Dark Energy: The Shadowy Reflection of Dark Matter?
Abstract
:1. Introduction
2. Collisional-DM Cosmology
3. Isothermal Processes in a Cosmological DM Fluid
3.1. Mistreating DM as Collisionless
3.2. Accomodating the Recent SNe Ia Data in a Decelerating Universe
3.3. The Apparent Acceleration of the iDMF Model
4. Polytropic Processes in a Cosmological DM Fluid
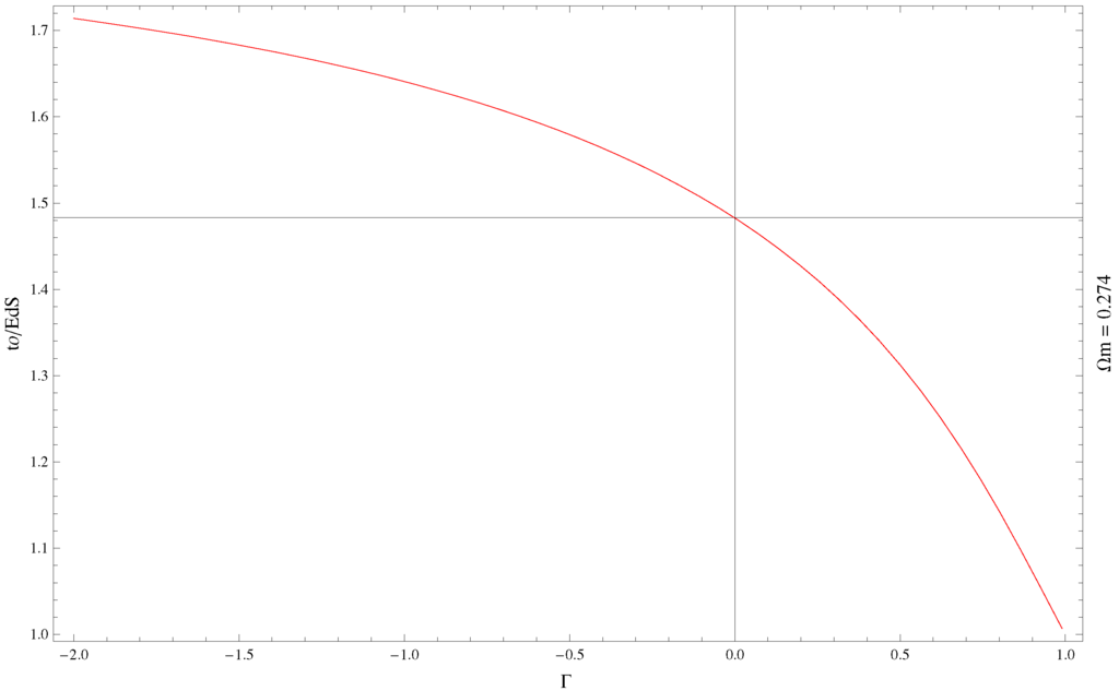
4.1. Aleviating the Age Problem of the Universe
4.2. Confronting with the Coincidence Problem
4.3. Compatibility with the Recent SNe Ia Data
4.4. Determining the Value of the Polytropic Exponent
- (i)
- : In this case, , and, therefore,In other words, in the isobaric limit, the pDMF model does resemble the ΛCDM model, in which the cosmological constant does not carry any perturbations. For this reason, the case is often referred to as the ΛCDM limit of the pDMF model.
- (ii)
- : In this case, the total energy density of the Universe matter-energy content Equation (63) is written in the formthe partial differentiation of which, with respect to ε, yieldsAccordingly, the velocity of sound in the pDMF model, as a function of the cosmological redshift, is given byin view of which, the requirement for a positive velocity-of-sound square yields a major constraint on the upper bound of Γ, namely,There are two values of of particular interest, namely, (a) at transition , whereattributing to the polytropic exponent an unexpected physical interpetation, and (b) at the present epoch , when attains its maximum value, namely,Notice that, for a DM fluid consisting of relativistic particles (i.e., HDM), the velocity of sound would be (see, e.g., [208] (p. 51), [216] (p. 509)). Accordingly, the requirement for CDM at the present epoch constrain us to imposewhich, in the pDMF model under consideration, results inWe see that, the physical requirements given by Equation (93) and Equation (96), together with Equation (89), have resulted in a narrower range of values of the polytropic exponent that can be attributed to a realistic pDMF model, namely,In view of Equation (98), in a pDMF model compatible to modern observational cosmology, the polytropic exponent, if not zero (i.e., the ΛCDM model), is definitely negative and very close to zero. Equation (98) is in good agreement to the corresponding result that arises for a generalized Chaplygin gas, , from the combination of X-ray and SNe Ia measurements with data from Fanaroff-Riley type IIb radio-galaxies, namely, [217]. In addition, by virtue of Equation (98), the present-time value of the deceleration parameter given by Equation (83) falls into the range , which lies at the lower part of the observationally-determined range of values for , based on the SALT2 fitting to the SNe+BAO/CMB data, i.e., [218].
4.5. Transition of the pDMF Model to Acceleration
5. Discussion and Conclusions
Acknowledgments
Author Contributions
Conflicts of Interest
References
- Turner, M.S.; White, M. CDM models with a smooth component. Phys. Rev. D 1997, 56, 4439–4443. [Google Scholar] [CrossRef]
- Perlmutter, S.; Turner, M.S.; White, M. Constraining dark energy with Type Ia Supernovae and large-scale structure. Phys. Rev. Lett. 1999, 83, 670–673. [Google Scholar] [CrossRef]
- Li, M.; Li, X.D.; Wang, S.; Wang, Y. Dark energy. Commun. Theor. Phys. 2011, 56, 525–604. [Google Scholar] [CrossRef]
- Hamuy, M.; Phillips, M.M.; Suntzeff, N.B.; Schommer, R.A.; Maza, J.; Antezan, A.R.; Wischnjewsky, M.; Valladares, G.; Muena, C.; Gonzales, L.E.; et al. BVRI light curves for 29 Type IA Supernovae. Astron. J. 1996, 112, 2408–2437. [Google Scholar] [CrossRef]
- Garnavich, P.M.; Jha, S.; Challis, P.; Clocchiatti, A.; Diercks, A.; Filippenko, V.A.; Gilliland, R.L.; Hogan, C.J.; Kirshner, R.P.; Leibundgut, B.; et al. Supernova limits on the cosmic equation of state. Astrophys. J. 1998, 509, 74–79. [Google Scholar] [CrossRef]
- Perlmutter, S.; Aldering, G.; Valle, M.D.; Deustua, S.; Ellis, R.S.; Fabbro, S.; Fruchter, A.; Goldhaber, G.; Groom, D.E.; Hook, I.M.; et al. Discovery of a Supernova explosion at half the age of the Universe. Nature 1998, 391, 51–54. [Google Scholar] [CrossRef]
- Perlmutter, S.; Aldering, G.; Goldhaber, G.; Knop, R.A.; Nugent, P.; Castro, P.G.; Deustua, S.; Fabbro, S.; Goobar, A.; Groom, D.E.; et al. Measurements of Ω and Λ from 42 high-redshift Supernovae. Astrophys. J. 1999, 517, 565–586. [Google Scholar] [CrossRef]
- Schmidt, B.P.; Suntzeff, N.B.; Phillips, M.M.; Schommer, R.A.; Clocchiatti, A.; Kirshner, R.P.; Garnavich, P.; Challis, P.; Leibundgut, B.; Spyromilio, J.; et al. The High-Z Supernova search: Measuring cosmic deceleration and global curvature of the Universe using Type Ia Supernovae. Astrophys. J. 1998, 507, 46–63. [Google Scholar] [CrossRef]
- Riess, A.G.; Filippenko, A.V.; Challis, P.; Clocchiatti, A.; Diercks, A.; Garnavich, P.M.; Gilliland, R.L.; Hogan, C.J.; Jha, S.; Kirshner, R.P.; et al. Observational evidence from Supernovae for an accelerating Universe and a Cosmological Constant. Astron. J. 1998, 116, 1009–1038. [Google Scholar] [CrossRef]
- Riess, A.G.; Nugent, P.E.; Gilliland, R.L.; Schmidt, B.P.; Tonry, J.; Dickinson, M.; Thompson, R.I.; Budavári, T.; Casertano, S.; Evans, A.S.; et al. The farthest known Supernova: Support for an accelerating Universe and a glimpse of the epoch of deceleration. Astrophys. J. 2001, 560, 49–71. [Google Scholar] [CrossRef]
- Riess, A.G.; Strolger, L.-G.; Tonry, J.; Casertano, S.; Ferguson, H.C.; Mobasher, B.; Challis, P.; Filippenko, A.V.; Jha, S.; Li, W.; et al. Type Ia Supernova discoveries at z > 1 from the Hubble Space Telescope: Evidence for past deceleration and constraints on dark energy evolution. Astrophys. J. 2004, 607, 665–687. [Google Scholar] [CrossRef]
- Riess, A.G.; Strolger, L.-G.; Casertano, S.; Ferguson, H.C.; Mobasher, B.; Gold, B.; Challis, P.J.; Filippenko, A.V.; Jha, S.; Li, W.; et al. New Hubble Space Telescope discoveries of Type Ia Supernovae at z ≥ 1: Narrowing constraints on the early behavior of dark energy. Astrophys. J. 2007, 659, 98–121. [Google Scholar] [CrossRef]
- Knop, R.A.; Aldering, G.; Amanullah, R.; Astier, P.; Blanc, G.; Burns, M.S.; Conley, A.; Deustua, S.E.; Doi, M.; Ellis, R.; et al. New constraints on ΩM, ΩΛ, and w from an independent set of 11 high-redshift Supernovae observed with the Hubble Space Telescope. Astrophys. J. 2003, 598, 102–137. [Google Scholar] [CrossRef]
- Tonry, J.L.; Schmidt, B.P.; Barris, B.; Candia, P.; Challis, P.; Clocchiatti, A.; Coil, A.L.; Filippenko, A.V.; Garnavich, P.; Hogan, C.; et al. Cosmological results from high-z Supernovae. Astrophys. J. 2003, 594, 1–24. [Google Scholar] [CrossRef]
- Barris, B.; Tonry, J.L.; Blondin, S.; Challis, P.; Chornock, R.; Clocchiatti, A.; Filippenko, A.V.; Garnavich, P.; Holland, S.T.; Jha, S.; et al. Twenty-three high-redshift Supernovae from the institute for Astronomy Deep Survey: Doubling the Supernova sample at z > 0.7. Astrophys. J. 2004, 602, 571–594. [Google Scholar] [CrossRef]
- Krisciunas, K.; Garnavich, P.M.; Challis, P.; Prieto, J.L.; Riess, A.G.; Barris, B.; Aguilera, C.; Becker, A.C.; Blondin, S.; Chornock, R.; et al. Hubble Space Telescope observations of nine high-redshift ESSENCE Supernovae. Astron. J. 2005, 130, 2453–2472. [Google Scholar] [CrossRef]
- Astier, P.; Guy, J.; Regnault, N.; Pain, R.; Aubourg, E.; Balam, D.; Basa, S.; Carlberg, R.G.; Fabbro, S.; Fouchez, D.; et al. The Supernova Legacy Survey: Measurement of ΩM, ΩΛ and w from the first year data set. Astron. Astrophys. 2006, 447, 31–48. [Google Scholar] [CrossRef]
- Jha, S.; Kirshner, R.P.; Challis, P.; Garnavich, P.M.; Matheson, T.; Soderberg, A.M.; Graves, G.J.M.; Hicken, M.; Alves, J.F.; Arce, H.G.; et al. UBVRI light curves of 44 Type Ia Supernovae. Astron. J. 2006, 131, 527–554. [Google Scholar] [CrossRef]
- Miknaitis, G.; Pignata, G.; Rest, A.; Wood-Vasey, W.M.; Blondin, S.; Challis, P.; Smith, R.C.; Stubbs, C.W.; Suntzeff, N.B.; Foley, R.J.; et al. The ESSENCE Supernova Survey: Survey optimization, observations and Supernova photometry. Astrophys. J. 2007, 666, 674–693. [Google Scholar] [CrossRef]
- Wood-Vasey, W.M.; Miknaitis, G.; Stubbs, C.W.; Jha, S.; Riess, A.G.; Garnavich, P.M.; Kirshner, R.P.; Aguilera, C.; Becker, A.C.; Blackman, J.W.; et al. Observational constraints on the nature of dark energy: First cosmological results from the ESSENCE Supernova survey. Astrophys. J. 2007, 666, 694–715. [Google Scholar] [CrossRef]
- Amanullah, R.; Stanishev, V.; Goobar, A.; Schahmaneche, K.; Astier, P.; Balland, C.; Ellis, R.S.; Fabbro, S.; Hardin, D.; Hook, I.M.; et al. Light curves of five Type Ia Supernovae at intermediate redshift. Astron. Astrophys. 2008, 486, 375–382. [Google Scholar] [CrossRef]
- Amanullah, R.; Lidman, C.; Rubin, D.; Aldering, G.; Astier, P.; Barbary, K.; Burns, M.S.; Conley, A.; Dawson, K.S.; Deustua, S.E.; et al. Spectra and Hubble Space Telescope light curves of six Type Ia Supernovae at 0.511 < z < 1.12 and the Union 2 Compilation. Astrophys. J. 2010, 716, 712–738. [Google Scholar]
- Holtzman, J.A.; Marriner, J.; Kessler, R.; Sako, M.; Dilday, B.; Frieman, J.A.; Schneider, D.P.; Bassett, B.; Becker, A.; Cinabro, D.; et al. The Sloan Digital Sky Survey-II: Photometry and Supernova IA light curves from the 2005 data. Astron. J. 2008, 136, 2306–2320. [Google Scholar] [CrossRef]
- Kowalski, M.; Rubin, D.; Aldering, G.; Agostinho, R.J.; Amadon, A.; Amanullah, R.; Balland, C.; Barbary, K.; Blanc, G.; Challis, P.J.; et al. Improved cosmological constraints from new, old and combined Supernova data sets. Astrophys. J. 2008, 686, 749–778. [Google Scholar] [CrossRef]
- Hicken, M.; Challis, P.; Jha, S.; Kirshner, R.P.; Matheson, T.; Modjaz, M.; Rest, A.; Wood-Vasey, W.M.; Bakos, G.; Barton, E.J.; et al. CfA3: 185 Type Ia Supernova light curves from the CfA. Astrophys. J. 2009, 700, 331–357. [Google Scholar] [CrossRef]
- Hicken, M.; Wood-Vasey, M.; Blondin, S.; Chalis, P.; Jha, S.; Kelly, P. L.; Rest, A.; Kirshner, R.P. Improved dark energy constraints from ∼100 new CfA Supernova Type Ia light curves. Astrophys. J. 2009, 700, 1097–1140. [Google Scholar] [CrossRef]
- Kessler, R.; Becker, A.C.; Cinabro, D.; Vanderplas, J.; Frieman, J.A.; Marriner, J.; Davis, T.M.; Dilday, B.; Holtzman, J.; Jha, S.W.; et al. First-Year Sloan Digital Sky Survey-II Supernova results: Hubble diagram and cosmological parameters. Astrophys. J. suppl. 2009, 185, 32–84. [Google Scholar] [CrossRef]
- Contreras, C.; Hamuy, M.; Phillips, M.M.; Folatelli, G.; Suntzeff, N.B.; Persson, S.E.; Stritzinger, M.; Boldt, L.; González, S.; Krzeminski, W.; et al. The Carnegie Supernova Project: First photometry data release of low-redshift Type Ia Supernovae. Astron. J. 2010, 139, 519–539. [Google Scholar] [CrossRef]
- Guy, J.; Sullivan, M.; Conley, A.; Regnault, N.; Astier, P.; Balland, C.; Basa, S.; Carlberg, R.G.; Fouchez, D.; Hardin, D.; et al. The Supernova Legacy Survey 3-year sample: Type Ia Supernovae photometric distances and cosmological constraints. Astron. Astrophys. 2010, 523, A7. [Google Scholar] [CrossRef]
- Suzuki, N.; Rubin, D.; Lidman, C.; Aldering, G.; Amanullah, R.; Barbary, K.; Barrientos, L.F.; Botyanszki, J.; Brodwin, M.; Connolly, N.; et al. The Hubble Space Telescope Cluster Supernova survey. V. Improving the dark energy constraints above z > 1 and building an early-type-hosted Supernova sample. Astrophys. J. 2012, 746, A85. [Google Scholar] [CrossRef]
- Carroll, S.M.; Press, W.H.; Turner, E.L. The cosmological constant. Annu. Rev. Astron. Astrophys. 1992, 30, 499–542. [Google Scholar] [CrossRef]
- De Bernardis, P.; Ade, P.A.R.; Bock, J.J.; Bond, J.R.; Borrill, J.; Boscaleri, A.; Coble, K.; Crill, B.P.; de Gasperis, G.; Farese, P.C.; et al. A flat Universe from high-resolution maps of the cosmic microwave background radiation. Nature 2000, 404, 955–959. [Google Scholar] [CrossRef] [PubMed]
- Jaffe, A.H.; Ade, P.A.R.; Balbi, A.; Bock, J.J.; Bond, J.R.; Borrill, J.; Boscaleri, A.; Coble, K.; Crill, B.P.; de Bernardis, P.; et al. Cosmology from MAXIMA-1, BOOMERANG and COBE DMR cosmic microwave background observations. Phys. Rev. Lett. 2001, 86, 3475–3479. [Google Scholar] [CrossRef] [PubMed]
- Padin, S.; Cartwright, J.K.; Mason, B.S.; Pearson, T.J.; Readhead, A.C.S.; Shepherd, M.C.; Sievers, J.; Udomprasert, P.S.; Holzapfel, W.L.; Myers, S.T.; et al. First intrinsic anisotropy observations with the Cosmic Background Imager. Astrophys. J. 2001, 549, L1–L5. [Google Scholar] [CrossRef]
- Stompor, R.; Abroe, M.; Ade, P.; Balbi, A.; Barbosa, D.; Bock, J.; Borrill, J.; Boscaleri, A.; de Bernardis, P.; Ferreira, P.G.; et al. Cosmological implications of the MAXIMA-1 high-resolution cosmic microwave background anisotropy measurement. Astrophys. J. 2001, 561, L7–L10. [Google Scholar] [CrossRef]
- Netterfield, C.B.; Ade, P.; Bock, J.J.; Bond, J.R.; Borrill, J.; Boscaleri, A.; Coble, K.; Contaldi, C.R.; Crill, B.P.; de Bernardis, P.; et al. A measurement by BOOMERANG of multiple peaks in the angular power spectrum of the cosmic microwave background. Astrophys. J. 2002, 571, 604–614. [Google Scholar] [CrossRef]
- Spergel, D.N.; Verde, L.; Peiris, H.V.; Komatsu, E.; Nolta, M.R.; Bennett, C.L.; Halpern, M.; Hinshaw, G.; Jarosik, N.; Kogut, A.; et al. First-year Wilkinson Microwave Anisotropy Probe (WMAP) observations: Determination of cosmological parameters. Astrophys. J. Suppl. Ser. 2003, 148, 175–194. [Google Scholar] [CrossRef]
- Spergel, D.N.; Bean, R.; Dore, O.; Nolta, M.R.; Bennett, C.L.; Dunkley, J.; Hinshaw, G.; Jarosik, N.; Komatsu, E.; Page, L.; et al. Three-year Wilkinson Microwave Anisotropy Probe (WMAP) observations: Implications for Cosmology. Astrophys. J. Suppl. Ser. 2007, 170, 377–408. [Google Scholar] [CrossRef]
- Komatsu, E.; Dunkley, J.; Nolta, M.R.; Bennett, C.L.; Gold, B.; Hinshaw, G.; Jarosik, N.; Larson, D.; Limon, M.; Page, L.; et al. Five-year Wilkinson Microwave Anisotropy Probe observations: Cosmological interpretation. Astrophys. J. Suppl. Ser. 2009, 180, 330–376. [Google Scholar] [CrossRef]
- Komatsu, E.; Smith, K.M.; Dunkley, J.; Bennett, C.L.; Gold, B.; Hinshaw, G.; Jarosik, N.; Larson, D.; Nolta, M.R.; Page, L.; et al. Seven-year Wilkinson Microwave Anisotropy Probe (WMAP) observations: Cosmological interpretation. Astrophys. J. Suppl. Ser. 2011, 192, A18. [Google Scholar] [CrossRef]
- Hinshaw, G.; Larson, D.; Komatsu, E.; Spergel, D.N.; Bennett, C.L.; Dunkley, J.; Nolta, M.R.; Halpern, M.; Hill, R.S.; Odegard, N.; et al. Nine-year Wilkinson Microwave Anisotropy Probe (WMAP) observations: Cosmological parameter results. Astrophys. J. Suppl. 2013, 208, A19. [Google Scholar] [CrossRef]
- Sahni, V.; Starobinsky, A. The case for a positive cosmological Λ-term. Int. J. Modern Phys. D 2000, 9, 373–443. [Google Scholar] [CrossRef]
- Padmanabhan, T. Cosmological constant—The weight of the vacuum. Phys. Rep. 2003, 380, 235–320. [Google Scholar] [CrossRef]
- Caldwell, R.R.; Dave, R.; Steinhardt, P.J. Cosmological imprint of an energy component with general equation of state. Phys. Rev. Lett. 1998, 80, 1582–1585. [Google Scholar] [CrossRef]
- Armendariz-Picon, C.; Mukhanov, V.F.; Steinhardt, P.J. Essentials of k-essence. Phys. Rev. D 2001, 63, 103510. [Google Scholar] [CrossRef]
- Caldwell, R.R. A phantom menace? Cosmological consequences of a dark energy component with super-negative equation of state. Phys. Lett. B 2002, 545, 23–29. [Google Scholar] [CrossRef]
- Padmanabhan, T. Accelerated expansion of the Universe driven by tachyonic matter. Phys. Rev. D 2002, 66, 021301. [Google Scholar] [CrossRef]
- Dvali, G.R.; Gabadadze, G.; Porratti, M. 4D gravity on a brane in 5D Minkowski space. Phys. Lett. B 2000, 485, 208–214. [Google Scholar] [CrossRef]
- Bousso, R.; Polchinski, J. Quantization of four-form fluxes and dynamical neutralization of the cosmological constant. J. High Energy Phys. 2000, 06, A006. [Google Scholar] [CrossRef]
- Esposito-Farese, G.; Polarski, D. Scalar-tensor gravity in an accelerating Universe. Phys. Rev. D 2001, 63, 063504. [Google Scholar] [CrossRef]
- Capozziello, S.; Carloni, S.; Troisi, A. Quintessence without scalar fields. Recent Res. Dev. Astron. Astrophys. 2003, 1, 625–671. [Google Scholar]
- Cohen, A.G.; Kaplan, D.M.; Nelson, A.G. Effective field theory, black holes, and the cosmological constant. Phys. Rev. Lett. 1999, 82, 4971–4974. [Google Scholar] [CrossRef]
- Li, M. A model of holographic dark energy. Phys. Lett. B 2004, 603, 1–5. [Google Scholar] [CrossRef]
- Pavón, D.; Zimdahl, W. Holographic dark energy and cosmic coincidence. Phys. Lett. B 2005, 628, 206–210. [Google Scholar] [CrossRef]
- Kamenshchik, A.; Moschella, U.; Pasquier, V. An alternative to quintessence. Phys. Lett. B 2001, 511, 265–268. [Google Scholar] [CrossRef]
- Bento, M.C.; Bertolami, O.; Sen, A.A. Generalized Chaplygin gas, accelerated expansio, and dark-energy-matter unification. Phys. Rev. D 2002, 66, 043507. [Google Scholar] [CrossRef]
- Bean, R.; Doré, O. Are Chaplygin gases serious contenders for the dark energy? Phys. Rev. D 2003, 68, 023515. [Google Scholar] [CrossRef]
- Sen, A.A.; Scherrer, R.J. Generalizing the generalized Chaplygin gas. Phys. Rev. D 2005, 72, 063511. [Google Scholar] [CrossRef]
- Freese, K.; Lewis, M. Cardassian expansion: A model in which the Universe is flat, matter dominated and accelerating. Phys. Lett. B 2002, 540, 1–8. [Google Scholar] [CrossRef]
- Gondolo, P.; Freese, K. Fluid interpretation of Cardassian expansion. Phys. Rev. D 2003, 68, 063509. [Google Scholar] [CrossRef]
- Wang, Y.; Freese, K.; Gondolo, P.; Lewis, M. Future Type Ia Supernova data as tests of dark energy from modified Friedmann equations. Astrophys. J. 2003, 594, 25–32. [Google Scholar] [CrossRef]
- Mongan, T.R. A simple quantum cosmology. General Relativ. Gravit. 2001, 33, 1415–1424. [Google Scholar] [CrossRef] [Green Version]
- Deffayet, C.; Dvali, G.; Gabadadze, G. Accelerated Universe from gravity leaking to extra dimensions. Phys. Rev. D 2002, 65, 044023. [Google Scholar] [CrossRef]
- Perivolaropoulos, L. Equation of state of the oscillating Brans-Dicke scalar and extra dimensions. Phys. Rev. D 2003, 67, 123516. [Google Scholar] [CrossRef]
- Sami, M.; Savchenko, N.; Toporensky, A. Aspects of scalar field dynamics in Gauss-Bonnet brane worlds. Phys. Rev. D 2004, 70, 123528. [Google Scholar] [CrossRef]
- Fardon, R.; Nelson, A.E.; Weiner, N. Dark energy from mass varying neutrinos. J. Cosmol. Astropart. Phys. 2004, 10. [Google Scholar] [CrossRef]
- Peccei, R.D. Neutrino models of dark energy. Phys. Rev. D 2005, 71, 023527. [Google Scholar] [CrossRef]
- Caldwell, R.R.; Kamionkowski, M. The physics of cosmic acceleration. Ann. Rev. Nucl. Part. Sci. 2009, 59, 397–429. [Google Scholar] [CrossRef]
- Farooq, O.; Crandall, S.; Ratra, B. Binned Hubble parameter measurements and the cosmological deceleration-acceleration transition. Phys. Lett. B 2013, 726, 72–82. [Google Scholar] [CrossRef]
- Farooq, O.; Ratra, B. Hubble parameter measurement constraints on the cosmological deceleration-acceleration transition redshift. Astrophys. J. 2013, 766, L7. [Google Scholar] [CrossRef]
- Capozziello, S.; Farooq, O.; Luongo, O.; Ratra, B. Cosmographic bounds on the cosmological deceleration-acceleration transition redshift in f(R) gravity. Phys. Rev. D 2014, 90, 044016. [Google Scholar] [CrossRef]
- Capozziello, S.; Luongo, O.; Saridakis, E.N. Transition redshift in f (T) cosmology and observational constraints. Phys. Rev. D 2015, 91, 124037. [Google Scholar] [CrossRef]
- Capozziello, S.; Luongo, O. Cosmographic Transition Redshift in f(R) Gravity. Available online: http://www.lanl.gov/arXiv:1411.2350 (accessed on 10 November 2014).
- Dunsby, P.K.S.; Luongo, O. On the Theory and Applications of Modern Cosmography. Available online: http://www.lanl.gov/arXiv:1511.06532 (accessed on 20 November 2015).
- Visser, M. Cosmography: Cosmology without the Einstein equations. General Relativ. Gravit. 2005, 37, 1541–1548. [Google Scholar] [CrossRef]
- Visser, M. General relativistic energy conditions: The Hubble expansion in the epoch of galaxy formation. Phys. Rev. D 1997, 56, 7578–7587. [Google Scholar] [CrossRef]
- Visser, M. Energy conditions in the epoch of galaxy formation. Science 1997, 276, 88–90. [Google Scholar] [CrossRef] [PubMed]
- Cattoen, C.; Visser, M. Necessary and sufficient conditions for big bangs, bounces, crunches, rips, sudden singularities and extremality events. Class. Quantum Gravity 2005, 22, 4913–4930. [Google Scholar] [CrossRef]
- Cattoen, C.; Visser, M. Cosmography: Extracting the Hubble Series from the Supernova Data. Available online: http://www.lanl.gov/arXiv:0703122 (accessed on 31 July 2007).
- Cattoen, C. The Hubble series: Convergence properties and redshift variables. Class. Quantum Gravity 2007, 24, 5985–5998. [Google Scholar] [CrossRef]
- Cattoen, C.; Visser, M. Cosmodynamics: Energy conditions, Hubble bounds, density bounds, time and distance bounds. Class. Quantum Gravity 2008, 25, 165013. [Google Scholar] [CrossRef]
- Vitagliano, V.; Xia, J.Q.; Liberati, S.; Viel, M. High-redshift cosmography. J. Cosmol. Astropart. Phys. 2010, 3, 005. [Google Scholar] [CrossRef] [PubMed]
- Luongo, O. Cosmography with the Hubble Parameter. Modern Phys. Lett. A 2011, 26, 1459–1466. [Google Scholar] [CrossRef]
- Xu, L.; Wang, Y. Cosmography: Supernovae Union2, Baryon Acoustic Oscillation, observational Hubble data and Gamma ray bursts. Phys. Lett. B 2011, 702, 114–120. [Google Scholar] [CrossRef]
- Aviles, A.; Gruber, C.; Luongo, O.; Quevedo, H. Cosmography and constraints on the equation of state of the Universe in various parametrizations. Phys. Rev. D 2012, 86, 123516. [Google Scholar] [CrossRef]
- Bamba, K.; Capozziello, S.; Nojiri, S.; Odintsov, S.D. Dark energy cosmology: The equivalent description via different theoretical models and cosmography tests. Astrophys. Space Sci. 2012, 342, 155–228. [Google Scholar] [CrossRef]
- Demianski, M.; Piedipalumbo, E.; Rubano, C.; Scudellaro, P. High-redshift cosmography: New results and implications for dark energy. Mon. Not. R. Astron. Soc. 2012, 426, 1396–1415. [Google Scholar] [CrossRef]
- Shafieloo, A.; Kim, A.G.; Linder, E.V. Gaussian process cosmography. Phys. Rev. D 2012, 85, 123530. [Google Scholar] [CrossRef]
- Aviles, A.; Bravetti, A.; Capozziello, S.; Luongo, O. Updated constraints on f(R) gravity from cosmography. Phys. Rev. D 2013, 87, 044012. [Google Scholar] [CrossRef]
- Aviles, A.; Bravetti, A.; Capozziello, S.; Luongo, O. Cosmographic reconstruction of f(T) cosmology. Phys. Rev. D 2013, 87, 064025. [Google Scholar] [CrossRef]
- Capozziello, S.; De Laurentis, M.; Luongo, O.; Ruggeri, A.C. Cosmographic constraints and cosmic fluids. Galaxies 2013, 1, 216–260. [Google Scholar] [CrossRef]
- Lazkoz, R.; Alcaniz, J.; Escamilla-Rivera, C.; Salzano, V.; Sendra, I. BAO cosmography. J. Cosmol. Astropart. Phys. 2013, 12, 005. [Google Scholar] [CrossRef] [PubMed]
- Teppa-Pannia, F.A.; Perez-Bergliaffa, S.A. Constraining f(R) theories with cosmography. J. Cosmol. Astropart. Phys. 2013, 8, 030. [Google Scholar] [CrossRef]
- Aviles, A.; Bravetti, A.; Capozziello, S.; Luongo, P. Precision cosmology with Pade rational approximations: Theoretical predictions versus observational limits. Phys. Rev. D 2014, 90, 043531. [Google Scholar] [CrossRef]
- Gruber, C.; Luongo, O. Cosmographic analysis of the equation of state of the universe through Pade approximations. Phys. Rev. D 2014, 89, 103506. [Google Scholar] [CrossRef]
- Bochner, B.; Pappas, D.; Dong, M. Testing lambda and the limits of cosmography with the Union2.1 Supernova Compilation. Astrophys. J. 2015, 814, A7. [Google Scholar] [CrossRef]
- Visser, M. Conformally friedmann-lemaitre-robertson-walker cosmologies. Class. Quantum Gravity 2015, 32, 135007. [Google Scholar] [CrossRef]
- Allen, S.W.; Schmidt, R.W.; Ebeling, H.; Fabian, A.C.; van Speybroeck, L. Constraints on dark energy from Chandra observations of the largest relaxed galaxy clusters. Mon. Not. R. Astron. Soc. 2004, 353, 457–467. [Google Scholar] [CrossRef]
- Boughn, S.; Crittenden, R. A correlation between the cosmic microwave background and large-scale structure in the Universe. Nature 2004, 427, 45–47. [Google Scholar] [CrossRef] [PubMed]
- Eisenstein, D.J.; Zehavi, I.; Hogg, D.W.; Scoccimarro, R.; Blanton, M.R.; Nichol, R.C.; Scranton, R.; Seo, H.-J.; Tegmark, M.; Zheng, Z.; et al. Detection of the baryon acoustic peak in the large-scale correlation function of SDSS luminous red galaxies. Astrophys. J. 2005, 633, 560–574. [Google Scholar] [CrossRef]
- Percival, W.J.; Reid, B.A.; Eisenstein, D.J.; Bahcall, N.A.; Budavari, T.; Frieman, J.A.; Fukugita, M.; Gunn, J.E.; Ivezic, Z.; Knapp, G.R.; et al. Baryon acoustic oscillations in the Sloan Digital Sky Survey data release 7 galaxy sample. Mon. Not. R. Astron. Soc. 2010, 401, 2148–2168. [Google Scholar] [CrossRef]
- Huterer, D. Weak lensing and dark energy. Phys. Rev. D 2002, 65, 063001. [Google Scholar] [CrossRef]
- Copeland, E.J.; Sami, M.; Tsujikawa, S. Dynamics of dark energy. Int. J. Modern Phys. D 2006, 15, 1753–1935. [Google Scholar] [CrossRef]
- Seljak, U.; Slosar, A.; McDonald, P. Cosmological parameters from combining the Lyman-α forest with CMB, galaxy clustering and SN constraints. J. Cosmol. Astropart. Phys. 2006, 10, A014. [Google Scholar] [CrossRef]
- Buchert, T. On average properties of inhomogeneous fluids in general Relativity: Dust cosmologies. General Relativ. Gravit. 2000, 32, 105–126. [Google Scholar] [CrossRef]
- Kolb, E.W.; Matarrese, S.; Riotto, A. On cosmic acceleration without dark energy. New J. Phys. 2006, 8, 322. [Google Scholar] [CrossRef]
- Celerier, M.N. The accelerated expansion of the Universe challenged by an effect of the inhomogeneities. A review. New Adv. Phys. 2007, 1, 29–50. [Google Scholar]
- Ellis, G.F.R. Dark energy and inhomogeneity. J. Phys. Conf. Ser. 2009, 189, 012011. [Google Scholar] [CrossRef]
- Begeman, K.G.; Broeils, A.H.; Sanders, R.H. Extended rotation curves of spiral galaxies—Dark haloes and modified dynamics. Mon. Not. R. Astron. Soc. 1991, 249, 523–537. [Google Scholar] [CrossRef]
- Borriello, A.; Salucci, P. The dark matter distribution in disc galaxies. Mon. Not. R. Astron. Soc. 2001, 323, 285–292. [Google Scholar] [CrossRef]
- Hoekstra, H.; Yee, H.; Gladders, M. Current status of weak gravitational lensing. New Astron. Rev. 2002, 46, 767–781. [Google Scholar] [CrossRef]
- Moustakas, L.A.; Metcalf, R.B. Detecting dark matter substructure spectroscopically in strong gravitational lenses. Mon. Not. R. Astron. Soc. 2003, 339, 607–615. [Google Scholar] [CrossRef]
- Spyrou, N.K. Conformal dynamical equivalence and applications. J. Phys. Conf. Ser. 2011, 283, 012035. [Google Scholar] [CrossRef]
- Masaki, S.; Fukugita, M.; Yoshida, N. Matter distribution around galaxies. Astrophys. J. 2012, 746, A38. [Google Scholar] [CrossRef]
- Bahcall, N.; Fan, X. The most massive distant clusters: Determining Ω and σ8. Astrophys. J. 1998, 504, 1–6. [Google Scholar] [CrossRef]
- Kashlinsky, A. Determining Omega from the cluster correlation function. Phys. Rep. 1998, 307, 67–73. [Google Scholar] [CrossRef]
- Tyson, J.A.; Kochanski, G.P.; dell’ Antonio, I.P. Detailed mass-map of CL 0024 + 1654 from strong lensing. Astrophys. J. 1998, 498, L107–L110. [Google Scholar] [CrossRef]
- Olive, K.A.; Steigman, G.; Walker, T.P. Primordial nucleosynthesis: Theory and observations. Phys. Rep. 2000, 333, 389–407. [Google Scholar] [CrossRef]
- Tegmark, M.; Eisenstein, D.J.; Strauss, M.A.; Weinberg, D.H.; Blanton, M.R.; Frieman, J.A.; Fukugita, M.; Gunn, J.E.; Hamilton, A.J.S.; Knapp, G.R.; et al. Cosmological constraints from the SDSS luminous red galaxies. Phys. Rev. D 2006, 74, 123507. [Google Scholar] [CrossRef]
- Kolb, E.W.; Turner, M.S. The Early Universe; Addison-Wesley: Menlo Park, CA, USA, 1990. [Google Scholar]
- Srednicki, M.; Watkins, R.; Olive, K.A. Calculations of relic densities in the early Universe. Nucl. Phys. B 1988, 310, 693–713. [Google Scholar] [CrossRef]
- Gondolo, P.; Gelmini, G. Cosmic abundances of stable particles: Improved analysis. Nucl. Phys. B 1991, 360, 145–179. [Google Scholar] [CrossRef]
- Olive, K.A. TASI Lectures on Dark Matter. Available online: http://www.lanl.gov/arXiv:0301505 (accessed on 25 January 2003).
- Bertone, G.; Hooper, D.; Silk, J. Particle dark matter: Evidence, candidates and constraints. Phys. Rep. 2005, 405, 279–390. [Google Scholar] [CrossRef]
- Hooper, D. TASI 2008 Lectures on Dark Matter. Available online: http://arxiv.org/pdf/0901.4090v1.pdf (accessed on 26 January 2009).
- Chang, J.; Adams, J.H.; Ahn, H.S.; Bashindzhagyan, G.L.; Christl, M.; Ganel, O.; Guzik, T.G.; Isbert, J.; Kim, K.C.; Kuznetsov, E.N.; et al. An excess of cosmic ray electrons at energies of 300–800 GeV. Nature 2008, 456, 362–365. [Google Scholar] [CrossRef] [PubMed]
- Adriani, O.; Barbarino, G.C.; Bazilevskaya, G.A.; Bellotti, R.; Boezio, M.; Bogomolov, E.A.; Bonechi, L.; Bongi, M.; Bonvicini, V.; Bottai, S.; et al. An anomalous positron abundance in cosmic rays with energies 1.5–100 GeV. Nature 2009, 458, 607–609. [Google Scholar] [CrossRef] [PubMed]
- Hooper, D.; Finkbeiner, D.P.; Dobler, G. Possible evidence for dark matter annihilations from the excess microwave emission around the center of the Galaxy seen by the Wilkinson Microwave Anisotropy Probe. Phys. Rev. D 2007, 76, 083012. [Google Scholar] [CrossRef]
- Barger, V.; Keung, W.Y.; Marfatia, D.; Shaughnessy, G. PAMELA and dark matter. Phys. Lett. B 2009, 672, 141–146. [Google Scholar] [CrossRef]
- Bergstrom, L.; Bringmann, T.; Edsjo, J. New positron spectral features from supersymmetric dark matter: A way to explain the PAMELA data? Phys. Rev. D 2008, 78, 103520. [Google Scholar] [CrossRef]
- Cirelli, M.; Strumia, A. Minimal dark-matter predictions and the PAMELA positron excess. Available online: http://www.lanl.gov/arXiv:0808.3867v2 (accessed on 30 October 2008).
- Regis, M.; Ullio, P. Multiwavelength signals of dark matter annihilations at the galactic center. Phys. Rev. D 2008, 78, 043505. [Google Scholar] [CrossRef]
- Baushev, A.N. Dark matter annihilation at cosmological redshifts: Possible relic signal from annihilation of weakly interacting massive particles. Mon. Not. R. Astron. Soc. 2009, 398, 783–789. [Google Scholar] [CrossRef]
- Cholis, I.; Goodenough, L.; Hooper, D.; Simet, M.; Weiner, N. High energy positrons from annihilating dark matter. Phys. Rev. D 2009, 80, 123511. [Google Scholar] [CrossRef]
- Cholis, I.; Dobler, G.; Finkbeiner, D.P.; Goodenough, L.; Weiner, N. Case for a 700+ GeV WIMP: Cosmic ray spectra from PAMELA, Fermi and ATIC. Phys. Rev. D 2009, 80, 123518. [Google Scholar] [CrossRef]
- Fornasa, M.; Pieri, L.; Bertone, G.; Branchini, E. Anisotropy probe of galactic and extra-galactic dark matter annihilations. Phys. Rev. D 2009, 80, 023518. [Google Scholar] [CrossRef]
- Fox, P.J.; Poppitz, E. Leptophilic dark matter. Phys. Rev. D 2009, 79, 083528. [Google Scholar] [CrossRef]
- Kane, G.; Lu, R.; Watson, S. PAMELA satellite data as a signal of non-thermal Wino LSP dark matter. Phys. Lett. B 2009, 681, 151–160. [Google Scholar] [CrossRef]
- Zurek, K.M. Multicomponent dark matter. Phys. Rev. D 2009, 79, 115002. [Google Scholar] [CrossRef]
- Spergel, D.N.; Steinhardt, P.J. Observational evidence for self-interacting cold dark matter. Phys. Rev. Lett. 2000, 84, 3760–3763. [Google Scholar] [CrossRef] [PubMed]
- Arkani-Hamed, N.; Finkbeiner, D.P.; Slatyer, T.R.; Weiner, N. A theory of dark matter. Phys. Rev. D 2009, 79, 015014. [Google Scholar] [CrossRef]
- Cirelli, M.; Kadastik, M.; Raidal, M.; Strumia, A. Model-independent implications of the e, p- cosmic ray spectra on properties of dark matter. Nucl. Phys. B 2009, 813, 1–21. [Google Scholar] [CrossRef]
- Cohen, T.; Zurek, K. Leptophilic dark matter from the lepton asymmetry. Phys. Rev. Lett. 2010, 104, 101301. [Google Scholar] [CrossRef] [PubMed]
- Van den Aarssen, L.; Bringmann, T.; Pfommer, C. Is dark matter with long-range interactions a solution to all small-scale problems of ΛCDM Cosmology? Phys. Rev. Lett. 2012, 109, 231301. [Google Scholar] [CrossRef] [PubMed]
- Zimdahl, W.; Schwarz, D.J.; Balakin, A.B.; Pavón, D. Cosmic antifriction and accelerated expansion. Phys. Rev. D 2001, 64, 063501. [Google Scholar] [CrossRef]
- Bilić, N.; Tupper, G.B.; Viollier, R.D. Unification of dark matter and dark energy: The inhomogeneous Chaplygin gas. Phys. Lett. B 2002, 535, 17–21. [Google Scholar] [CrossRef]
- Balakin, A.B.; Pavón, D.; Schwarz, D.J.; Zimdahl, W. Curvature force and dark energy. New J. Phys. 2003, 5. [Google Scholar] [CrossRef]
- Makler, M.; de Oliveira, S.; Waga, I. Constraints on the generalized Chaplygin gas from supernovae observations. Phys. Lett. B 2003, 555. [Google Scholar] [CrossRef]
- Scherrer, R.J. Purely kinetic k-essence as unified dark matter. Phys. Rev. Lett. 2004, 93, 011301. [Google Scholar] [CrossRef]
- Ren, J.; Meng, X.H. Cosmological model with viscosity media (dark fluid) described by an effective equation of state. Phys. Lett. B 2006, 633, 1–8. [Google Scholar] [CrossRef]
- Meng, X.H.; Ren, J.; Hu, M.G. Friedmann Cosmology with a generalized equation of state and bulk viscosity. Commun. Theor. Phys. 2007, 47, 379–384. [Google Scholar]
- Lima, J.A.S.; Silva, F.E.; Santos, R.C. Accelerating cold dark matter Cosmology. (ΩΛ = 0). Class. Quantum Gravity 2008, 25, 205006. [Google Scholar] [CrossRef]
- Lima, J.A.S.; Jesus, J.F.; Oliveira, F.A. CDM accelerating Cosmology as an alternative to ΛCDM model. J. Cosmol. Astropart. Phys. 2010, 11, A027. [Google Scholar] [CrossRef]
- Lima, J.A.S.; Basilakos, S.; Costa, F.E.M. New cosmic accelerating scenario without dark energy. Phys. Rev. D 2012, 86, 103534. [Google Scholar] [CrossRef]
- Basilakos, S.; Plionis, M. Could dark matter interactions be an alternative to dark energy? Astron. Astrophys. 2009, 507, 47–52. [Google Scholar] [CrossRef]
- Basilakos, S.; Plionis, M. Interactive dark matter as an alternative to dark energy. In Proceedings of the Invisible Universe Conference, Paris, France, 29 June–3 July 2009.
- Dutta, S.; Scherrer, R. J. Big bang nucleosynthesis with a stiff fluid. Phys. Rev. D 2010, 82, 043526. [Google Scholar] [CrossRef]
- Xu, L.; Wang, Y.; Noh, H. Unified dark fluid with constant adiabatic sound speed and cosmic constraints. Phys. Rev. D 2012, 85, 043003. [Google Scholar] [CrossRef]
- Kleidis, K.; Spyrou, N.K. A conventional approach to the dark energy concept. Astron. Astrophys. 2011, 529, A26. [Google Scholar] [CrossRef]
- Kleidis, K.; Spyrou, N.K. Polytropic dark matter flows illuminate dark energy and accelerated expansion. Astron. Astrophys. 2015, 576, A23. [Google Scholar] [CrossRef]
- Bharadwaj, S.; Kar, S. Modeling galaxy halos using dark matter with pressure. Phys. Rev. D 2003, 68, 023516. [Google Scholar] [CrossRef]
- Nunez, D.; Sussman, R.A.; Zavala, J.; Cabral-Rosetti, L.G.; Matos, T. Empirical testing of Tsallis’ Thermodynamics as a model for dark matter halos. In Proceedings of the X Mexican Workshop on Particles and Fields, Morelia, Mexico, 6–12 November 2005.
- Zavala, J.; Nunez, D.; Sussman, R.A.; Cabral-Rosetti, L.G.; Matos, T. Stellar polytropes and Navarro-Frenk-White halo models: Comparison with observations. J. Cosmol. Astropart. Phys. 2006, 6, A008. [Google Scholar] [CrossRef]
- Böhmer, C.G.; Harko, T. Can dark matter be a Bose-Einstein condensate? J. Cosmol. Astropart. Phys. 2007, 6, A025. [Google Scholar] [CrossRef]
- Saxton, C.J.; Wu, K. Radial structure, inflow and central mass of stationary radiative galaxy clusters. Mon. Not. R. Astron. Soc. 2008, 391, 1403–1436. [Google Scholar] [CrossRef]
- Su, K.Y.; Chen, P. Comment on “Modeling galaxy halos using dark matter with pressure”. Phys. Rev. D 2009, 79, 128301. [Google Scholar] [CrossRef]
- Saxton, C.J.; Ferreras, I. Polytropic dark haloes of elliptical galaxies. Mon. Not. R. Astron. Soc. 2010, 405, 77–90. [Google Scholar] [CrossRef]
- Klypin, A.; Holtzman, J.; Primack, J.R.; Regos, E. Structure formation with cold plus hot dark matter. Astrophys. J. 1993, 416, 1–21. [Google Scholar] [CrossRef]
- Croft, R.A.C.; Weinberg, D.H.; Pettini, M.; Hernquist, L.; Katz, N. The power spectrum of mass fluctuations measured from the Lyα Forest at redshift z = 2.5. Astrophys. J. 1999, 520, 1–23. [Google Scholar] [CrossRef]
- Peacock, J.A. Cosmological Physics; Cambridge University Press: Cambridge, UK, 1999. [Google Scholar]
- Fock, V. The Theory of Space, Time and Gravitation; Pergamon Press: London, UK, 1959. [Google Scholar]
- Narlikar, J.V. Introduction to Cosmology; Jones and Bartlett Publishers Inc.: Boston, MA, USA, 1983. [Google Scholar]
- Chandrasekhar, S. The post-Newtonian equations of Hydrodynamics in General Relativity. Astrophys. J. 1965, 142, 1488–1512. [Google Scholar] [CrossRef]
- Perivolaropoulos, L. Accelerating Universe: Observational status and theoretical implications. In The Invisible Universe: Dark Matter and Dark Energy; Papantonopoulos, L., Ed.; Lecture Notes in Physics 720; Springer: New York, NY, USA, 2007; pp. 257–292. [Google Scholar]
- Kleidis, K.; Spyrou, N.K. Geodesic motions versus hydrodynamic flows in a gravitating perfect fluid: Dynamical equivalence and consequences. Class. Quantum Gravity 2000, 17, 2965–2982. [Google Scholar] [CrossRef]
- Lichnerowicz, A. Relativistic Hydrodynamics and Magnetohydrodynamics; W. A. Benjamin Inc.: New York, NY, USA, 1967. [Google Scholar]
- Synge, J.L. Relativistic Hydrodynamics. Proc. Lond. Math. Soc. 1937, 43, 376–416, (Gen. Relat. Grav. 2002, 34, 2177–2216). [Google Scholar]
- Carter, B. Perfect fluid and magnetic field conservation laws in the theory of black-hole accretion rings. In Active Galactic Nuclei; Hazard, C., Mitton, S., Eds.; Cambridge University Press: Cambridge, UK, 1979; pp. 273–300. [Google Scholar]
- Spyrou, N.K.; Tsagas, C.G. Covariant approach to the conformal dynamical equivalence in Astrophysics. Class. Quantum Gravity 2004, 21, 2435–2444. [Google Scholar] [CrossRef]
- Verozub, L. Hydrodynamic flow as congruence of geodesic lines in Riemannian spacetime. Int. J. Modern Phys. D 2008, 17, 337–342. [Google Scholar] [CrossRef]
- Davis, T.M.; Mortsell, E.; Sollerman, J.; Becker, A.C.; Blondin, S.; Challis, P.; Clocchiatti, A.; Filippenko, A.V.; Foley, R.J.; Garnavich, P.M.; et al. Scrutinizing exotic cosmological models using ESSENCE Supernova data combined with other cosmological probes. Astrophys. J. 2007, 666, 716–725. [Google Scholar] [CrossRef]
- Farrar, G.R.; Peebles, P.J.E. Interacting dark matter and dark energy. Astrophys. J. 2004, 604, 1–11. [Google Scholar] [CrossRef]
- Gubser, S.S.; Peebles, P.J.E. Structure formation in a string-inspired modification of the cold dark matter model. Phys. Rev. D 2004, 70, 123510. [Google Scholar] [CrossRef]
- Christensen-Dalsgard, J. Lecture Notes on Stellar Structure and Evolution, 6th ed.; Aarhus University Press: Aarhus, Denmark, 2008. [Google Scholar]
- Mukhopadhyay, V.; Ray, S.; Dutta, C.S. Dark energy with polytropic equation of state. Modern Phys. Lett. A 2008, 23, 3187–3198. [Google Scholar] [CrossRef]
- Karami, K.; Ghaffari, S.; Fehri, J. Interacting polytropic gas model of phantom dark energy in non-flat Universe. Eur. Phys. J. C 2009, 64, 85–88. [Google Scholar] [CrossRef]
- Karami, K.; Abdolmaleki, A. Reconstructing interacting new agegraphic polytropic gas model in non-flat FRW Universe. Astrophys. Space Sci. 2010, 330, 133–136. [Google Scholar] [CrossRef]
- Karami, K.; Abdolmaleki, A. Reconstructing an interacting holographic polytropic gas model in a non-flat FRW Universe. Phys. Scr. 2010, 81, 055901. [Google Scholar] [CrossRef]
- Karami, K.; Abdolmaleki, A. Polytropic and Chaplygin f(T)-gravity models. J. Phys. Conf. Ser. 2012, 375, 032009. [Google Scholar] [CrossRef]
- Malekjani, M.; Khodam-Mohamadi, A.; Taji, M. Cosmological implications of interacting polytropic gas dark energy model in non-flat Universe. Int. J. Theor. Phys. 2011, 50, 3112–3124. [Google Scholar] [CrossRef]
- Chavanis, P.H. Models of Universe with a Polytropic Equation of State: I. The Early Universe. Available online: http://www.lanl.gov/arXiv:1208.0797 (accessed on 3 August 2012).
- Chavanis, P.H. Models of Universe with a Polytropic Equation of State: II. The Late Universe. Available online: http://www.lanl.gov/arXiv:1208.0801 (accessed on 3 August 2012).
- Chavanis, P.H. A Simple Model of Universe with a Polytropic Equation of State. Available online: http://www.lanl.gov/arXiv:1208.1292 (accessed on 6 August 2012).
- Karami, K.; Khaledian, M.S. Polytropic and Chaplygin f(R)-gravity models. Int. J. Modern Phys. D 2012, 21, 1250083. [Google Scholar] [CrossRef]
- Asadzadeh, S.; Safari, Z.; Karami, K.; Abdolmaleki, A. Cosmological constraints on polytropic gas model. Int. J. Theor. Phys. 2014, 53, 1248–1262. [Google Scholar] [CrossRef]
- Horedt, G.P. Polytropes: Aplications in Astrophysics and Related Fields; Kluwer Academic Publishers: Dordrecht, The Netherlands, 2004. [Google Scholar]
- Chandrasekhar, S. An Introduction to the Study of Stellar Structure; University Press: Chicago, IL, USA, 1939. [Google Scholar]
- Quevedo, J. Geometrothermodynamics. J. Math. Phys. 2007, 48, 013506. [Google Scholar] [CrossRef]
- Vasquez, A.; Quevedo, J.; Sanchez, A. Thermodynamic systems as extremal hypersurfaces. J. Geom Phys. 2010, 60, 1942–1949. [Google Scholar] [CrossRef]
- Luongo, O.; Quevedo, H. Cosmographic study of the universe’s specific heat: A landscape for cosmology? General Relativ. Gravit. 2014, 46. [Google Scholar] [CrossRef]
- Aviles, A.; Cruz, N.; Klapp, J.; Luongo, O. Emerging the dark sector from thermodynamics of cosmological systems with constant pressure. General Relativ. Gravit. 2015, 47. [Google Scholar] [CrossRef]
- Linder, E.V. Mapping the cosmological expansion. Rep. Prog. Phys. 2008, 71, 056901. [Google Scholar] [CrossRef]
- Ade, P.A.R.; Aghanim, N.; Armitage-Caplan, C.; Arnaud, M.; Ashdown, M.; Atrio-Barandela, F.; Aumont, J.; Baccigalupi, C.; Banday, A.J.; et al. Planck 2013 Results—XVI. Cosmological Parameters. Astron. Astrophys. 2014, 571, A16. [Google Scholar]
- Ade P.A.R. Aghanim, N.; Arnaud, M.; Ashdown, M.; Aumont, J.; Baccigalupi, C.; Banday, A.J.; Barreiro, R.B.; Bartlett, J.G.; et al. Planck 2015 Results—XIII. Cosmological Parameters. Available online: http://www. lanl.gov/arXiv:1502.01589v2 (accessed on 6 February 2015).
- Gradshteyn, I.S.; Ryzhik, I.M. Tables of Integrals, Series and Products, 7th ed.; Elsevier—Academic Press: Amsterdam, The Netherlands, 2007. [Google Scholar]
- Abramowitz, M.; Stegun, I. Handbook of Mathematical Functions; Dover: New York, NY, USA, 1970. [Google Scholar]
- Sazhin, M.V.; Sazhina, O.S.; Chadayammuri, U. The Scale Factor in the Universe with Dark Energy. Available online: http://www.lanl.gov/arXiv:1109.2258 (accessed on 10 September 2011).
- Weinberg, S. Gravitation and Cosmology; John Wiley & Sons Inc.: New York, NY, USA, 1972. [Google Scholar]
- Ellis, G.F.R.; Maartens, R.; MacCallum, M. Causality and the speed of sound. General Relativ. Gravit. 2007, 39, 1651–1660. [Google Scholar] [CrossRef]
- Kunz, M. Degeneracy between the dark components resulting from the fact that gravity only measures the total energy-momentum tensor. Phys. Rev. D 2009, 80, 123001. [Google Scholar] [CrossRef]
- Luongo, O.; Quevedo, H. An expanding Universe with constant pressure and no cosmological constant. Astrophys. Space Sci. 2012, 338, 345–349. [Google Scholar] [CrossRef]
- Luongo, O.; Quevedo, H. A unified dark energy model from a vanishing speed of sound with emergent cosmological constant. Int. J. Modern Phys. D 2014, 23, 1450012. [Google Scholar] [CrossRef]
- Ferreira, E.G.M.; Quintin, J.; Costa, A.A.; Abdalla, E.; Wang, B. New evidence for interacting dark energy from BOSS. Available online: http://www.lanl.gov/arXiv:1412.2777 (accessed on 8 December 2014).
- Pu, B.Y.; Xu, X.D.; Wang, B.; Abdalla, E. Early dark energy and its interaction with dark matter. Available online: http://www.lanl.gov/arXiv:1412.4091 (accessed on 12 December 2014).
- Yang, T.; Guo, Z.K.; Cai, R.G. Reconstructing the interaction between dark energy and dark matter using Gaussian processes. Phys. Rev. D 2015, 91, 123533. [Google Scholar] [CrossRef]
- Landau, L.D.; Lifshitz, E.M. Fluid Mechanics, 2nd ed.; Pergmon Press: Oxford, UK, 1987. [Google Scholar]
- Zhu, Z.H. Generalized Chaplygin gas as a unified scenario of dark matter/energy: Observational constraints. Astron. Astrophys. 2004, 423, 421–426. [Google Scholar] [CrossRef]
- Giostri, R.; Vargas dos Santos, M.; Waga, I.; Reis, R.R.R.; Calvão, M.O.; Lago, B.L. From cosmic deceleration to acceleration: New constraints from SN Ia and BAO/CMB. J. Cosmol. Astropart. Phys. 2012, 3, A027. [Google Scholar] [CrossRef]
- Efstathiou, G.; Bond, J.R. Cosmic confusion: Degeneracies among cosmological parameters derived from measurements of microwave background anisotropies. Mon. Not. R. Astron. Soc. 1999, 304, 75–97. [Google Scholar] [CrossRef]
- Bennett, C.L.; Larson, D.; Weiland, J.L.; Jarosik, N.; Hinshaw, G.; Odegard, N.; Smith, K.M.; Hill, R.S.; Gold, B.; Halpern, M.; et al. Nine-year Wilkinson Microwave Anisotropy Probe (WMAP) observations: Final maps and results. Astrophys. J. Suppl. 2013, 208, A20. [Google Scholar] [CrossRef]





© 2016 by the authors; licensee MDPI, Basel, Switzerland. This article is an open access article distributed under the terms and conditions of the Creative Commons by Attribution (CC-BY) license (http://creativecommons.org/licenses/by/4.0/).
Share and Cite
Kleidis, K.; Spyrou, N.K. Dark Energy: The Shadowy Reflection of Dark Matter? Entropy 2016, 18, 94. https://doi.org/10.3390/e18030094
Kleidis K, Spyrou NK. Dark Energy: The Shadowy Reflection of Dark Matter? Entropy. 2016; 18(3):94. https://doi.org/10.3390/e18030094
Chicago/Turabian StyleKleidis, Kostas, and Nikolaos K. Spyrou. 2016. "Dark Energy: The Shadowy Reflection of Dark Matter?" Entropy 18, no. 3: 94. https://doi.org/10.3390/e18030094
APA StyleKleidis, K., & Spyrou, N. K. (2016). Dark Energy: The Shadowy Reflection of Dark Matter? Entropy, 18(3), 94. https://doi.org/10.3390/e18030094

