Study on Mixed Working Fluids with Different Compositions in Organic Rankine Cycle (ORC) Systems for Vehicle Diesel Engines
Abstract
:1. Introduction
2. Diesel Engine Experiment
3. Model of the ORC System
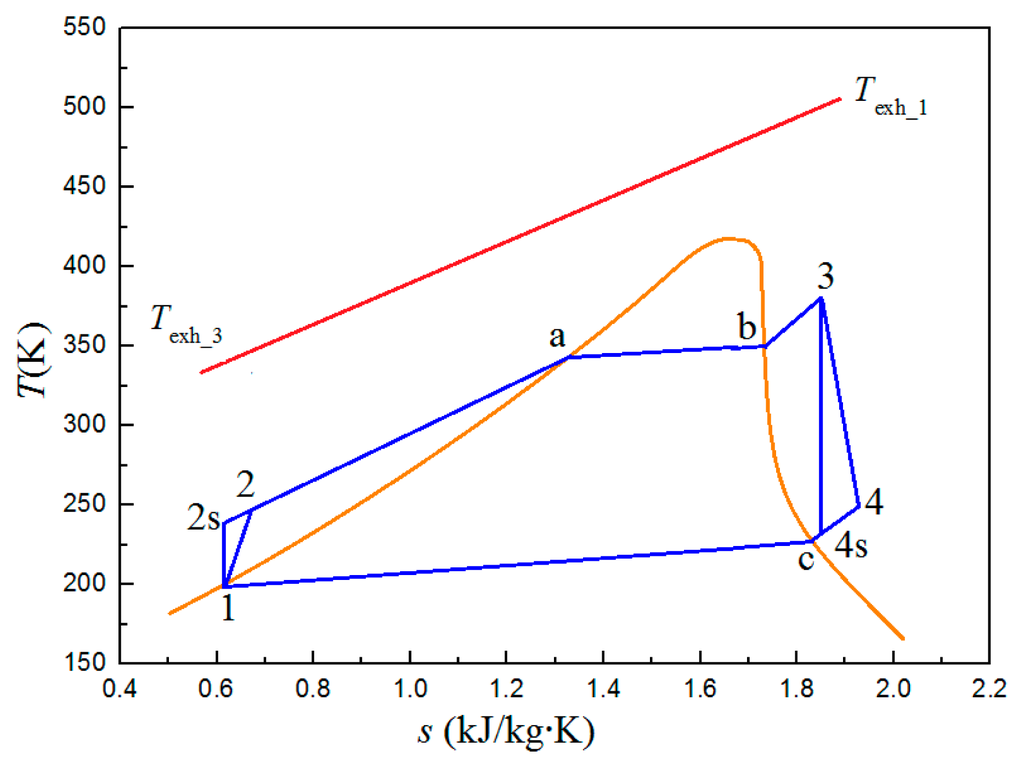
3.1. Description of the ORC System
- (1)
- The heat loss and pressure loss of each component and the pipelines in the ORC system were ignored.
- (2)
- The engine exhaust was used as the high temperature heat source of the ORC system, and the temperature of high temperature heat source was computed by Equation (7).
- (3)
- The ambient temperature was 298.15 K.
- (4)
- The isentropic efficiency of the pump was set to 0.85, the isentropic efficiency of the expander was set to 0.8, and the expansion ratio was set to 6.
- (5)
- The superheat degree of the working fluids was set to 10 K.
- (6)
- The evaporating pressure was set to 1, 2 and 3 MPa.
3.2. Description of the Mixed Working Fluids
4. Results and Discussion
5. Conclusions
- (1)
- Thermal efficiency decreases gradually with the decreasing mass fraction of R152a in mixed working fluids. M1 corresponds to the top thermal efficiency of 12.65% when the evaporating pressure is 2.0 MPa. The net power output, OEDWF, WHRE, and ETEIR decrease with the decreasing mass fraction of R152a in the mixed working fluids. M1 corresponds to the top net power output (34.61 kW), OEDWF (42.7 kJ/kg), WHRE (10.90%), and ETEIR (11.29%).
- (2)
- The running performances of the combined system vary with engine operating conditions. However, when the engine speed is 2200 r/min and engine torque is 1200 N·m, the net power output, WHRE, and ETEIR all reach the maximum value. Therefore, improved running performances of the combined system can be obtained when the engine operates with high power output.
- (3)
- The mass flux rate of the mixed working fluids varies for different engine operating conditions. Furthermore, the mass flux rate of the working fluids should be effectively regulated to efficiently recover the engine exhaust energy in the whole operating range of the vehicle diesel engine.
- (4)
- The running performances of the combined system are better with higher R152a mass fraction. However, the condensing temperature is low. Therefore, we think that the mixed working fluid M1 (R245fa/R152a, 0.1/0.9) is suitable for the diesel engine-ORC combined system.
Acknowledgments
Author Contributions
Conflicts of Interest
Nomenclature
| ̇ava | available exhaust energy rate (kW) |
| ̇ice | power output of the IC engine (kW) |
| ̇n | net power output (kW) |
| ̇fuel | fuel combustion energy rate (kW) |
| İ | exergy destruction rate (kW) |
| Texh_1 | exhaust temperature at evaporator inlet (K) |
| Texh_3 | exhaust temperature at evaporator outlet (K) |
| ̇fuel | fuel consumption rate (kg/h) |
| ̇ | power (kW) |
| ̇ | heat transfer rate (kW) |
| T | temperature (K) |
| s | entropy (kJ/kg·K) |
| P | pressure (MPa) |
| h | enthalpy (kJ/kg) |
| ̇ | mass flow flux rate of working fluid (kg/s) |
| ̇exh | exhaust mass flow rate (kg/s) |
| Greek letters | |
|---|---|
| ηs | isentropic efficiency of expander (%) |
| ηp | isentropic efficiency of pump (%) |
| η | efficiency (%) |
| cp | constant-pressure specific heat of the engine exhaust (kJ/kg·K) |
| Subscripts | |
|---|---|
| s | expander |
| c | condenser |
| p | pump |
| e | evaporator |
| Acronyms | |
|---|---|
| ORC | organic Rankine cycle |
| WHRE | waste heat recovery efficiency |
| PPTD | pinch point temperature difference |
| ETEIR | engine thermal efficiency increasing ratio |
| OEDWF | output energy density of working fluid |
| ODP | ozone depletion potential |
| GWP | global warming potential |
References
- Bari, S.; Hossain, S.N. Waste heat recovery from a diesel engine using shell and tube heat exchanger. Appl. Therm. Eng 2013, 61, 355–363. [Google Scholar]
- Yun, K.T.; Cho, H.; Luck, R.; Mago, P.J. Modeling of reciprocating internal combustion engines for power generation and heat recovery. Appl. Energy 2013, 102, 327–335. [Google Scholar]
- Khennich, M.; Galanis, N. Optimal Design of ORC Systems with a Low-Temperature Heat Source. Entropy 2012, 14, 370–389. [Google Scholar]
- Wang, J.; Yan, Z.; Wang, M.; Ma, S.; Dai, Y. Thermodynamic analysis and optimization of an (organic Rankine cycle) ORC using low grade heat source. Energy 2013, 49, 356–365. [Google Scholar]
- Lee, Y.R.; Kuo, C.R.; Liu, C.H.; Fu, B.R.; Hsieh, J.C.; Wang, C.C. Dynamic Response of a 50 kW Organic Rankine Cycle System in Association with Evaporators. Energies 2014, 7, 2436–2448. [Google Scholar]
- Mago, P.J.; Luck, R. Evaluation of the potential use of a combined micro-turbine organic Rankine cycle for different geographic locations. Appl. Energy 2013, 102, 1324–1333. [Google Scholar]
- Liu, C.; He, C.; Gao, H.; Xu, X.X.; Xu, J.L. The Optimal Evaporation Temperature of Subcritical ORC Based on Second Law Efficiency for Waste Heat Recovery. Entropy 2012, 14, 491–504. [Google Scholar]
- Roy, J.P.; Misra, A. Parametric optimization and performance analysis of a regenerative Organic Rankine Cycle using R-123 for waste heat recovery. Energy 2012, 39, 227–235. [Google Scholar]
- Wang, J.F.; Yan, Z.Q.; Zhao, P.; Dai, Y.P. Off-design performance analysis of a solar-powered organic Rankine cycle. Energy Convers. Manag 2014, 80, 150–157. [Google Scholar]
- El-Emam, R.S.; Dincer, I. Exergy and exergoeconomic analyses and optimization of geothermal organic Rankine cycle. Appl. Therm. Eng 2013, 59, 435–444. [Google Scholar]
- Xie, H.; Yang, C. Dynamic behavior of Rankine cycle system for waste heat recovery of heavy duty diesel engines under driving cycle. Appl. Energy 2013, 112, 130–141. [Google Scholar]
- Glavatskaya, Y.L.; Podevin, P.; Lemort, V.; Shonda, O.; Descombes, G. Reciprocating Expander for an Exhaust Heat Recovery Rankine Cycle for a Passenger Car Application. Energies 2012, 5, 1751–1765. [Google Scholar]
- Wei, M.S.; Fang, J.L.; Ma, C.C.; Danish, S.N. Waste heat recovery from heavy-duty diesel engine exhaust gases by medium temperature ORC system. Sci. China Technol. Sci 2011, 54, 2746–2753. [Google Scholar]
- Boretti, A.; Osman, A.; Aris, I. Design of Rankine Cycle Systems to Deliver Fuel Economy Benefits over Cold Start Driving Cycles. SAE Int. Tech. Paper 2012. [Google Scholar] [CrossRef]
- Domingues, A.; Santos, H.; Costa, M. Analysis of vehicle exhaust waste heat recovery potential using a Rankine cycle. Energy 2013, 49, 71–85. [Google Scholar]
- Hajabdollahi, Z.; Hajabdollahi, F.; Tehrani, M.; Hajabdollahi, H. Thermo-economic environmental optimization of Organic Rankine Cycle for diesel waste heat recovery. Energy 2013, 63, 142–151. [Google Scholar]
- Meinel, D.; Wieland, C.; Spliethoff, H. Effect and comparison of different working fluids on a two-stage organic rankine cycle (ORC) concept. Appl. Therm. Eng 2014, 63, 246–253. [Google Scholar]
- Peris, B.; Navarro-Esbrí, J.; Molés, F. Bottoming organic Rankine cycle configurations to increase Internal Combustion Engines power output from cooling water waste heat recovery. Appl. Therm. Eng 2013, 61, 364–371. [Google Scholar]
- Maraver, D.; Quoilin, S.; Royo, J. Optimization of Biomass-Fuelled Combined Cooling, Heating and Power (CCHP) Systems Integrated with Subcritical or Transcritical Organic Rankine Cycles (ORCs). Entropy 2014, 16, 2433–2453. [Google Scholar]
- Yang, M.H.; Yeh, R.H. Analysis of optimization in an OTEC plant using organic Rankine cycle. Renew. Energy 2014, 68, 25–34. [Google Scholar]
- Rayegan, R.; Tao, Y.X. A procedure to select working fluids for Solar Organic Rankine Cycles (ORCs). Renew. Energy 2011, 36, 659–670. [Google Scholar]
- Wang, E.H.; Zhang, H.G.; Fan, B.Y.; Ouyang, M.G.; Zhao, Y.; Mu, Q.H. Study of working fluid selection of organic Rankine cycle (ORC) for engine waste heat recovery. Energy 2011, 36, 3406–3418. [Google Scholar]
- Wu, W.; Zhao, L.; Ho, T. Experimental investigation on pinch points and maximum temperature differences in a horizontal tube-in-tube evaporator using zeotropic refrigerants. Energy Convers. Manag 2012, 56, 22–31. [Google Scholar]
- Heberle, F.; Preiringer, M.; Bruggemann, D. Zeotropic mixtures as working fluids in Organic Rankine Cycles for low-enthalpy geothermal resources. Renew. Energy 2012, 37, 364–370. [Google Scholar]
- Chen, H.; Goswami, D.Y.; Rahman, M.M.; Stefanakos, E.K. A supercritical Rankine cycle using zeotropic mixture working fluids for the conversion of low-grade heat into power. Energy 2011, 36, 549–555. [Google Scholar]
- Yang, K.; Zhang, H.G.; Wang, Z.; Zhang, J.; Yang, F.B.; Wang, E.H.; Yao, B.F. Study of zeotropic mixtures of ORC (organic Rankine cycle) under engine various operating conditions. Energy 2013, 58, 494–510. [Google Scholar]
- Liu, Q.; Duan, Y.Y.; Yang, Z. Effect of condensation temperature glide on the performance of organic Rankine cycles with zeotropic mixture working fluids. Appl. Energy 2014, 115, 394–404. [Google Scholar]
- Wang, X.D.; Zhao, L. Analysis of zeotropic mixtures used in low-temperature solar Rankine cycles for power generation. Sol. Energy 2009, 83, 605–613. [Google Scholar]












| Item | Parameter | Unit |
|---|---|---|
| Displacement | 9726 | mL |
| Rated power | 280 | kW |
| Maximum torque | 1500 | N·m |
| Rated speed | 2200 | r/min |
| Stroke | 130 | mm |
| Cylinder diameter | 126 | mm |
| Compression ratio | 17 | - |
| Engine speed (r/min) | Engine torque (N·m) | Engine power (kW) | Fuel consumption rate (kg/h) | Intake air flow rate (kg/h) | Engine exhaust temperature (K) |
|---|---|---|---|---|---|
| 2200 | 1214.9 | 279.87 | 66.01 | 1661.6 | 818.95 |
| 2000 | 1313.9 | 275.17 | 60.97 | 1554.2 | 783.45 |
| 1800 | 1420.8 | 267.80 | 56.70 | 1432.4 | 779.85 |
| 1600 | 1514.0 | 253.67 | 50.76 | 1252.4 | 745.95 |
| 1400 | 1543.2 | 226.24 | 44.14 | 1090.1 | 710.75 |
| 1200 | 1537.3 | 193.18 | 36.83 | 918.4 | 704.05 |
| 1000 | 1183.6 | 123.95 | 23.18 | 595.4 | 650.75 |
| 800 | 1001.0 | 83.86 | 16.38 | 361.7 | 653.95 |
| 600 | 240.1 | 15.09 | 3.49 | 201.0 | 474.05 |
| Working fluid | Chemical formula | Tcritical (K) | Pcritical (MPa) | ρcritical (kg/m3) | ODP | GWP (100 years) |
|---|---|---|---|---|---|---|
| R245fa | CHF2CH2CF3 | 427.16 | 3.651 | 516.08 | 0.0 | 950 |
| R152a | CH3CHF2 | 386.41 | 4.517 | 368.00 | 0.0 | 120 |
| Mixed working fluid | Components | Composition (mass fraction) | Estimation Tcritical (K) | Estimation Pcritical (MPa) |
|---|---|---|---|---|
| M1 | R245fa/R152a | 0.1/0.9 | 388.53 | 4.4773 |
| M2 | R245fa/R152a | 0.3/0.7 | 393.52 | 4.3616 |
| M3 | R245fa/R152a | 0.5/0.5 | 399.86 | 4.2047 |
| M4 | R245fa/R152a | 0.7/0.3 | 408.20 | 4.0137 |
| M5 | R245fa/R152a | 0.8/0.2 | 413.44 | 3.9082 |
| M6 | R245fa/R152a | 0.9/0.1 | 419.66 | 3.7946 |
| Mixed working fluid | State point 1 (kJ/kg) | State point 2 (kJ/kg) | State point 3 (kJ/kg) | State point 4 (kJ/kg) |
|---|---|---|---|---|
| M1 | 214.16 | 216.18 | 553.67 | 508.96 |
| M2 | 219.88 | 221.78 | 540.34 | 498.90 |
| M3 | 226.28 | 228.06 | 527.74 | 489.75 |
| M4 | 234.44 | 236.12 | 516.03 | 481.78 |
| M5 | 240.26 | 241.88 | 510.57 | 478.33 |
| M6 | 249.02 | 250.60 | 505.43 | 475.29 |
| Component | Engine operating conditions | M1 | M2 | M3 | M4 | M5 | M6 |
|---|---|---|---|---|---|---|---|
| Pump exergy destruction rate (kW) | 2200 (r/min), 1214.9 (N·m) | 0.239 | 0.237 | 0.233 | 0.228 | 0.226 | 0.226 |
| 1600 (r/min), 1514.0 (N·m) | 0.148 | 0.146 | 0.144 | 0.141 | 0.140 | 0.140 | |
| 1000 (r/min), 1183.6 (N·m) | 0.051 | 0.050 | 0.049 | 0.048 | 0.048 | 0.048 | |
| 600 (r/min), 240.1 (N·m) | 0.005 | 0.005 | 0.005 | 0.005 | 0.005 | 0.005 | |
| Evaporator exergy destruction rate (kW) | 2200 (r/min), 1214.9 (N·m) | 90.581 | 87.646 | 83.926 | 78.969 | 75.726 | 71.590 |
| 1600 (r/min), 1514.0 (N·m) | 51.644 | 49.829 | 47.529 | 44.464 | 42.459 | 39.901 | |
| 1000 (r/min), 1183.6 (N·m) | 15.419 | 14.796 | 14.007 | 12.956 | 12.268 | 11.390 | |
| 600 (r/min), 240.1 (N·m) | 1.036 | 0.969 | 0.884 | 0.770 | 0.696 | 0.601 | |
| Expander exergy destruction rate (kW) | 2200 (r/min), 1214.9 (N·m) | 8.684 | 8.235 | 7.682 | 7.065 | 6.752 | 6.474 |
| 1600 (r/min), 1514.0 (N·m) | 5.370 | 5.092 | 4.750 | 4.369 | 4.175 | 4.003 | |
| 1000 (r/min), 1183.6 (N·m) | 1.842 | 1.747 | 1.630 | 1.499 | 1.432 | 1.373 | |
| 600 (r/min), 240.1 (N·m) | 0.199 | 0.189 | 0.176 | 0.162 | 0.155 | 0.148 | |
| Condenser exergy destruction rate (kW) | 2200 (r/min), 1214.9 (N·m) | 9.251 | 10.700 | 12.301 | 13.588 | 13.605 | 12.360 |
| 1600 (r/min), 1514.0 (N·m) | 5.720 | 6.616 | 7.606 | 8.402 | 8.413 | 7.643 | |
| 1000 (r/min), 1183.6 (N·m) | 1.962 | 2.270 | 2.609 | 2.882 | 2.886 | 2.622 | |
| 600 (r/min), 240.1 (N·m) | 0.212 | 0.245 | 0.282 | 0.311 | 0.312 | 0.283 | |
© 2014 by the authors; licensee MDPI, Basel, Switzerland This article is an open access article distributed under the terms and conditions of the Creative Commons Attribution license (http://creativecommons.org/licenses/by/3.0/).
Share and Cite
Yang, K.; Zhang, H.; Wang, E.; Song, S.; Bei, C.; Chang, Y.; Wang, H.; Yao, B. Study on Mixed Working Fluids with Different Compositions in Organic Rankine Cycle (ORC) Systems for Vehicle Diesel Engines. Entropy 2014, 16, 4769-4787. https://doi.org/10.3390/e16094769
Yang K, Zhang H, Wang E, Song S, Bei C, Chang Y, Wang H, Yao B. Study on Mixed Working Fluids with Different Compositions in Organic Rankine Cycle (ORC) Systems for Vehicle Diesel Engines. Entropy. 2014; 16(9):4769-4787. https://doi.org/10.3390/e16094769
Chicago/Turabian StyleYang, Kai, Hongguang Zhang, Enhua Wang, Songsong Song, Chen Bei, Ying Chang, Hongjin Wang, and Baofeng Yao. 2014. "Study on Mixed Working Fluids with Different Compositions in Organic Rankine Cycle (ORC) Systems for Vehicle Diesel Engines" Entropy 16, no. 9: 4769-4787. https://doi.org/10.3390/e16094769
APA StyleYang, K., Zhang, H., Wang, E., Song, S., Bei, C., Chang, Y., Wang, H., & Yao, B. (2014). Study on Mixed Working Fluids with Different Compositions in Organic Rankine Cycle (ORC) Systems for Vehicle Diesel Engines. Entropy, 16(9), 4769-4787. https://doi.org/10.3390/e16094769
