Hydrodynamics of a Granular Gas in a Heterogeneous Environment
Abstract
:1. Introduction
2. System and Steady Base State Equations
2.1. Description of the System
2.2. Steady Base State Equations
3. Steady Base States with Energy Balance and no Shear
4. Weakly Sheared Steady States
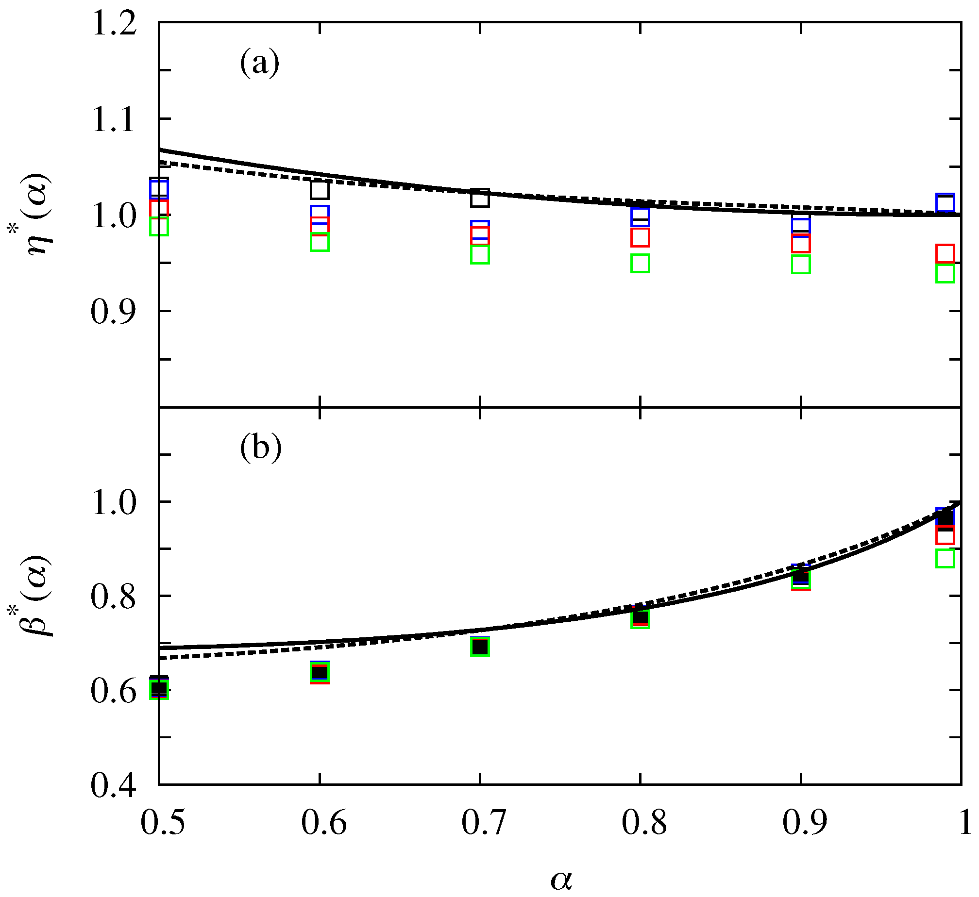
5. Transport Coefficients and Rheology
6. Conclusions
Acknowledgments
Author Contributions
Conflicts of Interest
Appendix A. Computer Simulations
Appendix B. Navier-Stokes Transport Coefficients
References
- Marchetti, M.C.; Joanny, J.F.; Ramaswamy, S.; Liverpoo, T.B.; Prost, J.; Rao, M.; Aditi Simha, R. Hydrodynamics of soft active matter. Rev. Mod. Phys. 2013, 85, 1143–1189. [Google Scholar] [CrossRef]
- Bertin, E.; Droz, M.; Grégoire, G. Hydrodynamic equations for self-propelled particles: Microscopic derivation and stability analysis. J. Phys. A 2009, 42, 445001. [Google Scholar] [CrossRef]
- Bertin, E.; Droz, M.; Grégoire, G. Boltzmann and hydrodynamic description for self-propelled particles. Phys. Rev. E 2006, 74, 22101. [Google Scholar] [CrossRef] [PubMed]
- Chou, Y.; Wolfe, R.; Ihle, T. Kinetic theory for systems of self-propelled particles with metric-free interactions. Phys. Rev. E 2012, 86, 21120. [Google Scholar] [CrossRef] [PubMed]
- Ihle, T. Chapman-Enskog expansion for the Vicsek model of self-propelled particles. J. Stat. Mech. 2016. [Google Scholar] [CrossRef]
- Vicsek, T.; Czirók, A.; Ben-Jacob, E.; Cohen, I.; Shochet, O. Novel Type of Phase Transition in a System of Self-Driven Particles. Phys. Rev. Lett. 1995, 75, 1226–1229. [Google Scholar] [CrossRef] [PubMed]
- Bechinger, C.; Leonardo, R.D.; Lowen, H.; Reichhardt, C.; Volpe, G. Active particles in complex and crowded enviroments. Rev. Mod. Phys. 2016, 88, 45006. [Google Scholar] [CrossRef]
- Argun, A.; Moradi, A.R.; Pinçe, E.; Bagci, G.B.; Imparato, A.; Volpe, G. Non-Boltzmann stationary distribution and nonequilibrium relations in active baths. Phys. Rev. E 2016, 94, 62150. [Google Scholar] [CrossRef] [PubMed]
- Sándor, C.; Libàl, A.; Reichhardt, C.; Reichhardt, C.J.O. Collective transport for active matter run-and-tumble disk systems on a travellin-wave substrate. Phys. Rev. E 2017, 95, 12607. [Google Scholar] [CrossRef] [PubMed]
- Sándor, C.; Libàl, A.; Reichhardt, C.; Reichhardt, C.J.O. Dynamic phases of active matter systems with quenched disorder. Phys. Rev. E 2017, 95, 32606. [Google Scholar] [CrossRef] [PubMed]
- Sándor, C.; Libàl, A.; Reichhardt, C.; Reichhardt, C.J.O. Dewetting and spreading transitions for active matter on random pinning substrate. J. Chem. Phys. 2017, 146, 204903. [Google Scholar] [CrossRef] [PubMed]
- Angelini, T.E.; Hanezzo, E.; Trepat, X.; Marquez, M.; Fredberg, J.J.; Weitz, D.A. Glass-like dynamics of collective cell migration. Proc. Nat. Acad. Sci. U.S.A. 2011, 108, 4714–4719. [Google Scholar] [CrossRef] [PubMed]
- Malinverno, C.; Corallino, S.; Giavazzi, F.; Bergert, M.; Li, Q.; Leoni, M.; Disanza, A.; Frittoli, E.; Oldani, A.; Martini, E.; et al. Endocytic reawakening of motility in jammed epithelia. Nat. Mater. 2017, 16, 587–596. [Google Scholar] [CrossRef] [PubMed]
- Garcia, S.; Hannezo, E.; Elgeti, J.; Joanny, J.F.; Silberzan, P.; Gov, N.S. Physics of active jamming during collective cellular motion in a monolayer. Proc. Natl. Acad. Sci. U.S.A. 2015, 112, 15314–15319. [Google Scholar] [CrossRef] [PubMed]
- Bi, D.; Lopez, J.H.; Schwarz, J.M.; Manning, M.L. A density-independent glass transition in biological tissues. Nat. Phys. 2015, 11, 1074–1079. [Google Scholar] [CrossRef]
- Malgaretti, P.; Pagonabarraga, I.; Rubi, M.J. Rectification and Non-Gaussian Diffusion in Heterogeneous Media. Entropy 2016, 18, 349. [Google Scholar] [CrossRef]
- Dufty, J.W. Kinetic theory and hydrodynamics for a low density granular gas. Adv. Complex Syst. 2001, 4, 397–406. [Google Scholar] [CrossRef]
- Brilliantov, N.V.; Pöschel, T. Kinetic Theory of Granular Gases; Oxford University Press: Oxford, UK, 2004. [Google Scholar]
- Goldhirsch, I. Rapid granular flows. Annu. Rev. Fluid Mech. 2003, 35, 267–293. [Google Scholar] [CrossRef]
- De Bruyn, J. Unifying Liquid and Granular Flow. Physics 2011, 4. [Google Scholar] [CrossRef]
- Batchelor, G.K. The Theory of Homogeneous Turbulence; Cambridge University Press: Cambridge, UK, 1953. [Google Scholar]
- Haff, P.K. Grain flow as a fluid-mechanical phenomenon. J. Fluid Mech. 1983, 134, 401–430. [Google Scholar] [CrossRef]
- Puglisi, A.; Gnoli, A.; Gradenigo, G.; Sarracino, A.; Villamaina, D. Structure factors in granular experiments with homogeneous fluidization. J. Chem. Phys. 2012, 136, 14704. [Google Scholar] [CrossRef] [PubMed]
- Puglisi, A. Transport and Fluctuations in Granular Fluids; Springer: Cham, Switzerland, 2014. [Google Scholar]
- Jaeger, H.M.; Nagel, S.R. Physics of the Granular State. Science 1992, 255, 1523–1531. [Google Scholar] [CrossRef] [PubMed]
- Geminard, J.C.; Losert, W.; Gollub, J.P. Frictional mechanics of wet granular material. Phys. Rev. E 1999, 59, 5881–5890. [Google Scholar] [CrossRef]
- Williams, D.R.M.; MacKintosh, F.C. Driven granular media in one dimension: Correlations and equation of state. Phys. Rev. E 1996, 54, R9–R12. [Google Scholar] [CrossRef]
- Cafiero, R.; Luding, S.; Herrmann, H.J. Two-dimensional granular gas of inelastic spheres with multiplicative driving. Phys. Rev. Lett. 2000, 84, 6014–6017. [Google Scholar] [CrossRef] [PubMed]
- Visco, P.; Puglisi, A.; Barrat, A.; Trizac, E.; van Wijland, F. Fluctuations of Power Injection in Randomly Driven Granular Gases. J. Stat. Phys. 2006, 125, 533–568. [Google Scholar] [CrossRef]
- Villamaina, D.; Puglisi, A.; Vulpiani, A. The fluctuation-dissipation relation in sub-diffusive systems: The case of granular single-file diffusion. J. Stat. Mech. 2008. [Google Scholar] [CrossRef]
- Fiege, A.; Aspelmeier, T.; Zippelius, A. Long-Time Tails and Cage Effect in Driven Granular Fluids. Phys. Rev. Lett. 2009, 102, 98001. [Google Scholar] [CrossRef] [PubMed]
- Gradenigo, G.; Sarracino, A.; Villamaina, D.; Puglisi, A. Fluctuating hydrodynamics and correlation lengths in a driven granular fluid. J. Stat. Mech. 2011, 2011. [Google Scholar] [CrossRef]
- Losert, W.; Bocquet, L.; Lubensky, T.C.; Gollub, J.P. Particle Dynamics in Sheared Granular Matter. Phys. Rev. Lett. 2000, 85, 1428–1431. [Google Scholar] [CrossRef] [PubMed]
- Yu, H.; Chin, M.; Yuan, T.; Bian, H.; Remer, L.A.; Prospero, J.M.; Omar, A.; Winker, D.; Yang, Y.; Zhang, Y.; et al. The fertilizing role of African dust in the Amazon rainforest: A first multiyear assessment based on data from Cloud-Aerosol Lidar and Infrared Pathfinder Satellite Observations. Geophy. Res. Lett. 2015, 42, 1984–1991. [Google Scholar] [CrossRef]
- Ojha, R.P.; Lemieux, P.A.; Dixon, P.K.; Liu, A.J.; Durian, D.J. Statistical mechanics of a gas-fluidized particle. Nature 2004, 427, 521–523. [Google Scholar] [CrossRef] [PubMed]
- Campbell, C.S. Rapid Granular Flows. Annu. Rev. Fluid Mech. 1990, 22, 57–92. [Google Scholar] [CrossRef]
- Vega Reyes, F.; Santos, A.; Garzó, V. Non-Newtonian granular hydrodynamics: What do the inelastic simple shear flow and the elastic Fourier flow have in common? Phys. Rev. Lett. 2010, 104, 28001. [Google Scholar] [CrossRef] [PubMed]
- Foerster, S.F.; Louge, M.Y.; Chang, H.; Alla, K. Measurements of the collision properties of Small Spheres. Phys. Fluids 1994, 6, 1108–1115. [Google Scholar] [CrossRef]
- Grasselli, Y.; Bossis, G.; Morini, R. Translational and rotational temperatures of a 2D vibrated granular gas in microgravity. Eur. Phys. J. E 2015, 38. [Google Scholar] [CrossRef] [PubMed]
- Van Kampen, N.G. Stochastic Processes in Physics and Chemistry; Elsevier: Amsterdam, The Netherlands, 1992. [Google Scholar]
- Marini-Bettolo-Marconi, U.; Tarazona, P.; Cecconi, F. Theory of thermostatted inhomogeneous granular fluids: A self-consistent density functional description. J. Chem. Phys. 2007, 126, 164904. [Google Scholar] [CrossRef] [PubMed]
- Sarracino, A.; Villamaina, D.; Constantini, G.; Puglisi, A. Granular Brownian motion. J. Stat. Mech. 2010. [Google Scholar] [CrossRef]
- Garzó, V.; Chamorro, M.G.; Vega Reyes, F. Transport properties for driven granular fluids in situations close to homogeneous steady states. Phys. Rev. E 2013, 87, 32201. [Google Scholar] [CrossRef]
- Marconi, U.M.B.; Puglisi, A.; Rondonic, L.; Vulpiani, A. Fluctuation-dissipation: Response theory in statistical physics. Phys. Rep. 2008, 461, 111–195. [Google Scholar] [CrossRef]
- Brey, J.J.; Dufty, J.W.; Kim, C.S.; Santos, A. Hydrodynamics for granular flow at low density. Phys. Rev. E 1998, 58, 4638–4653. [Google Scholar] [CrossRef]
- Bird, G.I. Molecular Gas Dynamics and the Direct Simulation of Gas Flows; Oxford University Press: Oxford, UK, 1994. [Google Scholar]
- Vega Reyes, F.; Urbach, J.S. Steady base states for Navier–Stokes granular hydrodynamics with boundary heating and shear. J. Fluid Mech. 2009, 636, 279–293. [Google Scholar] [CrossRef]
- Burnett, D. Velocity Distribution in a non-uniform gas. Proc. Lond. Math. 1935, s2-39, 385–430. [Google Scholar] [CrossRef]
- Chapman, C.; Cowling, T.G. The Mathematical Theory of Non-Uniform Gases, 3rd ed.; Cambridge University Press: Cambridge, UK, 1970. [Google Scholar]
- Abramowitz, M.; Stegun, I.A. Handbook of Mathematical Functions; Dover Publications: New York, NY, USA, 1965. [Google Scholar]
- Vega Reyes, F.; Santos, A.; Garzó, V. Steady base states for non-Newtonian granular hydrodynamics. J. Fluid Mech. 2013, 719, 431–464. [Google Scholar] [CrossRef]
- Garzó, V.; Montanero, J.M. Transport coefficients of a heated granular gas. Phys. A 2002, 313, 336–356. [Google Scholar] [CrossRef]
- Boyd, I.D.; Chen, G.; Candler, G.V. Predicting failure of the continuum fluid equations in transitional hypersonic flows. Phys. Fluids 1995, 7, 210–219. [Google Scholar] [CrossRef]
- Campbell, C.S. The stress tensor for simple shear flows of a granular material. J. Fluid Mech. 1989, 203, 449–473. [Google Scholar] [CrossRef]
- Garzó, V.; Santos, A.; Montanero, J.M. Modified Sonine approximation for the Navier-Stokes transport coefficients of a granular gas. Phys. A 2007, 376, 94–107. [Google Scholar] [CrossRef]
- Truesdell, C. Mathematical Aspects of the Kinetic Theory of Gases; Universidade Federal do Rio de Janeiro: Rio de Janeiro, Brazil, 1973. (In Portuguese) [Google Scholar]
- Vega Reyes, F.; Santos, A.; Kremer, G.M. Role of roughness on the hydrodynamic homogeneous base state of inelastic spheres. Phys. Rev. E 2014, 89, 20202. [Google Scholar] [CrossRef] [PubMed]
- Van Noije, T.; Ernst, M. Velocity distributions in homogeneous granular fluids: Velocity distributions in homogeneous granular fluids: The free and the heated case. Gran. Matt. 1998, 1, 57–64. [Google Scholar] [CrossRef]
- Bagnold, R.A. The Physics of Blown Sand and Desert Dunes; Dover Publications: Mineola, New York, USA, 1954. [Google Scholar]
- Mognetti, B.M.; Šarić, A.; Angioletti-Uberti, S.; Cacciuto, A.; Valeriani, C.; Frenkel, D. Living Clusters and Crystals from Low-Density Suspensions of Active Colloids. Phys. Rev. Lett. 2013, 111, 245702. [Google Scholar] [CrossRef] [PubMed]
- Vega Reyes, F.; Garzó, V.; Khalil, N. Hydrodynamic granular segregation induced by boundary heating and shear. Phys. Rev. E 2014, 89, 52206. [Google Scholar] [CrossRef] [PubMed]
- Pöschel, T.; Schwager, T. Computational Granular Dynamics: Models and Algorithms; Springer: Berlin/Heidelberg, Germany, 2005. [Google Scholar]
- Montanero, J.M.; Santos, A. Computer simulation of uniformly heated granular fluids. Gran. Matt. 2000, 2, 53–64. [Google Scholar] [CrossRef]
- Brey, J.J.; Cubero, D. Hydrodynamic Transport Coefficients of Granular Gases. In Granular Gases; Pöschel, T., Luding, S., Eds.; Lecture Notes in Physics; Springer: Berlin/Heidelberg, Germany, 2001; p. 59. [Google Scholar]
- Garzó, V.; Vega Reyes, F.; Montanero, J.M. Modified Sonine approximation for granular binary mixtures. J. Fluid Mech. 2009, 623, 387–411. [Google Scholar] [CrossRef]



© 2017 by the authors. Licensee MDPI, Basel, Switzerland. This article is an open access article distributed under the terms and conditions of the Creative Commons Attribution (CC BY) license (http://creativecommons.org/licenses/by/4.0/).
Share and Cite
Vega Reyes, F.; Lasanta, A. Hydrodynamics of a Granular Gas in a Heterogeneous Environment. Entropy 2017, 19, 536. https://doi.org/10.3390/e19100536
Vega Reyes F, Lasanta A. Hydrodynamics of a Granular Gas in a Heterogeneous Environment. Entropy. 2017; 19(10):536. https://doi.org/10.3390/e19100536
Chicago/Turabian StyleVega Reyes, Francisco, and Antonio Lasanta. 2017. "Hydrodynamics of a Granular Gas in a Heterogeneous Environment" Entropy 19, no. 10: 536. https://doi.org/10.3390/e19100536
APA StyleVega Reyes, F., & Lasanta, A. (2017). Hydrodynamics of a Granular Gas in a Heterogeneous Environment. Entropy, 19(10), 536. https://doi.org/10.3390/e19100536
