A Novel Method for PD Feature Extraction of Power Cable with Renyi Entropy
Abstract
:1. Introduction
2. Shannon Wavelet Singular Entropy
2.1. The Definition of Shannon Wavelet Singular Entropy
2.2. The Limitation of Shannon Wavelet Singular Entropy
3. Renyi Wavelet Packet Singular Entropy
3.1. The Definition of Renyi Entropy
3.2. The Statistical Properties of Renyi Entropy



3.3. The Definition of Renyi Wavelet Packet Singular Entropy

4. The Application of RWPSE in PD Detection
4.1. The Collection of the PD Signal of a Cable Using HFCT
| Model | Cable core | Cross-sectional area | Insulation layer | Metal sheath | The voltage rating |
|---|---|---|---|---|---|
| YJLW03 | Copper splicing wire | 800 mm² | XLPE | Aluminum | 127 kV/220 kV |



4.2. The Feature Extraction of the PD Signal with RWPSE



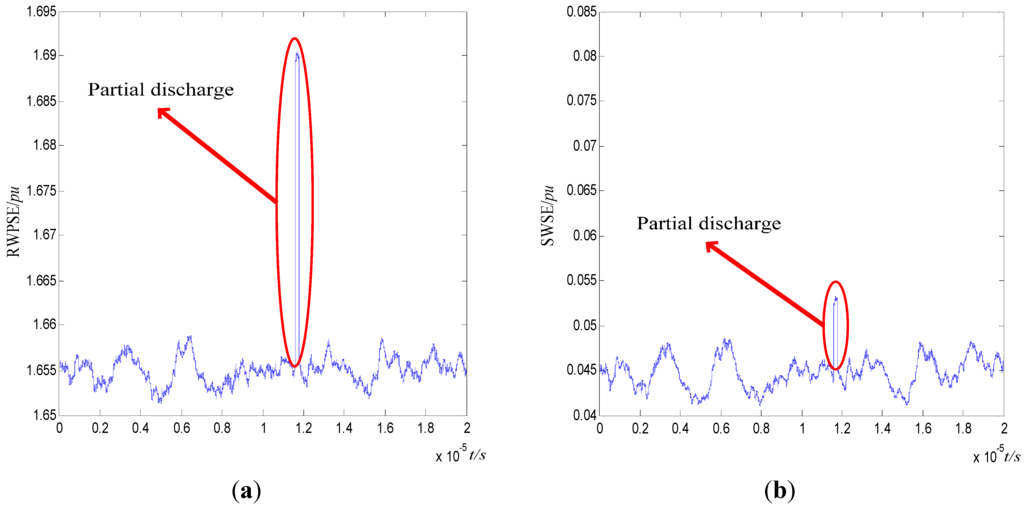
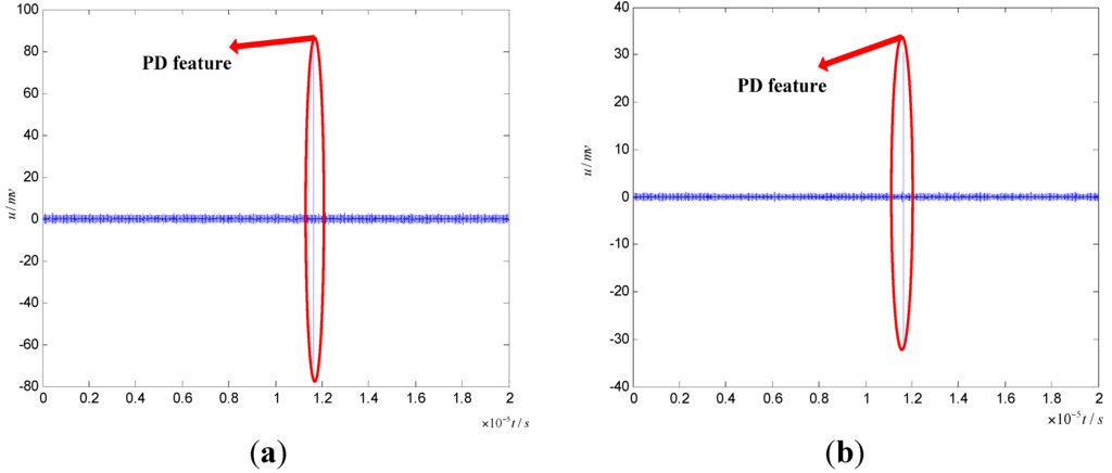
4.3. Analysis of Experimental Results


5. Conclusions
Acknowledgments
Author Contributions
Conflicts of Interest
References
- Liu, Q.; Wang, Z.P.; Zheng, Z.H. Application of wavelet singular entropy theory in transient protection and accelerated trip of transmission line protection. Autom. Electr. Power Syst. 2009, 33, 79–83. [Google Scholar]
- Zhang, Y.D.; Dong, Z.C.; Wang, S.H.; Ji, G.L.; Yang, J.Q. Preclinical diagnosis of Magnetic Resonance (MR) brain images via discrete wavelet packet transform with Tsallis entropy and generalized eigenvalue proximal support vector machine. Entropy 2015, 17, 1795–1813. [Google Scholar] [CrossRef]
- Chen, X.G.; Liu, D.; Xu, G.H.; Jiang, K.S.; Liang, L. Application of wavelet packet entropy flow manifold learning in bearing factory inspection using the ultrasonic technique. Entropy 2015, 15, 341–351. [Google Scholar] [CrossRef] [PubMed]
- Pavle, B.; Dani, J. Fault detection of mechanical drives under variable operating conditions based on wavelet packet Renyi entropy signatures. Mech. Syst. Signal Process. 2012, 31, 369–381. [Google Scholar] [CrossRef]
- Xing, Y.F.; Wang, Y.S.; Shi, L.; Guo, H.; Chen, H. Sound quality recognition using optimal wavelet-packet transform and artificial neural network methods. Mech. Syst. Signal Process. 2016, 66–67, 875–892. [Google Scholar] [CrossRef]
- Fatemeh, S.; Shyamala, D.; Azreen, A.; Azrul, J.; Asri, R.A.R. Multi-level basis selection of wavelet packet decomposition tree for heart sound classification. Comput. Biol. Med. 2013, 43, 1407–1414. [Google Scholar] [CrossRef] [PubMed]
- Banu, G.; Huseyin, H.; Ahmet, M.K. Wavelet packet based analysis of sound fields in rooms using coincident microphone arrays. Appl. Acoust. 2007, 68, 778–796. [Google Scholar] [CrossRef]
- Eui, Y.K.; Young, J.L.; Sang, K.L. Heath monitoring of a glass transfer robot in the mass production line of liquid crystal display using abnormal operating sounds based on wavelet packet transform and artificial neural network. J. Sound Vib. 2012, 331, 3412–3427. [Google Scholar] [CrossRef]
- Wang, Z.S.; Shaoru, B.; Lei, M.; Zhao, C.G.; Liu, Y.; Zhao, Z.F. Feature extraction and classification of load dynamic characteristics based on lifting wavelet packet transform in power system load modeling. Int. J. Electr. Power Energy Syst. 2014, 62, 353–363. [Google Scholar] [CrossRef]
- Walid, G.M.; El-Hawary, M.E. A new reactive, distortion and non-active power measurement method for nonstationary waveforms using wavelet packet transform. Electr. Power Syst. Res. 2009, 79, 1408–1415. [Google Scholar] [CrossRef]
- Liu, Z.G.; Yan, C.; Wen, H.L. Combined power quality disturbances recognition using wavelet packet entropies and s-transform. Entropy 2015, 17, 5811–5828. [Google Scholar] [CrossRef]
- Chen, J.K.; Li, G.Q. Tsallis wavelet entropy and its application in power singal analysis. Entropy 2014, 16, 3009–3025. [Google Scholar] [CrossRef]
- He, Z.Y.; Liu, Z.G.; Qian, Q.Q. Study on wavelet entropy theory and adaptability of its application in power system. Power Syst. Technol. 2004, 28, 17–21. [Google Scholar]
- Divjot, K.T.; Sonika, J. A semi blind DWT-SVD video watermarking. Proced. Comput. Sci. 2015, 46, 1661–1667. [Google Scholar] [CrossRef]
- Bagci, G.B. The validity of the third law of thermodynamics for the Renyi and homogeneous entropies. Physica A 2015, 437, 405–407. [Google Scholar] [CrossRef]
© 2015 by the authors; licensee MDPI, Basel, Switzerland. This article is an open access article distributed under the terms and conditions of the Creative Commons Attribution license (http://creativecommons.org/licenses/by/4.0/).
Share and Cite
Chen, J.; Dou, Y.; Wang, Z.; Li, G. A Novel Method for PD Feature Extraction of Power Cable with Renyi Entropy. Entropy 2015, 17, 7698-7712. https://doi.org/10.3390/e17117698
Chen J, Dou Y, Wang Z, Li G. A Novel Method for PD Feature Extraction of Power Cable with Renyi Entropy. Entropy. 2015; 17(11):7698-7712. https://doi.org/10.3390/e17117698
Chicago/Turabian StyleChen, Jikai, Yanhui Dou, Zhenhao Wang, and Guoqing Li. 2015. "A Novel Method for PD Feature Extraction of Power Cable with Renyi Entropy" Entropy 17, no. 11: 7698-7712. https://doi.org/10.3390/e17117698
APA StyleChen, J., Dou, Y., Wang, Z., & Li, G. (2015). A Novel Method for PD Feature Extraction of Power Cable with Renyi Entropy. Entropy, 17(11), 7698-7712. https://doi.org/10.3390/e17117698
