Towards the Development of a Universal Expression for the Configurational Entropy of Mixing
Abstract
:1. Introduction
2. Probabilistic Description of the Configurational Entropy of Mixing
2.1. The Model
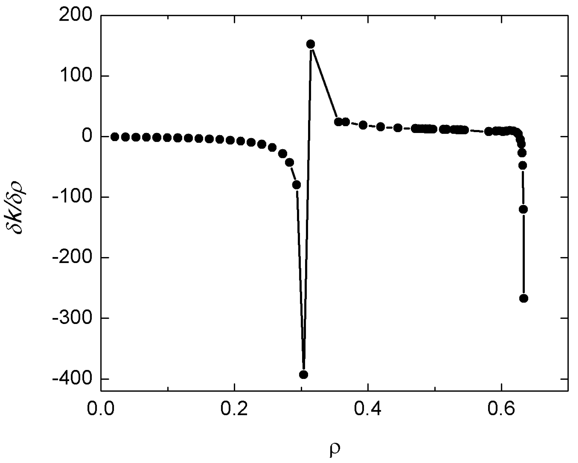
2.2. Selection of the Complexes and the Critical Composition of the Miscibility Gap in the Nb-H Interstitial Solid Solution




- (i)
- a linear function: θ2 = A θI
- (ii)
- a sigmoid function, such as:


3. Non-Crystalline States of Matter
3.1. Weak-Interacting Gas System
3.2. Equally-Sized Hard Sphere System


4. Towards the Development of a Universal Expression for the Configurational Entropy of Off-Lattice Systems

5. Conclusions
Acknowledgments
Conflicts of Interest
References
- Flory, P. Thermodynamics of High Polymer Solutions. J. Chem. Phys. 1942, 10, 51–61. [Google Scholar] [CrossRef]
- Huggins, M. Thermodynamics properties of solutions of long-chain compounds. Ann. N. Y. Acad. Sci. 1942, 43, 1–32. [Google Scholar] [CrossRef]
- Kikuchi, R. A Theory of Cooperative Phenomena. Phys. Rev. 1951, 81, 988–1003. [Google Scholar] [CrossRef]
- Oates, A.; Zhang, F.; Chen, S.; Chang, Y. Improved cluster-site approximation for the entropy of mixing in multicomponent solid solutions. Phys. Rev. B 1999, 59, 11221–11225. [Google Scholar] [CrossRef]
- Gibbs, J.; DiMarzio, A. Nature of the glass transition and the glassy state. J. Chem. Phys. 1958, 28, 373–383. [Google Scholar] [CrossRef]
- Speiser, R.; Spretnak, J. Thermodynamics of binary interstitial solid solutions. Trans. Am. Soc. Met. 1955, 47, 493–507. [Google Scholar]
- Vajda, P. Hydrogen in Rare Earth Metals: Including RH2+x phases. In Handbook on the Physics and Chemistry of Rare Earths; Gschneidner, K.A., Jr., Eyring, L., Eds.; North-Holland: Amsterdam, The Netherlands, 1995; p. 207. [Google Scholar]
- Garcés, J.; González, R.; Vajda, P. First-principles study of H ordering in the α phase of M-H systems (M = Sc, Y, Ti, Zr). Phys. Rev. B 2009, 79, 054113. [Google Scholar] [CrossRef]
- Garcés, J.; Vajda, P. H ordering in hcp M-H systems (M=Sc, Y; Ti, Zr). Int. J. Hydrog. Energy 2010, 35, 6025–6030. [Google Scholar] [CrossRef]
- Garcés, J. Short-range order of H in the Nb-H solid solution. Int. J. Hydrog. Energy 2014, 39, 8852–8860. [Google Scholar] [CrossRef]
- Garcés, J. A Probabilistic Description of the Configurational Entropy of Mixing. Entropy 2014, 16, 2850–2868. [Google Scholar] [CrossRef]
- Aste, T.; di Matteo, T. Emergence of Gamma distributions in granular materials and packing models. Phys. Rev. E 2008, 77, 021309. [Google Scholar] [CrossRef] [PubMed]
- Aste, T.; di Matteo, T. Structural transitions in granular packs: Statistical mechanics and statistical geometricy investigations. Eur. Phys. J. B 2008, 64, 511–517. [Google Scholar] [CrossRef]
- Aste, T.; Delaney, G.; di Matteo, T. K-Gamma distributions in granular packs. AIP Conf. Proc. 2010, 1227, 157–166. [Google Scholar]
- Miracle, D. A structural model for metallic glasses. Nat. Mater. 2004, 3, 697–702. [Google Scholar] [CrossRef] [PubMed]
- Miracle, D. The efficient cluster packing model—An atomic structural model for metallic glasses. Acta Mater. 2006, 54, 4317–4336. [Google Scholar] [CrossRef]
- Miracle, D. A physical model for metallic glasses structures: An introduction and update. JOM 2012, 64, 846–855. [Google Scholar] [CrossRef]
- Miracle, D. The density and packing fraction of binary metallic glasses. Acta Mater. 2013, 61, 3157–3171. [Google Scholar] [CrossRef]
- Garcés, J. The configurational entropy of mixing of interstitials solid solutions. Appl. Phys. Lett. 2010, 96, 161904. [Google Scholar] [CrossRef]
- Ogawa, H. A statistical-mechanical method to evaluate hydrogen solubility in metal. J. Phys. Chem. C 2010, 114, 2134–2143. [Google Scholar] [CrossRef]
- McLellan, R.; Garrad, T.; Horowitz, S.; Sprague, J. A Model for Concentrated Interstitial Solid Solutions; Its Application to Solutions of Carbon in Gamma Iron. Trans. Met. Soc. AIME 1967, 239, 528–535. [Google Scholar]
- Boureau, G. A simple method of calculation of the configurational entropy for interstitial solutions with short range repulsive interactions. Phys. Chem. Solids 1981, 42, 743–748. [Google Scholar] [CrossRef]
- Moon, K. Thermmodynamics of interstitial solid solutions with repulsive solute-solute interactions. Trans. Met. Soc. AIME 1963, 227, 1116–1122. [Google Scholar]
- Oates, W.; Lambert, A.; Gallagher, P. Monte Carlo calculations of configurational entropies in interstitial solid solutions. Trans. Met. Soc. AIME 1969, 245, 47–54. [Google Scholar]
- O’Keeffe, M.; Steward, S. Analysis of the thermodynamics behavior of H in body-centered-cubic metals with applications to Nb-H. Ber. Bunsenges. Phys. Chem. 1972, 76, 1278–1282. [Google Scholar] [CrossRef]
- Veleckis, E.; Edwards, R. Thermodynamic properties in the systems vanadium-hydrogen, niobium-hydrogen, and tantalum-hydrogen. J. Phys. Chem. 1969, 73, 683–692. [Google Scholar] [CrossRef]
- Boureau, G. The configurational entropy of hydrogen in body centered metals. J. Phys. Chem. Solids 1984, 45, 973–974. [Google Scholar] [CrossRef]
- Manchester, F.D. Phase Diagrams of Binary Hydrogen Alloys; ASM International: Russell Township, OH, USA, 2000. [Google Scholar]
- Vaks, V.G.; Orlov, V.G. On the theory of the thermodynamical properties and interactions of hydrogen in metals of the Nb group. J. Phys. F Met. Phys. 1988, 18, 883–902. [Google Scholar] [CrossRef]
- Mazzolai, F.M.; Birnbaum, H.K. Elastic constants and ultrasonic attenuation of the α-α’ phase of the Nb-H(D) system. II. Interpretation of results. J. Phys. F Met. Phys. 1985, 15, 525–542. [Google Scholar] [CrossRef]
- Mazzolai, F.M.; Birnbaum, H.K. Elastic constants and ultrasonic attenuation of the α-α’ phase of the Nb-H(D) system. I. Results. J. Phys. F Met. Phys. 1985, 15, 507–523. [Google Scholar] [CrossRef]
- Blanter, M.S. Hydrogen-hydrogen interaction in cubic metals. Phys. Status Solidi 1997, 200, 423–434. [Google Scholar] [CrossRef]
- Blanter, M.S. Hydrogen internal-friction peak and interaction of dissolved interstitial atoms in Nb and Ta. Phys. Rev. B 1994, 50, 3603–3608. [Google Scholar] [CrossRef]
- Horner, H.; Wagner, J.C. A model calculation for the α-α’ phase transition in metal-hydrogen systems. J. Phys. C Solid State Phys. 1974, 7, 3305–3325. [Google Scholar] [CrossRef]
- Futran, M.; Coats, G.C.; Hall, C.K.; Welch, D.O. The phase-change behavior of hydrogen in niobium and in niobium-vanadium alloys. J. Chem. Phys. 1982, 77, 6223–6235. [Google Scholar] [CrossRef]
- Shirley, A.I.; Hall, C.K. Elastic interactions between hydrogen atoms in metals. I. Lattice forces and displacements. Phys. Rev. B 1986, 33, 8084–8098. [Google Scholar] [CrossRef]
- MacGillivray, I.R.; Soteros, C.E.; Hall, C.K. Cluster-variation calculation for random-field systems: Application to hydrogen in niobium alloys. Phys. Rev. B 1987, 35, 3545–3554. [Google Scholar] [CrossRef]
- Soteros, C.E.; Hall, C.K. Niobium hydride phase behavior studied using the cluster-variation method. Phys. Rev. B 1990, 42, 6590–6611. [Google Scholar] [CrossRef]
- Magerl, A.; Rush, A.; Rowe, J. Local modes in dilute metal-hydrogen alloys. Phys. Rev. B 1986, 33, 2093–2097. [Google Scholar] [CrossRef]
- Burkel, E.; Fenzl, W.; Peisl, J. Microscopic density fluctuations of deuterium in niobium. Philos. Mag. A 1986, 54, 317–323. [Google Scholar] [CrossRef]
- Chasnov, R.; Birnbaum, H.K.; Shapiro, S.M. Phase transitions in the Nb-D(H) system: Superlattice reflections near the—Phase transition. Phys. Rev. B 1986, 33, 1732–1740. [Google Scholar] [CrossRef]
- Valderrama, J. The state of the cubic equations of state. Ind. Eng. Chem. Res. 2003, 42, 1603–1618. [Google Scholar] [CrossRef]
- Carnahan, N.F.; Starling, K.E. Equation of state for nonattracting rigid spheres. J. Chem. Phys. 1969, 51, 635–636. [Google Scholar] [CrossRef]
- Rusanov, A.I. Equation of state theory based on excluded volume. J. Chem. Phys. 2003, 118, 10157–10163. [Google Scholar] [CrossRef]
- Rusanov, A.I. Generalized equation of state and exclusion factor for multicomponent systems. J. Chem. Phys. 2003, 119, 10268–10273. [Google Scholar] [CrossRef]
- Rusanov, A.I. Theory of excluded volume equation of sgtate: Higher approximations and new generation of equations of state for entire density range. J. Chem. Phys. 2004, 121, 1873–1877. [Google Scholar] [CrossRef] [PubMed]
- Cheng, Y.; Ma, E. Atomic-level structure and structure—Property relationship in metallic glasses. Prog. Mater. Sci. 2011, 56, 379–473. [Google Scholar] [CrossRef]
- Parisi, G.; Zamponi, F. Mean field theory of hard sphere glasses and jamming. Rev. Mod. Phys. 2010, 82, 789–845. [Google Scholar] [CrossRef]
- Torquato, S.; Stillinger, F. Jammed hard-particle packings: From Kepler to Bernal and beyond. Rev. Mod. Phys. 2010, 82, 2633–2672. [Google Scholar] [CrossRef]
- Kumar, V.S.; Kumaran, V. Voronoi cell volume distribution and configurational entropy of hard-spheres. J. Chem. Phys. 2005, 123. [Google Scholar] [CrossRef]
- Wang, P.; Song, C.; Jin, Y.; Makse, H. Jamming II: Edwards’ statistical mechanics of random packings of hard spheres. Phys. A 2011, 390, 427–455. [Google Scholar] [CrossRef]
- Finney, J.L.; Woodcock, L.V. Renaissance of Bernal’s random close packing and hypercritical line in the theory of liquids. J. Phys. Condens. Matter 2014, 26, 463102. [Google Scholar] [CrossRef] [PubMed]
- Kamien, R.; Liu, A. Why is Random Close Packing Reproducible? Phys. Rev. Lett. 2007, 99, 155501. [Google Scholar] [CrossRef] [PubMed]
- Wu, G.W.; Sadus, R.J. Hard sphere compressibility factors for equations of state development. AIChE J. 2005, 51, 309–313. [Google Scholar] [CrossRef]
- Woodcock, L.V. Percolation transitions in the hard-sphere fluid. AIChE J. 2012, 58, 1610–1618. [Google Scholar] [CrossRef]
- Kratky, K.W. Is the percolation transition of hard spheres a thermodynamic phase transition? J. Stat. Phys. 1988, 52, 1413–1421. [Google Scholar] [CrossRef]
- Woodcock, L.V. Thermodynamic status of random close packing. Philos. Mag. 2013, 93, 4159–4173. [Google Scholar] [CrossRef]
© 2015 by the author; licensee MDPI, Basel, Switzerland. This article is an open access article distributed under the terms and conditions of the Creative Commons by Attribution (CC-BY) license (http://creativecommons.org/licenses/by/4.0/).
Share and Cite
Garcés, J. Towards the Development of a Universal Expression for the Configurational Entropy of Mixing. Entropy 2016, 18, 5. https://doi.org/10.3390/e18010005
Garcés J. Towards the Development of a Universal Expression for the Configurational Entropy of Mixing. Entropy. 2016; 18(1):5. https://doi.org/10.3390/e18010005
Chicago/Turabian StyleGarcés, Jorge. 2016. "Towards the Development of a Universal Expression for the Configurational Entropy of Mixing" Entropy 18, no. 1: 5. https://doi.org/10.3390/e18010005
APA StyleGarcés, J. (2016). Towards the Development of a Universal Expression for the Configurational Entropy of Mixing. Entropy, 18(1), 5. https://doi.org/10.3390/e18010005
