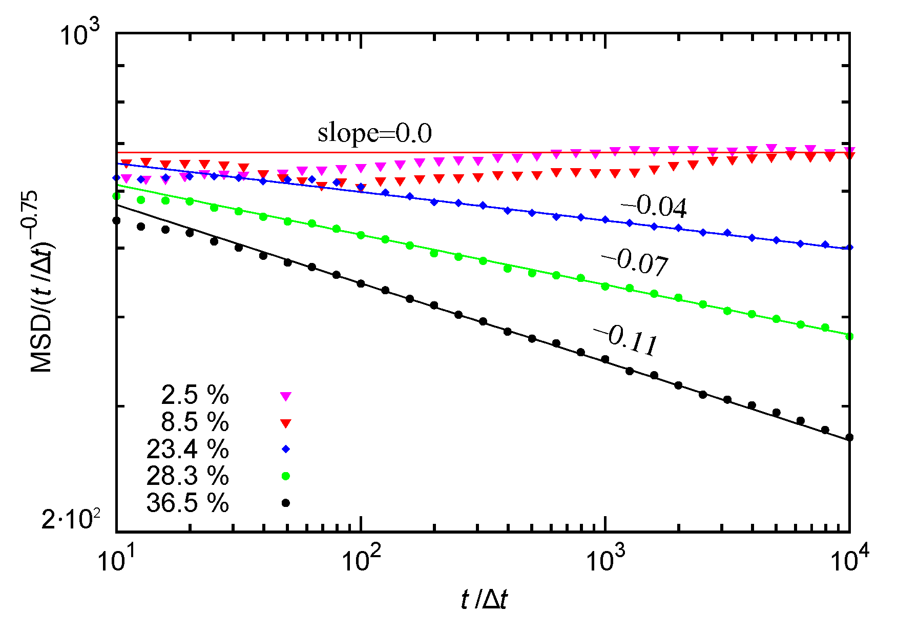
5.1. Transient Currents in 2D Porous Films
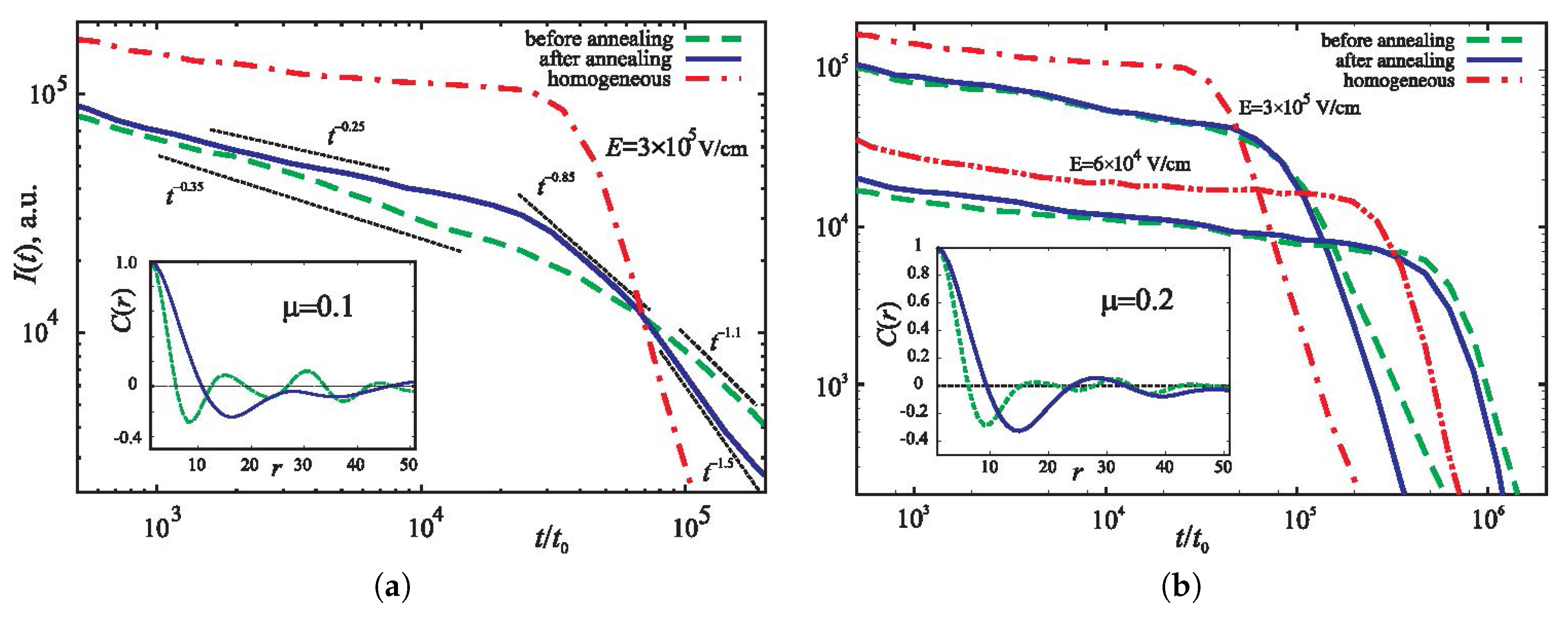
5.2. Transient Currents in 2D Spinodal Patterns
6. Conclusions
Acknowledgments
Author Contributions
Conflicts of Interest
Abbreviations
| DT | dispersive transport |
| BHJ | bulk heterojunction |
| BHJSC | bulk heterojunction solar cell |
| DSSC | dye-sensitized solar cell |
| PSC | perovskite solar cell |
| CTRW | continuous time random walk |
| MT | multiple trapping |
| PAH | phonon-assisted hopping |
| P3HT | Poly(3-hexylthiophene-2,5-diyl) |
| PCBM | Phenyl-C61-butyric acid methyl ester |
| OPV | organic photovoltaic |
| RL-derivative | Riemann-Liouville derivative |
| FP-equation | Fokker-Planck equation |
| DoS | density of states |
| ToF experiment | time-of-flight experiment |
References
- Scher, H.; Montroll, E.W. Anomalous transit-time dispersion in amorphous solids. Phys. Rev. B 1975, 12, 2455–2477. [Google Scholar] [CrossRef]
- Arkhipov, V.I.; Rudenko, A.I.; Andriesh, A.M. Non-Stationary Injection Currents in Disordered Solids; Ştiinţă: Kishinev, Moldova, 1983. (In Russian) [Google Scholar]
- Zvyagin, I.P. Kineticheskie Yavleniya v Neuporyadochennykh Poluprovodnikakh (Kinetic Phenomena in Disordered Semiconductors); Izd. MGU: Moscow, Russian, 1984. (In Russian) [Google Scholar]
- Tyutnev, A.P.; Saenko, V.S.; Pozhidaev, E.D.; Kolesnikov, V.A. Verification of the dispersive charge transport in a hydrazone: Polycarbonate molecularly doped polymer. J. Phys. Condens. Matter 2009, 21, 115107. [Google Scholar] [CrossRef] [PubMed]
- Benkstein, K.D.; Kopidakis, N.; Van de Lagemaat, J.; Frank, A.J. Influence of the percolation network geometry on electron transport in dye-sensitized titanium dioxide solar cells. J. Phys. Chem. B 2003, 107, 7759–7767. [Google Scholar] [CrossRef]
- Cass, M.J.; Walker, A.B.; Martinez, D.; Peter, L.M. Grain morphology and trapping effects on electron transport in dye-sensitized nanocrystalline solar cells. J. Phys. Chem. B 2005, 109, 5100–5107. [Google Scholar] [CrossRef] [PubMed]
- Kopidakis, N.; Benkstein, K.D.; van de Lagemaat, J.; Frank, A.J.; Yuan, Q.; Schiff, E.A. Temperature dependence of the electron diffusion coefficient in electrolyte-filled TiO2 nanoparticle films: Evidence against multiple trapping in exponential conduction-band tails. Phys. Rev. B 2006, 73, 045326. [Google Scholar] [CrossRef]
- Ansari-Rad, M.; Abdi, Y.; Arzi, E. Monte Carlo random walk simulation of electron transport in dye-sensitized nanocrystalline solar cells: Influence of morphology and trap distribution. J. Phys. Chem. C 2012, 116, 3212–3218. [Google Scholar] [CrossRef]
- Yu, G.; Gao, J.; Hummelen, J.C.; Wudl, F.; Heeger, A.J. Polymer photovoltiac cells: Enhanced efficiencies via a network of internal donor-acceptor heterojunctions. Science 1995, 270, 1789. [Google Scholar] [CrossRef]
- Klauk, H. (Ed.) Organic Electronics: Materials, Manufacturing, and Applications; Wiley: Hoboken, NJ, USA, 2006. [Google Scholar]
- Günes, S.; Neugebauer, H.; Sariciftci, N.S. Conjugated polymer-based organic solar cells. Chem. Rev. 2007, 107, 1324–1338. [Google Scholar] [CrossRef] [PubMed]
- Dang, M.T.; Hirsch, L.; Wantz, G. P3HT:PCBM, best seller in polymer photovoltaic research. Adv. Mater. 2011, 23, 3597–3602. [Google Scholar] [CrossRef] [PubMed]
- Abdi, N.; Abdi, Y.; Oskoee, E.N.; Sajedi, M. Electron diffusion in trap-contained 3D porous nanostructure: Simulation and experimental investigation. J. Nanopart. Res. 2014, 16. [Google Scholar] [CrossRef]
- Bai, Y.; Zhang, J.; Zhou, D.; Wang, Y.; Zhang, M.; Wang, P. Engineering organic sensitizers for iodine-free dye-sensitized solar cells: Red-shifted current response concomitant with attenuated charge recombination. J. Am. Chem. Soc. 2011, 133, 11442–11445. [Google Scholar] [CrossRef] [PubMed]
- Nelson, J. Continuous-time random-walk model of electron transport in nanocrystalline TiO2 electrodes. Phys. Rev. B 1999, 59, 15374–15380. [Google Scholar] [CrossRef]
- Tiedje, T. Electronic and Vibrational Properties. In The Physics of Hydrogenated Amorphous Silicon; Joannopoulos, J.D., Lucovsky, G., Eds.; Springer: Berlin/Heidelberg, Germany, 1984; Volume 2. [Google Scholar]
- Brereton, T.; Schmidt, V. Stochastic Models of Charge Transport in Disordered Media. In Proceedings of the IEEE Second International Symposium on Stochastic Models in Reliability Engineering, Life Science and Operations Management (SMRLO), Beer-Sheva, Israel, 15–18 February 2016. [Google Scholar]
- Bässler, H. Charge transport in disordered organic photoconductors a Monte Carlo simulation study. Phys. Status Solidi B 1993, 175, 15–56. [Google Scholar] [CrossRef]
- Baranovskii, S.D.; Efros, A.L.; Gelmont, B.L.; Shklovskii, B.I. Coulomb gap in disordered systems: Computer simulation. J. Phys. C Solid State Phys. 1979, 12, 6. [Google Scholar] [CrossRef]
- Silver, M.; Schoenherr, G.; Baessler, H. Dispersive hopping transport from an exponential energy distribution of sites. Phys. Rev. Lett. 1982, 48, 352–355. [Google Scholar] [CrossRef]
- Anta, J.A. Random walk numerical simulation for solar cell applications. Energy Environ. Sci. 2009, 2, 387–392. [Google Scholar] [CrossRef]
- Anta, J.A.; Morales-Flórez, V. Combined effect of energetic and spatial disorder on the trap-limited electron diffusion coefficient of metal-oxide nanostructures. J. Phys. Chem. C 2008, 112, 10287–10293. [Google Scholar] [CrossRef]
- Skal, A.S.; Shklovskii, B.I. Topology of an infinite cluster in flow theory and the theory of sudden conductivity. Fizika I Tekhnika Poluprovodn. 1974, 8, 1586–1592. (In Russian) [Google Scholar]
- Mandelbrot, B.B.; Given, J.A. Physical properties of a new fractal model of percolation clusters. Phys. Rev. Lett. 1984, 52, 1853–1856. [Google Scholar] [CrossRef]
- De Arcangelis, L.; Redner, S.; Coniglio, A. Anomalous voltage distribution of random resistor networks and a new model for the backbone at the percolation threshold. Phys. Rev. B 1985, 31, 4725–4727. [Google Scholar] [CrossRef]
- Stanley, H.E. Cluster shapes at the percolation threshold: And effective cluster dimensionality and its connection with critical-point exponents. J. Phys. A Math. Gen. 1977, 10, L211–L220. [Google Scholar] [CrossRef]
- White, S.R.; Barma, M. Field-induced drift and trapping in percolation networks. J. Phys. A Math. Gen. 1984, 17, 2995–3008. [Google Scholar] [CrossRef]
- Weiss, G.H.; Havlin, S. Some properties of a random walk on a comb structure. Phys. A Stat. Mech. Appl. 1986, 134, 474–482. [Google Scholar] [CrossRef]
- Arkhincheev, V.E.; Baskin, E.M. Anomalous diffusion and drift in a comb model of percolation clusters. Sov. Phys. JETP 1991, 73, 161–165. [Google Scholar]
- Baskin, E.; Iomin, A. Superdiffusion on a comb structure. Phys. Rev. Lett. 2004, 93, 120603. [Google Scholar] [CrossRef] [PubMed]
- Lubashevskii, I.A.; Zemlyanov, A.A. Continuum description of anomalous diffusion on a comb structure. J. Exp. Theor. Phys. 1998, 87, 700–713. [Google Scholar] [CrossRef]
- Iomin, A. Subdiffusion on a fractal comb. Phys. Rev. E 2011, 83, 052106. [Google Scholar] [CrossRef] [PubMed]
- Sibatov, R.T.; Morozova, E.V. Multiple trapping on a comb structure as a model of electron transport in disordered nanostructured semiconductors. J. Exp. Theor. Phys. 2015, 120, 860–870. [Google Scholar] [CrossRef]
- Sandev, T.; Iomin, A.; Méndez, V. Lévy processes on a generalized fractal comb. J. Phys. A Math. Theor. 2016, 49, 355001. [Google Scholar] [CrossRef]
- Sandev, T.; Iomin, A.; Kantz, H.; Metzler, R.; Chechkin, A. Comb model with slow and ultraslow diffusion. Math. Model. Nat. Phenom. 2016, 11, 18–33. [Google Scholar] [CrossRef]
- Metzler, R.; Klafter, J. The random walk’s guide to anomalous diffusion: a fractional dynamics approach. Phys. Rep. 2000, 339. [Google Scholar] [CrossRef]
- Sokolov, I.M. Models of anomalous diffusion in crowded environments. Soft Matter 2012, 8, 9043–9052. [Google Scholar] [CrossRef]
- Zahran, M.A.; Abulwafa, E.M.; Elwakil, S.A. The fractional Fokker-Planck equation on comb-like model. Phys. A Stat. Mech. Appl. 2003, 323, 237–248. [Google Scholar] [CrossRef]
- Arkhincheev, V.E. Unified continuum description for sub-diffusion random walks on multi-dimensional comb model. Phys. A Stat. Mech. Appl. 2010, 389. [Google Scholar] [CrossRef]
- Meroz, Y.; Sokolov, I.M.; Klafter, J. Subdiffusion of mixed origins: When ergodicity and nonergodicity coexist. Phys. Rev. E 2010, 81, 010101. [Google Scholar] [CrossRef] [PubMed]
- Grünewald, M.; Thomas, P. A hopping model for activated charge transport in amorphous silicon. Phys. Status Solidi B 1979, 94, 125–133. [Google Scholar] [CrossRef]
- Monroe, D. Hopping in exponential band tails. Phys. Rev. Lett. 1985, 54, 146–149. [Google Scholar] [CrossRef] [PubMed]
- Nikitenko, V.R. Non-Stationary Processes of Transport and Recombination of Charge Carriers in Thin Layers of Organic Materials; MEPhI: Moscow, Russia, 2011. (In Russian) [Google Scholar]
- Baranovskii, S.D. Theoretical description of charge transport in disordered organic semiconductors. Phys. Status Solidi B 2014, 251, 487–525. [Google Scholar] [CrossRef]
- Barkai, E. Fractional Fokker-Planck equation, solution, and application. Phys. Rev. E 2001, 63, 046118. [Google Scholar] [CrossRef] [PubMed]
- Chekunaev, N.I.; Fleurov, V.N. Hopping dispersive transport in site-disordered systems. J. Phys. C Solid State Phys. 1984, 17, 2917–2931. [Google Scholar] [CrossRef]
- Sibatov, R.T.; Uchaikin, V.V. Fractional differential kinetics of charge transport in unordered semiconductors. Semiconductors 2007, 41, 335–340. [Google Scholar] [CrossRef]
- Uchaikin, V.V.; Sibatov, R.T. Fractional Kinetics in Solids: Anomalous Charge Transport in Semiconductors, Dielectrics and Nanosystems; World Scientific: Singapore, 2013. [Google Scholar]
- Feller, W. An Introduction to Probability Theory and Its Applications; Wiley: Hoboken, NJ, USA, 1968. [Google Scholar]
- Uchaikin, V.V. Fractional Derivatives for Physicists and Engineers; Springer: Berlin/Heidelberg, Germany, 2017. [Google Scholar]
- Sabzikar, F.; Meerschaert, M.M.; Chen, J. Tempered fractional calculus. J. Comput. Phys. 2015, 293, 14–28. [Google Scholar] [CrossRef] [PubMed]
- Uchaikin, V.V.; Sibatov, R.T. Fractional differential kinetics of dispersive transport as the consequence of its self-similarity. JETP Lett. 2007, 86, 512–516. [Google Scholar] [CrossRef]
- Sibatov, R.T.; Uchaikin, V.V. Fractional differential approach to dispersive transport in semiconductors. Phys. Uspekhi 2009, 52, 1019–1043. [Google Scholar] [CrossRef]
- Peter, L.M.; Vanmaekelbergh, D. Advances in Electrochemical Science and Engineering; Alkire, R.C., Kolb, D.M., Eds.; Wiley: Hoboken, NJ, USA, 1999. [Google Scholar]
- Eyre, D.J. Unconditionally gradient stable time marching the Cahn-Hilliard equation. In MRS Proceedings; Cambridge University Press: Cambridge, UK, 1998; Volume 529, p. 39. [Google Scholar]
- Sander, E.; Wanner, T. Monte Carlo simulations for spinodal decomposition. J. Stat. Phys. 1999, 95, 925–948. [Google Scholar] [CrossRef]
- Barker, J.A.; Ramsdale, C.M.; Greenham, N.C. Modeling the current-voltage characteristics of bilayer polymer photovoltaic devices. Phys. Rev. B 2003, 67, 075205. [Google Scholar] [CrossRef]
- Choo, K.Y.; Muniandy, S.V.; Woon, K.L.; Gan, M.T.; Ong, D.S. Modeling anomalous charge carrier transport in disordered organic semiconductors using the fractional drift-diffusion equation. Org. Electron. 2017, 41, 157–165. [Google Scholar] [CrossRef]
- Rekhviashvili, S.S.; Alikhanov, A.A. Simulation of drift-diffusion transport of charge carriers in semiconductor layers with a fractal structure in an alternating electric field. Semiconductors 2017, 51, 755–759. [Google Scholar] [CrossRef]
- Baumann, A.; Lorrmann, J.; Deibel, C.; Dyakonov, V. Bipolar charge transport in poly (3-hexyl thiophene)/ methanofullerene blends: A ratio dependent study. Appl. Phys. Lett. 2008, 93, 252104. [Google Scholar] [CrossRef]






| Case | Conditions | Asymptotic Kernel Transform |
|---|---|---|
| I | Exponential DoS, | |
| II | Finite mean waiting time in LS, | |
| III | Conduction channel, , exponential DoS |
| E, V/cm | Slope 1 | Slope 2 | E, V/cm | Slope 1 | Slope 2 | ||||||
|---|---|---|---|---|---|---|---|---|---|---|---|
| 5000 | 0.8 | 1.0 | 0.987 | 1.0 | 1.0 | ||||||
| 2000 | 2.5 | 0.973 | 0.987 | 0.973 | 0.973 | ||||||
| 1200 | 8.5 | 0.933 | 0.946 | 0.920 | 0.920 | ||||||
| 800 | 18.7 | 0.773 | 0.760 | 0.760 | 0.747 | ||||||
| 700 | 23.4 | 0.733 | 0.706 | 0.520 | 0.507 | ||||||
| 600 | 28.3 | 0.693 | 0.693 | 0.453 | 0.453 | ||||||
| 500 | 36.5 | 0.627 | 0.615 | 0.413 | 0.413 |
| , nm | E, V/cm | Slope 1 | Slope 2 | E, V/cm | Slope 1 | Slope 2 | |||||
|---|---|---|---|---|---|---|---|---|---|---|---|
| 0.1 | 90 | 0.733 | 0.333 | 0.8 | 0.53 | ||||||
| 0.1 | 170 | 1.0 | 0.8 | 0.733 | 0.333 | ||||||
| 0.2 | 95 | 0.678 | 0.678 | 0.760 | 0.653 | ||||||
| 0.2 | 150 | 0.733 | 0.867 | 0.773 | 0.573 |
© 2017 by the authors. Licensee MDPI, Basel, Switzerland. This article is an open access article distributed under the terms and conditions of the Creative Commons Attribution (CC BY) license (http://creativecommons.org/licenses/by/4.0/).
Share and Cite
Sibatov, R.; Shulezhko, V.; Svetukhin, V. Fractional Derivative Phenomenology of Percolative Phonon-Assisted Hopping in Two-Dimensional Disordered Systems. Entropy 2017, 19, 463. https://doi.org/10.3390/e19090463
Sibatov R, Shulezhko V, Svetukhin V. Fractional Derivative Phenomenology of Percolative Phonon-Assisted Hopping in Two-Dimensional Disordered Systems. Entropy. 2017; 19(9):463. https://doi.org/10.3390/e19090463
Chicago/Turabian StyleSibatov, Renat, Vadim Shulezhko, and Vyacheslav Svetukhin. 2017. "Fractional Derivative Phenomenology of Percolative Phonon-Assisted Hopping in Two-Dimensional Disordered Systems" Entropy 19, no. 9: 463. https://doi.org/10.3390/e19090463
APA StyleSibatov, R., Shulezhko, V., & Svetukhin, V. (2017). Fractional Derivative Phenomenology of Percolative Phonon-Assisted Hopping in Two-Dimensional Disordered Systems. Entropy, 19(9), 463. https://doi.org/10.3390/e19090463

