Hawking and Unruh Effects of a 5-Dimensional Minimal Gauged Supergravity Black Hole by a Global Embedding Approach
Abstract
:1. Introduction
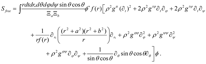
2. Dimensional Reduction near the Horizon
3. Reduced Global Embedding
4. Examples
4.1. Schwarzschild Metric
4.2. RN-AdS Metric
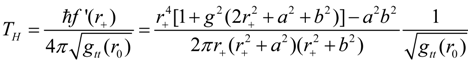
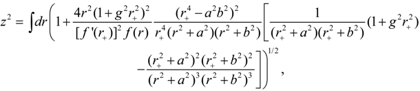
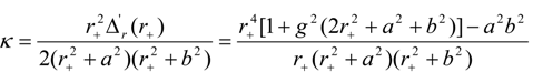
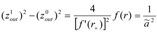
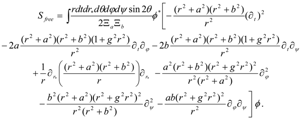
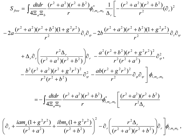
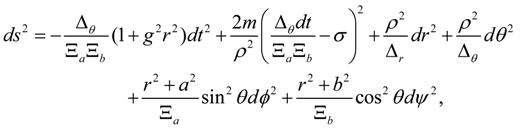
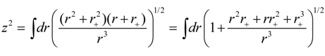
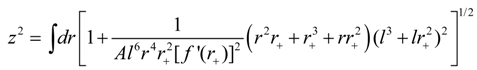
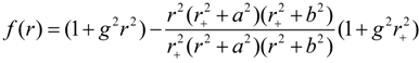
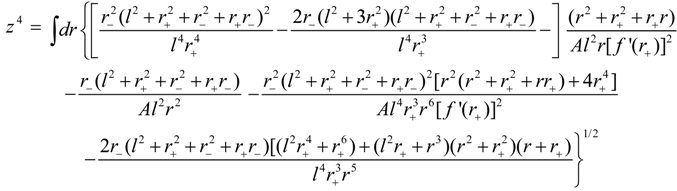
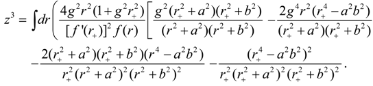
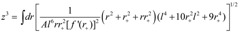
4.3. 5-Dimensional Kerr-(Anti)-de Sitter Metric
5. Conclusions
Acknowledgments
References
- Hawking, S.W. Black hole explosions? Nature 1974, 248, 30–31. [Google Scholar] [CrossRef]
- Hawking, S.W. Particle creation by black holes. Commun. Math. Phys. 1975, 43, 199–220. [Google Scholar] [CrossRef]
- Wald, R.M. On particle creation by black holes. Commun. Math. Phys. 1975, 45, 9–34. [Google Scholar] [CrossRef]
- Fulling, S.A. Nonuniqueness of canonical field quantization in qiemannian space-time. Phys. Rev. D 1973, 7, 2850–2862. [Google Scholar] [CrossRef]
- Davies, P.C.W. Scalar production in Schwarzschild and Rindler metrics. J. Phys. A Math. Gen. 1975, 8, 609–616. [Google Scholar] [CrossRef]
- Bekenstein, J.D. Black Holes and Entropy. Phys. Rev. D 1973, 7, 2333–2346. [Google Scholar] [CrossRef]
- Robinson, S.P.; Wilczek, F. Relationship between Hawking radiation and gravitational anomalies. Phys. Rev. Lett. 2005, 95, 011303–01136. [Google Scholar] [CrossRef] [PubMed]
- Akhmedov, E.T.; Piling, T.; Singleton, D. Subtleties in the quasi-classical calculation of Hawking radiation. Int. J. Mod. Phys. D 2008, 17, 2453–2458. [Google Scholar] [CrossRef]
- Akhmedova, V.; Piling, T.; Gill, A.D.; Singleton, D. Comments on an anomaly versus WKB/tunneling methods for calculating Unruh radiation. Phys. Lett. B. 2009, 673, 227–231. [Google Scholar] [CrossRef]
- Deser, S.; Levin, O. Equivalence of Hawking and Unruh temperatures and entropies through flat space embeddings. Class. Quant. Grav. 1998, 15, L85–L88. [Google Scholar] [CrossRef]
- Banerjee, R.; Majhi, B.R. A new global embedding approach to study Hawking and Unruh effects. Phys. Lett. B 2010, 690, 83–86. [Google Scholar] [CrossRef]
- Singleton, D.; Wilburn, S. Hawking radiation, Unruh radiation and the equivalence principle. Phys. Rev. Lett. 2011, 107, 081102–081106. [Google Scholar] [CrossRef] [PubMed]
- Zampeli, A.; Singleton, D.; Vagenas, E.C. Hawking radiation, chirality, and the principle of effective theory of gravity. J. High Energy Phys. 2012, 06, 097–104. [Google Scholar] [CrossRef]
- Raffaelli, B. A scattering approach to some aspects of the Schwarzschild Black Hole. J. High Energy Phys. 2013, 1301, 188–202. [Google Scholar] [CrossRef]
- Unruh, W.G. Notes on black-hole evaporation. Phys. Rev. D 1976, 14, 870–992. [Google Scholar] [CrossRef]
- Deser, S.; Levin, O. Accelerated detectors and temperature in (anti-) de Sitter spaces. Class. Quant. Grav. 1997, 14, L163–L168. [Google Scholar] [CrossRef]
- Deser, S.; Levin, O. Mapping hawking into unruh thermal properties. Phys. Rev. D 1999, 59, 064004–064013. [Google Scholar] [CrossRef]
- Hong, S.T.; Kim, W.T.; Oh, J.J.; Park, Y.J. Higher dimensional flat embeddings of black strings in 2 + 1 dimensions. Phys. Rev. D 2001, 63, 127502–127505. [Google Scholar] [CrossRef]
- Santos, N.L.; Dias, O.J.C.; Lemos, J.P.S. Global embedding of D-dimensional black holes with a cosmological constant in Minkowskian spacetimes: matching between hawking temperature and Unruh temperature. Phys. Rev. D. 2004, 70, 124033–124039. [Google Scholar] [CrossRef]
- Chen, H.Z.; Tian, Y. Note on the generalization of the global embedding Minkowski spacetime approach. Phys. Rev. D 2005, 71, 104008–104011. [Google Scholar] [CrossRef]
- Chen, H.Z; Song, X.C; Tian, Y.; Gao, Y.H. The GEMS approach to stationary motions in the spherically symmetric spacetimes. J. High Energy Phys. 2004, 10, 011. [Google Scholar] [CrossRef]
- Tian, Y. De Sitter thermodynamics from diamonds’s temperature. J. High Energy Phys. 2005, 6, 045. [Google Scholar] [CrossRef]
- Brynjolfsson, E.J.; Thorlacius, L. Taking the temperature of a black hole. J. High Energy Phys. 2008, 9, 066. [Google Scholar] [CrossRef]
- Hirayama, T.; Kao, P.W.; Kawamoto, S.; Lin, F.L. Unruh effect and holography. Nucl. Phys. B 2011, 844, 1–25. [Google Scholar] [CrossRef]
- Caceres, E.; Chernico, M.; Guijosa, A.; Pedraza, J.F. Quantum fluctuations and the Unruh effect in strongly-coupled conformal field theories. J. High Energy Phys. 2010, 6, 78. [Google Scholar] [CrossRef]
- Crispino, L.C.B.; Higuchi, A.; Matsas, G.E.A. The Unruh effect and its applications. Rev.Mod. Phys. 2008, 80, 787–838. [Google Scholar] [CrossRef]
- Zhang, L.C.; Li, H.F.; Zhao, R. Hawking and Unruh effects of the cosmological horizon in a higher-dimensional Kerr-de Sitter spacetime by the global embedding approach. Europhys. Lett. 2011, 94, 40003. [Google Scholar] [CrossRef]
- Zhang, L.C.; Li, H.F.; Zhao, R. Tunneling mechanism in higher-dimensional rotating black hole with a cosmological constant in the approach of dimensional reduction. Astophys. Space Sci. 2011, 333, 457–462. [Google Scholar]
- Witten, E. Anti-de Sitters space and holography. Adv. Theor. Math. 1998, 2, 253. [Google Scholar]
- Giddings, S.; Thomas, S. High energy colliders as black hole factories: The end of short distance physics. Phys. Rev. D 2002, 65, 056010–056021. [Google Scholar] [CrossRef]
- Mureika, J.; Nicolini, P.; Spallucci, E. Could any black holes be produced at the LHC? Phys. Rev. D 2012, 85, 106007–106014. [Google Scholar] [CrossRef]
- Dimopoulos, S.; Landsberg, G. Black holes at the large Hadron collider. Phys. Rev. Lett. 2001, 87, 161602–161605. [Google Scholar] [CrossRef] [PubMed]
- Iso, S.; Umetsu, H.; Wilczek, F. Anomalies, Hawking radiations, and regularity in rotating black holes. Phys. Rev. D 2006, 74, 044017–044016. [Google Scholar] [CrossRef]
- Umetsu, K. Hawking radiation from Kerr-Newman black hole and tunneling mechanism. Int. J. Mod. Phy. A. 2010, 25, 4123–4140. [Google Scholar] [CrossRef]
- Porfyriadis, A.P. Hawking radiation via anomaly cancellation for the black holes of five-dimensional minimal gauged supergravity. Phys. Rev. D 2009, 79, 084039–089045. [Google Scholar] [CrossRef]
- Chong, Z.W.; Cvetic, M.; Lu, H.; Pope, C.N. General nonextremal rotating black holes in minimal five-dimensional gauged supergravity. Phys. Rev. Lett. 2005, 95, 161301–161304. [Google Scholar] [CrossRef] [PubMed]
- Tolman, R.C. Relativity, Thermodynamics and Cosmology; Dover Pulication: New York, NY, USA, 1987; p. 318. [Google Scholar]
© 2013 by the authors; licensee MDPI, Basel, Switzerland. This article is an open access article distributed under the terms and conditions of the Creative Commons Attribution license (http://creativecommons.org/licenses/by/3.0/).
Share and Cite
Zhao, H.-H.; Zhang, L.-C.; Li, G.-L. Hawking and Unruh Effects of a 5-Dimensional Minimal Gauged Supergravity Black Hole by a Global Embedding Approach. Entropy 2013, 15, 1057-1068. https://doi.org/10.3390/e15031057
Zhao H-H, Zhang L-C, Li G-L. Hawking and Unruh Effects of a 5-Dimensional Minimal Gauged Supergravity Black Hole by a Global Embedding Approach. Entropy. 2013; 15(3):1057-1068. https://doi.org/10.3390/e15031057
Chicago/Turabian StyleZhao, Hui-Hua, Li-Chun Zhang, and Guang-Liang Li. 2013. "Hawking and Unruh Effects of a 5-Dimensional Minimal Gauged Supergravity Black Hole by a Global Embedding Approach" Entropy 15, no. 3: 1057-1068. https://doi.org/10.3390/e15031057
APA StyleZhao, H.-H., Zhang, L.-C., & Li, G.-L. (2013). Hawking and Unruh Effects of a 5-Dimensional Minimal Gauged Supergravity Black Hole by a Global Embedding Approach. Entropy, 15(3), 1057-1068. https://doi.org/10.3390/e15031057
