Next Article in Journal
The Thermodynamical Arrow and the Historical Arrow; Are They Equivalent?
Next Article in Special Issue
Second-Law Analysis of Irreversible Losses in Gas Turbines
Previous Article in Journal
Robust Automatic Modulation Classification Technique for Fading Channels via Deep Neural Network
Previous Article in Special Issue
Entropy Analysis of the Interaction between the Corner Separation and Wakes in a Compressor Cascade
 
 
Font Type:
Arial Georgia Verdana
Font Size:
Aa Aa Aa
Line Spacing:
Column Width:
Background:
Article

A Numerical Study on Entropy Generation in Two-Dimensional Rayleigh-Bénard Convection at Different Prandtl Number

1
Faculty of Mechanical Engineering and Automation, Zhejiang Sci-Tech University, Hangzhou 310018, China
2
Shanghai Key Laboratory of Mechanics in Energy Engineering, Shanghai University, Shanghai 200072, China
*
Authors to whom correspondence should be addressed.
These authors contributed equally to this work.
Entropy 2017, 19(9), 443; https://doi.org/10.3390/e19090443
Submission received: 2 July 2017 / Revised: 16 August 2017 / Accepted: 21 August 2017 / Published: 30 August 2017
(This article belongs to the Special Issue Entropy in Computational Fluid Dynamics)

Abstract

:
Entropy generation in two-dimensional Rayleigh-Bénard convection at different Prandtl number (Pr) are investigated in the present paper by using the lattice Boltzmann Method. The major concern of the present paper is to explore the effects of Pr on the detailed information of local distributions of entropy generation in virtue of frictional and heat transfer irreversibility and the overall entropy generation in the whole flow field. The results of this work indicate that the significant viscous entropy generation rates (Su) gradually expand to bulk contributions of cavity with the increase of Pr, thermal entropy generation rates (Sθ) and total entropy generation rates (S) mainly concentrate in the steepest temperature gradient, the entropy generation in the flow is dominated by heat transfer irreversibility and for the same Rayleigh number, the amplitudes of Su, Sθ and S decrease with increasing Pr. It is found that that the amplitudes of the horizontally averaged viscous entropy generation rates, thermal entropy generation rates and total entropy generation rates decrease with increasing Pr. The probability density functions of Su, Sθ and S also indicate that a much thinner tail while the tails for large entropy generation values seem to fit the log-normal curve well with increasing Pr. The distribution and the departure from log-normality become robust with decreasing Pr.

1. Introduction

Natural convection heat transfer is widely applied in some important processes in engineering such as thermal storage, environmental comfort, grain drying, electronic cooling and other areas [1,2]. Rayleigh-Bénard (RB) convection is one of most classical natural convection in engineering. Several works with experimental [3,4,5,6,7,8,9,10,11] and numerical approaches [12,13,14,15,16,17,18] in various areas are available.Various Prandtl (Pr) numbers that range from 0(10−2) for mercury and molten metals to 0(104) for silicon oils have raised concern in various applications convection. The Pr values of 1023 in the viscous rocky part of the Earth’s mantle further emerges in convection of planetary interiors. Thus, a systematic investigation of the dependence of the efficiency loss on the Prandtl number is worth performing. The process efficiency loss in all real processes can be closely related with the friction, mass transference, thermal gradients, chemical reactions, etc. Previous studies of entropy had emphasized potential advantages to evaluation of loss in engineering applications [13,14,19,20,21,22]. De reported the entropy generations due to heat and flow transport in the cavity and minimizing the entropy generation by using the second law of thermodynamics [13]. An optimal configuration with minimum loss of available energy may be gained using this method.
The importance of thermal boundary conditions in heat transfer processes and entropy generation characteristics inside a porous enclosure was investigated by Zahmatkesh [14]. To do this, a wide range of Darcy-modified Rayleigh numbers was analyzed by simulating the natural convection processes in a porous enclosure. Nayak [19] reported that combination of entropy generation with nanofluid-filled cavity block insertion. The thermodynamic optimization of the mixed convection were demonstrated by evaluating entropy generation and Bejan number. It is showed that the heat transfer rate increases remarkably by the addition of nanoparticles. The natural convection and entropy generation of nanofluid-filled cavities having different shaped obstacles with magnetic field effect was studied by Oztop [20]. It should be mentioned to this end the very good review paper on entropy generation in nanofluid flow by Mahian et al. [21]. A critical review of contributions to the theory and application of entropy generation analysis to different types of engineering systems was reported by Sciacovelli et al. [22]. The focus of the work is only on contributions oriented toward the use of entropy generation analysis as a tool for the design and optimization of engineering systems [22].
The main aim of the present work is the study of entropy generation in RB convection processes at different Prandtl numbers based on the minimal entropy generation principle by numerical simulation. The minimal entropy generation principle is that entropy generation in flow systems is associated with a loss of exergy. This is important, when exergy is used in a subsequent process and therefore its loss has to be minimized. The detailed information of local distributions of entropy generation due to frictional and heat transfer irreversibility at different Prandtl numbers as well as the overall entropy generation in the whole flow field are analyzed separately. All the numerical simulations have been implemented using a lattice Boltzmann scheme. Previous studies of the lattice Boltzmann method had emphasized potential advantages in a variety of single, multiphase and thermal fluid hydrodynamic problems [23,24,25,26,27,28,29]. Governing equations and numerical methods will be briefly described first in the following section. After that, the detailed numerical results and discussions are presented. Finally, some concluding remarks are provided.

2. Governing Equations and Numerical Method

2.1. Governing Equations

To study the dynamics of the fluid, the classical Oberbeck-Boussinesq (Ahlers et al. [8]; Lohse and Xia [6]) equations are adopted in this paper:
ρ t + ( ρ u ) = 0
( ρ u ) t + ( ρ u u ) = p + ( 2 ρ ν S ) g β Δ θ
θ t + u θ = κ 2 θ
where ν and κ represent the kinematic viscosity and the diffusivity, respectively.

2.2. Entropy Generation

The amount of phenomenological information contained in the local entropy generation rates are studied by many researchers. As discussed in Bejan [30], Iandoli [31], Magherbi [32], Rejane [33], Mahian [21], Sheremet [34], Bhatt [35,36], Abbas [37] and Qing [38], etc., it is possible to derive an exact formula for both the viscous and the thermal components of the local entropy generation rates. In Cartesian notation of two-dimensional, the expressions are as follows:
S u = μ θ { 2 [ ( u x ) 2 + ( v y ) 2 ] + ( u y + v x ) 2 }
S θ = κ θ 2 [ ( θ x ) 2 + ( θ y ) 2 ]
and the total entropy generation rates can be given by:
S = S u + S θ
Previous studies of the Bejan number (Be) had emphasized potential advantages to the importance of heat transfer irreversibility in the domain [39]. Be is proposed by Paoletti et al. [39]. Paoletti et al. investigated he contribution of heat transfer entropy generation on over all entropy generation by using the Be. Be is defined as:
B e = S θ S
The range of Be is from 0 to 1. When Be is equal to 0, the irreversibility is dominated by fluid friction. Correspondingly, the irreversibility is dominated by heat transfer when Be is equal to 1. The irreversibility due to heat transfer dominates in the flow when Be is greater than 1/2. Correspondingly, Be < 1/2 implies that the irreversibilities due to the viscous effects dominate the processes. Meanwhile, it is also noted that the heat transfer and fluid friction entropy generation are equal in Be = 0.5 [39].

2.3. Numerical Method

Two simple lattice Bhatnagar-Gross-Krook (LBGK) collision operator are introduced. Specially, the evolution of LBGK is described by the following equation [27,28,29]:
f i ( x + c i Δ t , t + Δ t ) = f i ( x , t ) + ( f i e q ( x , t ) f i ( x , t ) ) / τ ν + F i
g i ( x + c i Δ t , t + Δ t ) = g i ( x , t ) + ( g i e q ( x , t ) g i ( x , t ) ) / τ θ
where f i ( x , t ) , g i ( x , t ) stand for the probability density functions to find at ( x , t ) a particle velocity belongs to a discrete and limited set c i (with i = 0 , , 8 in the D 2 Q 9 adopted here). F i is the discrete mesoscopic force corresponding with buoyant body force of Equation (2), τ ν and τ θ are the relaxation times for flow and temperature in lattice Boltzmann equations, respectively. The equilibrium function for the density distribution function is given as [28]:
f i e q = ρ w i [ 1 + c i u c s 2 + ( c i u ) 2 c s 4 u 2 2 c s 2 ]
g i e q = θ w i [ 1 + c i u c s 2 + ( c i u ) 2 c s 4 u 2 2 c s 2 ]
where w i is the associated weighting coefficient [23]. The kinematic viscosity ν and the diffusivity κ are given by:
ν = 2 τ ν 1 6 ( Δ x ) 2 Δ t ,   κ = 2 τ θ 1 6 ( Δ x ) 2 Δ t
Density, momentum, and temperature are defined as coarse-grained (in velocity space) fields of the distribution functions:
ρ = i = 0 8 f i ,   ρ u = i = 0 8 c i f i ,   θ = i = 0 8 g i ,
A Chapman-Enskog expansion leads to the equations for density, momentum, and temperature from (8) and (9). To derive the classical Oberbeck-Boussinesq equations (Equations (1)–(3)), Two macroscopic time scales (t1 = εt, t2 = εt) and a macroscopic length scale (x1 = εx) are introduced. As for the FHP model two time scales and one spatial scale with ∂t = ε∂t1 + ε2t2 and x = ε∂α will be introduced. According to the above Chapman-Enskog expansion, the streaming step on the left-hand side reproduces the inertial terms in the classical Oberbeck-Boussinesq equations (Equations (1)–(3)).
Two important dimensionless parameters in RB convection are introducted in the following section. Ra is defined as R a = β Δ θ g H 3 / ν κ . The enhancement of the heat transfer can be calculated by the Nusselt number N u = 1 + u y θ / κ Δ θ H in the numerical results of LBM, where Δ θ is the temperature difference between the bottom and top walls, H is the channel height, u y is the vertical velocity, and . represents the average over the whole flow domain.

3. Simulation Results and Discussions

3.1. Analysis of Su and Sθ

The entropy generation problem due to RB convection with various Pr in rectangular cavities is investigated. The incompressible, the Boussinesq approximation and the two-dimensional flow characteristics are implemented in the present paper. Schematic view of cavity is indicated in Figure 1. The grid verification of the results is inspected before the comparison. One example of the Rayleigh number of 5.4 × 109 is presented in Table 1. The number of grid points is taken the same in both the x and y directions in the present study. The size of grid points is taken as N × N, in which N is the grid number in each spatial direction. It is shown that the calculated Nusselt number (Nu) changes with N. It is seen that when N increases, the Nu quickly approaches the benchmark result at Table 1. When N further increases from 2012 to 2400, not much improvement occurs for the result. So we can say that 2012 × 2012 lattices can give very accurate results for Ra = 5.4 × 109.
Numerical simulations of two-dimensional RB convection at Pr = 6, 20, 100 and 106 are implemented by using LBM at Ra = 5.4 × 109 in the present study. All two-dimensional simulations at different Pr are performed on 2012 × 2012 lattices. The no-slip boundary conditions are executed for top and bottom plates, which is same as left and right boundary condition in all simulations. The dimensionless initial temperature of bottom plates is equal to 1, and the dimensionless initial temperature of top plates is equal to 0. And the initial temperature between top and bottom plates is linear distribution from 0 to 1. When the heat flow about 2012 × 2012 lattice domain reaches steady state, CPU time of one case is 10 h by using the CPU of 16 cores.
Figure 2a–d show flow field and typical snapshots of the instantaneous temperature field obtained at four Prandtl number (Pr = 6, 20, 100, 106 and Ra = 5.4 × 109). Blue (red) regions correspond to cold (hot) fluid. Large-scale circulations of the fluid are shaped, which develop mainly in the regions among the center of cavity at Figure 2a. And small vortex are emerged in four corners of square cavity, respectively. Large-scale circulations of the fluid in cavity are dissolved gradually with increasing Pr, which is similar to visualization of experiment for large Pr [6,11]. Large-scale structures of smaller thermal plumes gradually develop into rise and fall with increasing Pr from the bottom to top walls.
The corresponding logarithmic fields of viscous entropy generation rates Su at four Prandtl number are shown in Figure 3a–d. From Figure 3a, it can be seen that the significant Su concentrates in the narrow region adjacent to the walls at Pr = 6, which is resulted from the steepest velocity gradient in the near-wall regions. It is observed that with the increase of Pr, the significant Su gradually expands to bulk contributions of cavity from Figure 3b to Figure 3d, which is resulted from the steepest velocity gradient in the bulk of cavity.
The distributions of thermal entropy generation rates Sθ for the four cases are shown in Figure 4. It is observed that the significant Sθ concentrates in the narrow region adjacent to the walls at Pr = 6 in Figure 4a, which is resulted from the steepest temperature gradient in the near-wall regions. From Figure 4b to Figure 4d, it is can be seen that the significant Sθ gradually expands to bulk contributions of cavity, which is resulted from the steepest temperature gradient in the bulk of the cavity.
The corresponding logarithmic fields of the total entropy generation rates S are shown in Figure 5. Respectively, S is similar to the visualization of Sθ at the same Pr, which shows that the heat transfer dominates in the flow of cavity. Comparing Figure 3 and Figure 4, it is noted that Sθ is much larger than Su. This also indicates the entropy generation in the flow is dominated by heat transfer irreversibility. Moreover, one sees that the amplitudes of both Su and Sθ decrease with increasing Pr.
Figure 6 shows the distribution of Be at different Pr. For all cases, the values of Be in the region distributes in cavity, the region with Be greater than 0.5 distributes in the boundary layer and bulk contributions of cavity, which also indicates the entropy generation in the region is dominated by the heat transfer irreversibility.

3.2. Vertical Profiles of Su and Sθ

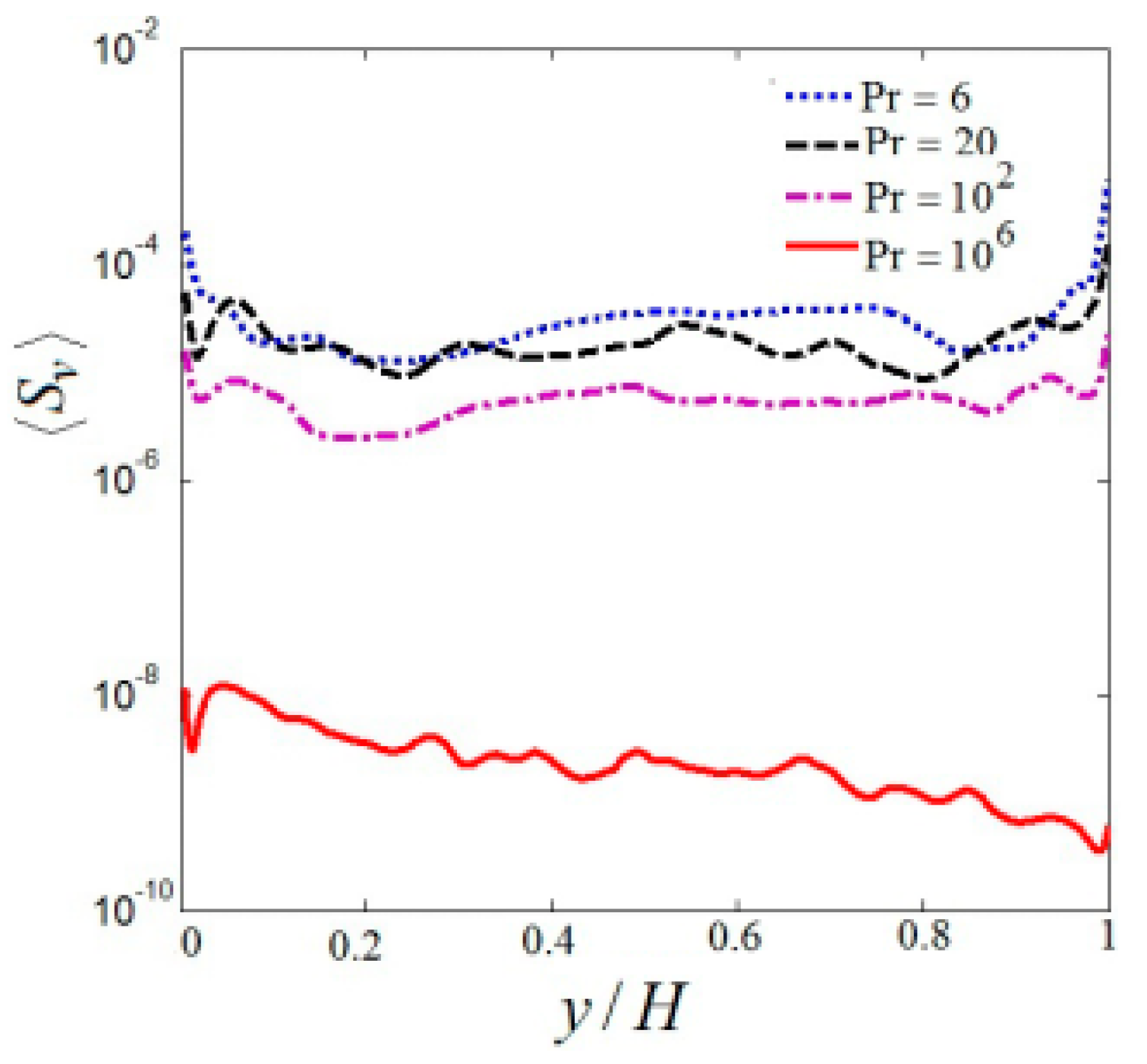
Figure 7 displays the vertical profiles of the horizontally averaged viscous entropy generation rates S u x at various Pr. From Figure 7, it can be seen that the the horizontally averaged viscous entropy generation rates S u x of the top boundary layer and the bottom boundary layer is greater than the bulk contributions of cavity at various Pr, which is resulted from the steepest velocity gradient in the near-wall regions. Moreover, one sees that the amplitudes of the horizontally averaged viscous entropy generation rates S u x decrease with increasing Pr.
The vertical profiles of the horizontally averaged thermal entropy generation rates S θ x is shown in Figure 8. Comparing Figure 7 and Figure 8, it is noted that the horizontally averaged thermal entropy generation rates S θ x is similar to the horizontally averaged viscous entropy generation rates S u x . This also indicates that the horizontally averaged thermal entropy generation rates S θ x of the top boundary layer and the bottom boundary layer is greater than bulk contributions of cavity at various Pr. Figure 9 shows the horizontally averaged total entropy generation rates S x , which is also similar to the horizontally averaged viscous entropy generation rates. Moreover, it is observed that the amplitudes of the horizontally averaged total entropy generation rates also decrease with increasing Pr.
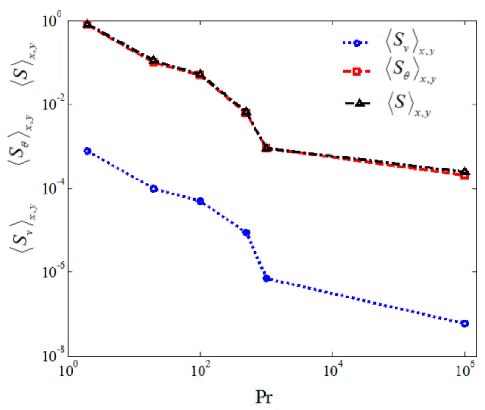
Figure 10 shows that the mean values of Su, Sθ and S in the whole area versus Pr. It is observed that the mean values of Su, Sθ and S in the whole area decrease with increasing Pr for the same Rayleigh number. It is also observed that the value of the thermal entropy generation is the two order of magnitude of viscous entropy generation, which also indicates the entropy generation in the flow is dominated by heat transfer irreversibility.

3.3. Probability Density Functions (PDFs) of Su and Sθ

Figure 11, Figure 12 and Figure 13 plot the probability density functions (PDFs) of Su, Sθ and S normalized by their respective rms value ( S u ) rms = [ S u S u V ] 2 V , ( S θ ) rms = [ S θ S θ V ] 2 V , and ( S ) rms = [ S S V ] 2 V at various Pr. Self-similarity of viscous entropy generation rates, thermal entropy generation rates and total entropy generation rates fluctuations is revealed by the observations that the PDFs obtained at distinct times collapse well on top of each other for Su, Sθ and S. In addition, strong fluctuations for Su, Sθ and S are revealed by the observations that the long tail of the calculated PDFs. In correspondence with the cases of both passive [40] and active scalars, a stretched exponential function is used to fit to the fraction of the PDF that extends from the most probable (mp) amplitude to the end of the tail. A stretched exponential function is given as:
p ( Y ) = C Y exp ( m Y α )
where C, m, and α are fitting parameters, and Y = XXmp with X = Su/(Su)rms, Sθ/(Sθ)rms , S/(S)rms and Xmp being the abscissa of the most probable amplitude. The best fit of Equation (14) to the data yields m = 0.86 and α = 0.72 for Su, m = 1.15 and α = 0.69 for Sθ and m = 1.06 and α = 0.72 for S. To highlight the differences in our present case for various Pr, we plot in Figure 11 the PDFs of Su, in Figure 12 the PDFs of Sθ and in Figure 13 the PDFs of S in a log-log scale.
The dashed lines in in Figure 11, Figure 12 and Figure 13 indicate the log-normal distribution for comparison at various Pr. It is seen that for viscous entropy generation rates, thermal entropy generation rates and total entropy generation rates, small entropy generation values show a much thinner tail while the tails for large entropy generation values seem to fit the log-normal curve well with increasing Pr. The distribution and the departure from log-normality become robust within the self-similarity range with decreasing Pr.

4. Conclusions

The entropy generation for two-dimensional thermal convection at different Pr are investigated in the present study with LBM. Special attention is paid to analyze separately the detailed information of local distributions of entropy generation in virtue of frictional and heat transfer irreversibility and the overall entropy generation in the whole flow field. Several conclusions can be summarized.
Firstly, the significant Su gradually expands to bulk contributions of cavity with the increase of Pr, which is resulted from the steepest velocity gradient in the bulk of cavity. Sθ and S mainly concentrate in the steepest temperature gradient in cavity.
In addition, the entropy generation in the flow heat transfer irreversibility plays an important role, frictional irreversibility can be neglected.
Thirdly, the amplitudes of Su, Sθ and S decrease with increasing Pr for the same Rayleigh number. Further, the amplitudes of the horizontally averaged Su, Sθ and S decrease with increasing Pr.
Finally, the PDFs of Su, Sθ and S obtained at various Pr indicate that with increase of Pr, the tails for large entropy generation values seem to fit the log-normal curve well while a much thinner tail. The distribution and the departure from log-normality become robust with decreasing Pr.
In this study it was possible to observe that the thermal and hydrodynamic problem is highly coupled. For a thermophysical configuration involving thermal convection, the larger Pr are the better option. Increasing Pr increase the systems efficiency. This different Pr and thermophysical configuration could be applied, for example, in technical applications convection is characterized by very different Pr, ranging from 0(10−2) for mercury and molten metals to 0(104) for silicon oils.

Acknowledgments

This work was supported by the Young Researchers Foundation of Zhejiang Provincial Top Key Academic Discipline of Mechanical Engineering, the National Natural Science Foundation of China (51536008, 91441104 and 11502237), Zhejiang Province Science and Technology Innovation Team Project (2013TD18) and the Department of Education Project of Zhejiang Province (No. Y201534610). The authors appreciate sincerely the referees valuable comments and suggestions on our work.

Author Contributions

The authors contributed equally to this work.

Conflicts of Interest

The authors declare no conflict of interest.

References

  1. Lage, J.L.; Lim, J.S.; Bejan, A. Natural convection with radiation in a cavity with open top end. J. Heat Transf. 1992, 114, 479–486. [Google Scholar] [CrossRef]
  2. Khaled, A.S. Natural convection coupled with radiation heat transfer in an inclined porous cavity with corner heater. Comput. Fluids 2014, 102, 74–84. [Google Scholar]
  3. Nelson, J.E.; Balakrishnan, A.R.; Murthy, S.S. Experiments on stratified chilled-water tanks. Int. J. Refrig. 1999, 22, 216–234. [Google Scholar] [CrossRef]
  4. Ampofo, F.; Karayiannis, T.G. Experimental benchmark data for turbulent natural convection in an air filled square cavity. Int. J. Heat Mass Transf. 2003, 46, 3551–3572. [Google Scholar] [CrossRef]
  5. Adeyinka, O.B.; Naterer, G.F. Experimental uncertainty of measured entropyproduction with pulsed laser PIV and planar laser induced fluorescence. Appl. Therm. Eng. 2005, 48, 1450–1461. [Google Scholar]
  6. Lohse, D.; Xia, K.Q. Small-scale properties of turbulent Rayleigh-Bénard convection. Annu. Rev. Fluid Mech. 2010, 42, 335–364. [Google Scholar] [CrossRef]
  7. Chilla, F.; Schumacher, J. New perspectives in turbulent Rayleigh-Bénard convection. Eur. Phys. J. E 2012, 35, 58–82. [Google Scholar] [CrossRef] [PubMed]
  8. Ahlers, G.; Grossmann, S.; Lohse, D. Heat transfer and large scale dynamics in turbulent Rayleigh-Bénard convection. Rev. Mod. Phys. 2009, 81, 503–537. [Google Scholar] [CrossRef]
  9. Sun, C.; Zhou, Q.; Xia, K.Q. Cascades of velocity and temperature fluctuations in buoyancy-driven thermal turbulence. Phys. Rev. Lett. 2006, 97, 144504. [Google Scholar] [CrossRef] [PubMed]
  10. Zhou, Q.; Xia, K.Q. Aspect ratio dependence of heat transport by turbulent Rayleigh-Bénard convectin in rectangular cells. J. Fluid Mech. 2011, 710, 260–276. [Google Scholar] [CrossRef]
  11. Zhou, Q.; Xia, K.Q. Physical and geometrical properties of thermal plumes in turbulent Rayleigh-Bénard convection. New J. Phys. 2012, 12, 075006. [Google Scholar] [CrossRef]
  12. Poujol, F.T. Natural convection of a high Prandtl number fluid in cavity. Int. Commun. Heat Mass Transf. 2000, 27, 109–118. [Google Scholar] [CrossRef]
  13. De, R.; Oliveski, C.; Krenzinger, A.; Vielmo, H.A. Cooling of cylindrical vertical tank submitted to natural internal convection. Int. J. Heat Mass Transf. 2003, 46, 2015–2026. [Google Scholar]
  14. Zahmatkesh, I. On the importance of thermal boundary conditions in heat transfer and entropy generation for natural convection inside a porous enclosure. Int. J. Therm. Sci. 2008, 47, 339–346. [Google Scholar] [CrossRef]
  15. Andreozzi, A.; Auletta, A.; Manca, O. Entropy generation in natural convection in a symmetrically and uniformly heated vertical channel. Int. J. Heat Mass Transf. 2006, 49, 3221–3228. [Google Scholar] [CrossRef]
  16. Dagtekin, I.; Oztop, H.F.; Bahloul, A. Entropy generation for natural convection in C-shaped enclosures. Int. Commun. Heat Mass Transf. 2007, 34, 502–510. [Google Scholar] [CrossRef]
  17. Shishkina, O.; Wagner, C. Analysis of sheet like thermal plumes in turbulent Rayleigh-Bénard convection. J. Fluid Mech. 2012, 599, 383–404. [Google Scholar] [CrossRef]
  18. Kaczorowski, M.; Wagner, C. Analysis of the thermal plumes in turbulent Rayleigh-Bénard convection based on well-resolved numerical simulations. J. Fluid Mech. 2011, 618, 89–112. [Google Scholar] [CrossRef]
  19. Nayak, R.K.; Bhattacharyya, S.; Pop, I. Numerical study on mixed convection and entropy generation of Cu-water nanofluid in a differentially heated skewed enclosure. Int. J. Heat Mass Transf. 2015, 85, 620–634. [Google Scholar] [CrossRef]
  20. Selimefendigil, F.; Öztop, H.F. Natural convection and entropy generation of nanofluid filled cavity having different shaped obstacles under the influence of magnetic field and internal heat generation. J. Taiwan Inst. Chem. Eng. 2015, 56, 42–56. [Google Scholar] [CrossRef]
  21. Mahian, O.; Kianifar, A.; Pop, I. A review on entropy generation in nanofluid flow. Int. J. Heat Mass Transf. 2013, 65, 514–532. [Google Scholar] [CrossRef]
  22. Sciacovelli, A.; Verda, V.; Sciubba, E. Entropy generation analysis as a design tool—A review. Renew. Sustain. Energy Rev. 2015, 43, 1167–1181. [Google Scholar] [CrossRef]
  23. Qian, Y.H.; D’Humieres, D.; Lallemand, P. Lattice BGK Models for Navier-Stokes Equation. Europhys. Lett. 1992, 17, 479–484. [Google Scholar] [CrossRef]
  24. Chen, S.Y.; Doolen, G.D. Lattice Boltzmann method for fluid flows. Annu. Rev. Fluid Mech. 1998, 30, 329–364. [Google Scholar] [CrossRef]
  25. Aidun, C.K. Lattice-Boltzmann Method for Complex Flows. Annu. Rev. Fluid Mech. 2010, 42, 439–472. [Google Scholar] [CrossRef]
  26. Shan, X. Simulation of Rayleigh-Bénard convection using a lattice Boltzmann method. Phys. Rev. E 1997, 55, 2780–2788. [Google Scholar] [CrossRef]
  27. He, X.; Chen, S.; Doolen, G.D. A novel thermal model for the lattice Boltzmann method in incompressible limit. J. Comput. Phys. 1998, 146, 282–300. [Google Scholar] [CrossRef]
  28. Wei, Y.K.; Wang, Z.D.; Yang, J.F.; Dou, H.S.; Qian, Y.H. Simulation of natural convection heat transfer in an enclosure using lattice Boltzmann method. Comput. Fluids 2016, 124, 30–38. [Google Scholar] [CrossRef]
  29. Wei, Y.K.; Dou, H.S.; Yang, H. Characteristics of heat transfer with different dimensionless distance in an enclosure. Mod. Phys. Lett. B 2016, 30, 1650364–1650369. [Google Scholar] [CrossRef]
  30. Bejan, A. Entropy Generation through Heat and Fluid Flow; John Wiley & Sons: New York, NY, USA, 1982. [Google Scholar]
  31. Iandoli, C.L. Analysis of the Entropy Generation Fields of a Low ns Centrifugal Compressor. Master’s Thesis, University of Rome, Rome, Italy, 2000. (In Italian). [Google Scholar]
  32. Magherbi, M.; Abbassi, H.; Brahim, A.B. Entropy generation at the onset of natural convection. Int. J. Heat Mass Transf. 2003, 46, 3441–3450. [Google Scholar] [CrossRef]
  33. Rejane, D.C.; Mario, H.; Copetti, J.B. Entropy generation and natural convection in rectangular cavities. Appl. Therm. Eng. 2009, 29, 1417–1425. [Google Scholar]
  34. Sheremet, M.A.; Oztop, H.F.; Pop, I.; Hamdeh, N.A. Analysis of Entropy Generation in Natural Convection of Nanofluid inside a Square Cavity Having Hot Solid Block: Tiwari and Das’Model. Entropy 2016, 18, 9. [Google Scholar] [CrossRef]
  35. Bhatti, M.M.; Abbas, T.; Rashidi, M.M.; Ali, M.E.; Yang, Z.G. Entropy Generation on MHD Eyring-Powell Nanofluid through a Permeable Stretching Surface. Entropy 2016, 18, 224. [Google Scholar] [CrossRef]
  36. Bhatti, M.M.; Rashidi, M.M. Entropy generation with nonlinear thermal radiation in MHD boundary layer flow over a permeable shrinking/stretching sheet: Numerical solution. J. Nanofluids 2016, 5, 543–554. [Google Scholar] [CrossRef]
  37. Abbas, M.A.; Bai, Y.; Rashidi, M.M.; Bhatti, M.M. Analysis of Entropy Generation in the Flow of Peristaltic Nanofluids in Channels with Compliant Walls. Entropy 2016, 18, 90. [Google Scholar] [CrossRef]
  38. Qing, J.; Bhatti, M.M.; Abbas, M.A.; Rashidi, M.M.; Ali, M.S. Entropy Generation on MHD Casson Nanofluid Flow over a Porous Stretching/Shrinking Surface. Entropy 2016, 18, 123. [Google Scholar] [CrossRef]
  39. Paoletti, S.; Rispoli, F.; Sciubba, E. Calculation of exergetic losses in compact heat exchanger passages. ASME AES 1989, 10, 21–29. [Google Scholar]
  40. Schumacher, J.; Sreenivasan, K.R. Statistics and geometry of passive scalars in turbulence. Phys. Fluids 2005, 17, 125107. [Google Scholar] [CrossRef]
Figure 1. Schematic view of cavity.
Figure 1. Schematic view of cavity.
Entropy 19 00443 g001
Figure 2. Flow field and temperature distributions at various Prandtl numbers from (ad) (Pr = 6, 20, 100, 106 and Ra = 5.4 × 109).
Figure 2. Flow field and temperature distributions at various Prandtl numbers from (ad) (Pr = 6, 20, 100, 106 and Ra = 5.4 × 109).
Entropy 19 00443 g002
Figure 3. Viscous entropy generation rate at various Prandtl numbers from (ad) (Pr = 6, 20, 100, 106 and Ra = 5.4 × 109).
Figure 3. Viscous entropy generation rate at various Prandtl numbers from (ad) (Pr = 6, 20, 100, 106 and Ra = 5.4 × 109).
Entropy 19 00443 g003
Figure 4. Thermal entropy generation rate at various Prandtl numbers from (ad) (Pr = 6, 20, 100, 106 and Ra = 5.4 × 109).
Figure 4. Thermal entropy generation rate at various Prandtl numbers from (ad) (Pr = 6, 20, 100, 106 and Ra = 5.4 × 109).
Entropy 19 00443 g004
Figure 5. Total entropy generation rate at various Prandtl numbers from (ad) (Pr = 6, 20, 100, 106 and Ra = 5.4 × 109).
Figure 5. Total entropy generation rate at various Prandtl numbers from (ad) (Pr = 6, 20, 100, 106 and Ra = 5.4 × 109).
Entropy 19 00443 g005
Figure 6. The contours of Be at various Prandtl numbers from (ad) (Pr = 6, 20, 100, 106 and Ra = 5.4 × 109).
Figure 6. The contours of Be at various Prandtl numbers from (ad) (Pr = 6, 20, 100, 106 and Ra = 5.4 × 109).
Entropy 19 00443 g006
Figure 7. Mean vertical profiles of the the horizontally averaged viscous entropy generation rates S u x at various Prandtl numbers.
Figure 7. Mean vertical profiles of the the horizontally averaged viscous entropy generation rates S u x at various Prandtl numbers.
Entropy 19 00443 g007
Figure 8. Mean vertical profiles of the the horizontally averaged thermal entropy generation rates S θ x at various Prandtl numbers.
Figure 8. Mean vertical profiles of the the horizontally averaged thermal entropy generation rates S θ x at various Prandtl numbers.
Entropy 19 00443 g008
Figure 9. Mean vertical profiles of the the horizontally averaged total entropy generation rates S x at various Prandtl numbers.
Figure 9. Mean vertical profiles of the the horizontally averaged total entropy generation rates S x at various Prandtl numbers.
Entropy 19 00443 g009
Figure 10. Mean values of Su, Sθ and S in the whole area vs. Prandtl number.
Figure 10. Mean values of Su, Sθ and S in the whole area vs. Prandtl number.
Entropy 19 00443 g010
Figure 11. PDFs of viscous entropy generation rates Su by their rms (Su)rms value.
Figure 11. PDFs of viscous entropy generation rates Su by their rms (Su)rms value.
Entropy 19 00443 g011
Figure 12. PDFs of thermal entropy generation rates Sθ by their rms (Sθ)rms value.
Figure 12. PDFs of thermal entropy generation rates Sθ by their rms (Sθ)rms value.
Entropy 19 00443 g012
Figure 13. PDFs of total entropy generation rates S by their rms (S)rms value.
Figure 13. PDFs of total entropy generation rates S by their rms (S)rms value.
Entropy 19 00443 g013
Table 1. Grid verification for RB convection in a square cavity at Ra = 5.4 × 109.
Table 1. Grid verification for RB convection in a square cavity at Ra = 5.4 × 109.
Mesh600 × 6001200 × 12002012 × 20122200 × 22002400 × 2400
Nu683.23693.08697.35697.36697.36

Share and Cite

MDPI and ACS Style

Wei, Y.; Wang, Z.; Qian, Y. A Numerical Study on Entropy Generation in Two-Dimensional Rayleigh-Bénard Convection at Different Prandtl Number. Entropy 2017, 19, 443. https://doi.org/10.3390/e19090443

AMA Style

Wei Y, Wang Z, Qian Y. A Numerical Study on Entropy Generation in Two-Dimensional Rayleigh-Bénard Convection at Different Prandtl Number. Entropy. 2017; 19(9):443. https://doi.org/10.3390/e19090443

Chicago/Turabian Style

Wei, Yikun, Zhengdao Wang, and Yuehong Qian. 2017. "A Numerical Study on Entropy Generation in Two-Dimensional Rayleigh-Bénard Convection at Different Prandtl Number" Entropy 19, no. 9: 443. https://doi.org/10.3390/e19090443

APA Style

Wei, Y., Wang, Z., & Qian, Y. (2017). A Numerical Study on Entropy Generation in Two-Dimensional Rayleigh-Bénard Convection at Different Prandtl Number. Entropy, 19(9), 443. https://doi.org/10.3390/e19090443

Note that from the first issue of 2016, this journal uses article numbers instead of page numbers. See further details here.

Article Metrics

Back to TopTop