Investigating the Thermodynamic Performances of TO-Based Metamaterial Tunable Cells with an Entropy Generation Approach
Abstract
1. Introduction
2. Theoretical Method and Geometrical Models
2.1. Rotation of Heat Flux Based on Transformation Optics
2.2. Description of Tunable Cell Scheme
3. Thermodynamic Performance of Tunable Cell Schemes
3.1. Properties of Temperature Distributions and Heat Flux Bending
3.2. Analysis of Entropy Generation
4. Conclusions
- (1)
- The universal expression for local entropy generation rate in such a rotational system has been deduced by considering many rotation angles in the initial domain. The deduced expression contributed to a better understanding of the thermodynamic performances of functionally graded materials based on transformation optics.
- (2)
- The local entropy generation rates of metamaterial tunable cells have been obtained. With increasing clockwise rotation angles, the local entropy generation rate increased accordingly, owing to the extensions of parallel distance components of the heat transfer process. However, it significantly increased in the layers with higher conductivities where stronger thermodynamic processes occurred.
- (3)
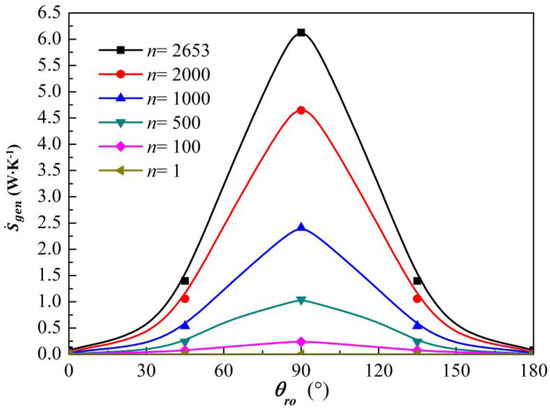
- The total entropy generation rates of the entire system have been investigated. The values increased linearly with the increasing conductivity ratios. In addition, the highest values occurred when θro = 90°, i.e., the arrangement of materials was parallel to the x-direction; the minimum value occurred when θro = 0°, i.e., the schemes were without rotations.
- (4)
- The thermal dissipations and system irreversibility would be enhanced with increasing conductivity ratio of the tunable cell scheme and clockwise rotation angles in the range of 0°–90° (or with reducing clockwise rotation angles in the range of 90°–180°). Hence, the thermal energy distributions could be regulated by adjusting n and θro, and multifunctional TO devices can be easily fabricated via employing tunable cells.
Supplementary Materials
Acknowledgments
Author Contributions
Conflicts of Interest
References
- Pendry, J.B.; Shurig, D.; Smith, D.R. Controlling electromagnetic fields. Science 2006, 312, 1780–1782. [Google Scholar] [CrossRef] [PubMed]
- Valentine, J.; Li, J.; Zentgraf, T.; Bartal, G.; Zhang, X. An optical cloak made of dielectrics. Nat. Mater. 2009, 8, 568–571. [Google Scholar] [CrossRef] [PubMed]
- Ni, X.; Wong, Z.J.; Mrejen, M.; Wang, Y.; Zhang, X. An ultrathin invisibility skin cloak for visible light. Science 2015, 349, 1310–1314. [Google Scholar] [CrossRef] [PubMed]
- Schurig, D.; Mock, J.J.; Justice, B.J. Metamaterial electromagnetic cloak at microwave frequencies. Science 2006, 314, 977–980. [Google Scholar] [CrossRef] [PubMed]
- Gömöry, F.; Solovyov, M.; Šouc, J.; Navau, C.; Prat-Camps, J.; Sanchez, A. Experimental realization of a magnetic cloak. Science 2012, 335, 1466–1468. [Google Scholar] [CrossRef] [PubMed]
- Bückmann, T.; Thiel, M.; Kadic, M.; Schittny, R.; Wegener, M. An elasto-mechanical unfeelability cloak made of pentamode metamaterials. Nat. Commun. 2014, 5. [Google Scholar] [CrossRef] [PubMed]
- Kadic, M.; Bückmann, T.; Schittny, R.; Gumbsch, P.; Wegener, M. Pentamode metamaterials with independently tailored bulk modulus and mass density. Phys. Rev. Appl. 2014, 2. [Google Scholar] [CrossRef]
- Hu, W.; Fan, Y.; Ji, P.; Yang, J. An experimental acoustic cloak for generating virtual images. J. Appl. Phys. 2013, 113, 24911. [Google Scholar] [CrossRef]
- Li, Q.; Vipperman, J.S. Two-dimensional acoustic cloaks of arbitrary shape with layered structure based on transformation acoustics. Appl. Phys. Lett. 2014, 105, 101906. [Google Scholar] [CrossRef]
- Fan, C.Z.; Gao, Y.; Huang, J.P. Shaped graded materials with an apparent negative thermal conductivity. Appl. Phys. Lett. 2008, 92, 251907. [Google Scholar] [CrossRef]
- Narayana, S.; Sato, Y. Heat flux manipulation with engineered thermal materials. Phys. Rev. Lett. 2012, 108, 214303. [Google Scholar] [CrossRef] [PubMed]
- Guenneau, S.; Amra, C.; Veynante, D. Transformation thermodynamics: Cloaking and concentrating heat flux. Opt. Express 2012, 20, 8207–8218. [Google Scholar] [CrossRef] [PubMed]
- Schittny, R.; Kadic, M.; Guenneau, S.; Wegener, M. Experiments on transformation thermodynamics: Molding the flow of heat. Phys. Rev. Lett. 2013, 110, 195901. [Google Scholar] [CrossRef] [PubMed]
- Ma, Y.; Lan, L.; Jiang, W.; Sun, F.; He, S. A transient thermal cloak experimentally realized through a rescaled diffusion equation with anisotropic thermal diffusivity. NPG Asia Mater. 2013, 5. [Google Scholar] [CrossRef]
- Yang, T.; Huang, L.; Chen, F.; Xu, W. Heat flux and temperature field cloaks for arbitrarily shaped objects. J. Phys. D Appl. Phys. 2013, 46, 305102. [Google Scholar] [CrossRef]
- Shen, X.Y.; Huang, J.P. Thermally hiding an object inside a cloak with feeling. Int. J. Heat Mass Tranf. 2014, 78. [Google Scholar] [CrossRef]
- Yang, T.; Wu, Q.; Xu, W.; Liu, D.; Huang, L.; Chen, F. A thermal ground cloak. Phys. Lett. A 2016, 380, 965–969. [Google Scholar] [CrossRef]
- Xu, G.Q.; Zhang, H.C. A concept of heat dissipation coefficient for thermal cloak based on entropy generation approach. AIP Adv. 2016, 6, 95107. [Google Scholar] [CrossRef]
- Xu, G.Q.; Zhang, H.C.; Zou, Q.; Jin, Y. Predicting and analyzing interaction of the thermal cloaking performance through response surface method. Int. J. Heat Mass Tranf. 2017, 109, 746–754. [Google Scholar] [CrossRef]
- Han, T.; Yuan, T.; Li, B.; Qiu, C.W. Homogeneous thermal cloak with constant conductivity and tunable heat localization. Sci. Rep. 2013, 3. [Google Scholar] [CrossRef] [PubMed]
- Han, T.; Bai, X.; Gao, D.; Thong, J.T.L.; Li, B.; Qiu, C.W. Experimental demonstration of a bilayer thermal cloak. Phys. Rev. Lett. 2014, 112, 54302. [Google Scholar] [CrossRef] [PubMed]
- Nguyen, D.M.; Xu, H.; Zhang, Y.; Zhang, B. Active thermal cloak. Appl. Phys. Lett. 2015, 107, 121901. [Google Scholar] [CrossRef]
- Yang, T.; Bai, X.; Gao, D.; Wu, L.; Li, B.; Thong, J.T.L.; Qiu, C.W. Invisible sensors: Simultaneous sensing and camouflaging in multiphysical fields. Adv. Mater. 2015, 27, 7752–7758. [Google Scholar] [CrossRef] [PubMed]
- Xu, G.Q.; Zhang, H.C.; Zou, Q.; Xie, M.; Jin, Y. Forecast of thermal harvesting performance under multi-parameter interaction with response surface methodology. Int. J. Heat Mass Tranf. 2017, 115, 682–693. [Google Scholar] [CrossRef]
- Han, T.; Zhao, J.; Yuan, T.; Lei, D.Y.; Li, B.; Qiu, C.W. Theoretical realization of an ultra-efficient thermal energy harvesting cell made of natural materials. Energy Environ. Sci. 2013, 6, 3537–3541. [Google Scholar] [CrossRef]
- Han, T.; Bai, X.; Liu, D.; Gao, D.; Li, B.; Thong, J.T.L.; Qiu, C.W. Manipulating steady heat conduction by sensu-shaped thermal metamaterials. Sci. Rep. 2015, 5, 10242. [Google Scholar] [CrossRef] [PubMed]
- Chen, F.; Lei, D.Y. Experimental realization of extreme heat flux concentration with easy-to-make thermal metamaterials. Sci. Rep. 2015, 5, 11552. [Google Scholar] [CrossRef] [PubMed]
- He, X.; Wu, L. Illusion thermodynamics: A camouflage technique changing an object into another one with arbitrary cross section. Appl. Phys. Lett. 2014, 105, 221904. [Google Scholar] [CrossRef]
- Yang, T.Z.; Su, Y.; Xu, W.; Yang, X.D. Transient thermal camouflage and heat signature control. Appl. Phys. Lett. 2016, 109, 121905. [Google Scholar] [CrossRef]
- Liu, Y.; Sun, F.; He, S. Novel thermal lens for remote heating/cooling designed with transformation optics. Opt. Express 2016, 24, 5683–5692. [Google Scholar] [CrossRef] [PubMed]
- Sun, F.; He, S. Remote cooling by a novel thermal lens with anisotropic positive thermal conductivity. Sci. Rep. 2017, 7, 40949. [Google Scholar] [CrossRef] [PubMed]
- Li, Y.; Shen, X.; Wu, Z.; Huang, J.; Chen, Y.; Yi, Y.; Huang, J.P. Temperature-dependent transformation thermotics: From switchable thermal cloaks to macroscopic thermal diodes. Phys. Rev. Lett. 2015, 115, 195503. [Google Scholar] [CrossRef] [PubMed]
- Shen, X.; Li, Y.; Jiang, C.; Huang, J.P. Temperature trapping: Energy-free maintenance of constant temperatures as ambient temperature gradients change. Phys. Rev. Lett. 2016, 117, 55501. [Google Scholar] [CrossRef] [PubMed]
- Ma, Y.; Liu, Y.; Raza, M.; Wang, Y.; He, S. Experimental demonstration of a multiphysics cloak: Manipulating heat flux and electric current simultaneously. Phys. Rev. Lett. 2014, 113, 205501. [Google Scholar] [CrossRef] [PubMed]
- Lan, C.; Bi, K.; Fu, X.; Li, B.; Zhou, J. Bifunctional metamaterials with simultaneous and independent manipulation of thermal and electric fields. Opt. Express 2016, 24, 23072–23080. [Google Scholar] [CrossRef] [PubMed]
- Han, T.; Qiu, C.W. Transformation Laplacian metamaterials: Recent advances in manipulating thermal and dc fields. J. Opt. 2016, 18, 44003. [Google Scholar] [CrossRef]
- Vemuri, K.P.; Bandaru, P.R. Geometrical considerations in the control and manipulation of conductive heat flux in multilayered thermal metamaterials. Appl. Phys. Lett. 2013, 103, 133111. [Google Scholar] [CrossRef]
- Yang, T.; Vemuri, K.P.; Bandaru, P.R. Experimental evidence for the bending of heat flux in a thermal metamaterial. Appl. Phys. Lett. 2014, 105, 83908. [Google Scholar] [CrossRef]
- Canbazoglu, F.M.; Vemuri, K.P.; Bandaru, P.R. Estimating interfacial thermal conductivity in metamaterials through heat flux mapping. Appl. Phys. Lett. 2015, 106, 143904. [Google Scholar] [CrossRef]
- Xu, G.Q.; Zhang, H.C.; Jin, Y.; Li, S.; Li, Y. Control and design heat flux bending in thermal devices with transformation optics. Opt. Express 2017, 25, A419–A431. [Google Scholar] [CrossRef] [PubMed]
- Vemuri, K.P.; Canbazoglu, F.M.; Bandaru, P.R. Guiding conductive heat flux through thermal metamaterials. Appl. Phys. Lett. 2014, 105, 193904. [Google Scholar] [CrossRef]
- Park, G.; Kang, S.; Lee, H.; Choi, W. Tunable multifunctional thermal metamaterials: Manipulation of local heat flux via assembly of unit-cell thermal shifters. Sci. Rep. 2017, 7, 41000. [Google Scholar] [CrossRef] [PubMed]
- Peralta, I.; Fachinotti, V.D. Optimization-based design of heat flux manipulation devices with emphasis on fabricability. Sci. Rep. 2017, 7, 6261. [Google Scholar] [CrossRef] [PubMed]
- Torabi, M.; Zhang, K. Heat transfer and thermodynamic performance of convective–radiative cooling double layer walls with temperature-dependent thermal conductivity and internal heat generation. Energy Convers. Manag. 2015, 89, 12–23. [Google Scholar] [CrossRef]
- Zhang, H.C.; Xu, G.Q.; Yu, H.Y.; Li, Y.; Wei, Y.Q. Investigating entropy generation in a thermal cloak corresponding different material layer number. ASME J. Heat Trans. 2017, 139, 54501. [Google Scholar] [CrossRef]






© 2017 by the authors. Licensee MDPI, Basel, Switzerland. This article is an open access article distributed under the terms and conditions of the Creative Commons Attribution (CC BY) license (http://creativecommons.org/licenses/by/4.0/).
Share and Cite
Xu, G.; Zhang, H.; Zhang, X.; Jin, Y. Investigating the Thermodynamic Performances of TO-Based Metamaterial Tunable Cells with an Entropy Generation Approach. Entropy 2017, 19, 538. https://doi.org/10.3390/e19100538
Xu G, Zhang H, Zhang X, Jin Y. Investigating the Thermodynamic Performances of TO-Based Metamaterial Tunable Cells with an Entropy Generation Approach. Entropy. 2017; 19(10):538. https://doi.org/10.3390/e19100538
Chicago/Turabian StyleXu, Guoqiang, Haochun Zhang, Xiu Zhang, and Yan Jin. 2017. "Investigating the Thermodynamic Performances of TO-Based Metamaterial Tunable Cells with an Entropy Generation Approach" Entropy 19, no. 10: 538. https://doi.org/10.3390/e19100538
APA StyleXu, G., Zhang, H., Zhang, X., & Jin, Y. (2017). Investigating the Thermodynamic Performances of TO-Based Metamaterial Tunable Cells with an Entropy Generation Approach. Entropy, 19(10), 538. https://doi.org/10.3390/e19100538

