Abstract
What is the impact of a bank failure on the whole banking industry? To resolve this issue, the paper develops a transfer entropy-based method to determine the interbank exposure matrix between banks. This method constructs the interbank market structure by calculating the transfer entropy matrix using bank stock price sequences. This paper also evaluates the stability of Chinese banking system by simulating the risk contagion process. This paper contributes to the literature on interbank contagion mainly in two ways: it establishes a convincing connection between interbank market and transfer entropy, and exploits the market information (stock price) rather than presumptions to determine the interbank exposure matrix. Second, the empirical analysis provides an in depth understanding of the stability of the current Chinese banking system.
1. Introduction
The Basel III Accord published in 2009 proposed for the first time an additional capital requirement for inter-financial sector exposures, indicating that regulators have been aware of the necessity to prevent the occurrence of risk contagion among banks. As a matter of fact, the 2008 subprime mortgage crisis has triggered a global financial crisis through the contagion among banks. Hoggarth et al. [1] studied 47 banking crisis over the 1977–1998 period in both developing and developed countries and find that the resulting cumulative output loss reached as much as 15%–20% of annual GDP. These cases show that such banking crises can have substantial impacts on the economy.
Traditional micro-prudential regulation focuses on the risk management of a specific bank, which has been proved insufficient from a systemic perspective. In extreme circumstances, a single bank failure can lead to massive bank failures because the initial shock can spread to other banks through the interbank market. Considering the possibility that bank interdependencies magnify the risk, regulators are trying to push bank supervision more towards a system-wide framework. Banks are also required to not only look at the risk of individual exposures, but also account for correlations of the exposures when assessing their investment portfolios [2].
2. Literature Review
Quite a few research papers on risk contagion among banks regard the banking system as a network, and the contagion process is simulated using network dynamics. For example, Nier et al. [3] constructed a banking system whose structure is described by parameters including the level of capitalization, the degree to which banks are connected, the size of interbank exposures and concentration degree of the system, and then they analyzed the resilience of the system to an initial bank failure by varying the structural parameters, and identified a negative and non-linear relationship between contagion and capital.
Insightful studies by Allen and Gale [4] and Freixas et al. [5] illustrate that the possibility of contagion largely depends on the structure of the interbank market. Allen and Gale consider a simplified banking system consisted of 4 banks, and initialize the system with different market structures, their results indicate that for the same shock, a complete structure is more robust than incomplete structure. Freixas et al. discuss three scenarios of interbank exposures through credit lines: a credit chain, diversified lending and a money center case, and they conclude that contagious failures occur more easily in the credit chain case than in the diversified lending case; as for the money center case, the probability of contagion is determined by the values of model parameters. Both researches uncover critical issues concerning how interbank market structure affects risk contagion among banks, yet the models still have room for improvement given the complexity of the real interbank market.
Recently, a series of papers have revealed the latest progress in banking network studies. Berman et al. [6] formalized a model for propagation of an idiosyncratic shock on the banking network, and constructed the stability index, which can be used to indicate the stability of the banking network. Haldane and May [7] draw analogies with the dynamics of ecological food webs and with networks within which infectious diseases spread. Minoiu and Reyes [8] investigated the properties of global banking networks with bank lending data for 184 countries, and find that the 2008-2009 crisis perturbed the network significantly. DasGupta and Kaligounder [9] investigated the global stability of financial networks that arise in the OTC derivatives market.
Subsequently, a considerable amount of simulations and empirical researches on interbank contagion were performed, as surveyed by Upper [10]. Examples include Sheldon and Maurer [11] for the Swiss banking system, Blåvarg and Nimander [12] for Sweden, Furfine [13] for the US Federal Funds market, Upper and Worms [14] for Germany, Elsinger et al. [15] for Austria, Van Lelyveld and Liedorp [16] and Mistrulli [17] for Italy. These papers follow a similar routine: first estimate the actual interbank exposure matrix (a N × N square matrix reflecting the credit exposure of N banks to each other in the system), then simulate the impact of a single bank failure or multiple bank failures on the system. The key step of this routine is the estimation of the interbank exposure matrix, because the matrix depicts the structure of the interbank market, and will eventually determine the possibility of contagion in the banking system.
Owing to the limitations of data sources, interbank exposure matrices can only be estimated indirectly. Currently, the maximum entropy estimation with balance sheet data is the most widely used method in determining the interbank exposure matrix. In this method, the aggregated interbank assets and liabilities disclosed in balance sheets are the only input information, and the matrix can be derived by maximizing its entropy. Some authors claim that this method is the least biased given that only limited information of the interbank market structure, namely the aggregated interbank assets and liabilities are available. However, considering the fact that there may be other available data concerning the interbank market structure and the maximization of the matrix entropy probably deviates from reality, the assumption of the method can be problematic. Mistrulli [18] shows that for the Italian banking system the use of maximum entropy techniques underestimates contagion risk relative to an approach that uses information on actual bilateral exposures.
Transfer entropy is a relatively new concept introduced by Schreiber in 2000 [19], and it measures the information transfer between two time series. Compared with other cross-correlation statistics, transfer entropy is an asymmetric measure and takes into account only statistical dependencies truly originating in the “source” series, but not those deriving from a shared history, like in the case of a common external driver. These characteristics of transfer entropy make it a superior tool to analyze the casual interactions among variables of a complex system. In the last decade, transfer entropy has been applied to studies within the context of financial markets. Marschinski and Matassini [20] designed a procedure to apply transfer entropy to the detection of casual effect between two financial time series. Kwon and Yang [21] calculated the transfer entropy between 135 NYSE stocks and identified the leading companies by the directionality of the information transfer. In a separate paper [22], they analyzed the information flow between 25 stock markets worldwide, their results show that America is the biggest source of information flow.
This paper aims to establish a new method to determine the interbank exposure matrix, within a transfer entropy context. Furthermore, the stability of Chinese banking industry is investigated. The remainder of this paper is organized as follows: in Section 2, a detailed description of the method is given. Section 3 presents the empirical study and results. Section 4 concludes the presentation.
3. Method
3.1. Definition of Transfer Entropy
When considering the interactions between two systems evolving in time, the linear correlation coefficient, Kendall rank correlation coefficient, and mutual information [23] are the most commonly used statistics. However, they are incapable of distinguishing information that is actually exchanged from shared information due to common history and input signals. Schreiber proposed transfer entropy to exclude these influences by appropriate conditioning of the transition probabilities.
Consider two processes I and J, the transfer entropy is defined as:
Equation 1 measures how much additional information does J provide for the prediction of I(t+1) apart from the historical information provided by I itself. A mathematical expression of Equation (1) is:
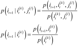
Here, it represents the state of I at time t, and is a k dimensional vector representing the most recent k states of I before it+1, is a l dimensional vector representing the most recent l states of J before jt+1. Additionally,
.The transfer entropy from I to J can be derived by exchanging i and j in Equation (2).
.The transfer entropy from I to J can be derived by exchanging i and j in Equation (2).3.2. Numerical Solution for Transfer Entropy
Though the analytic form of transfer entropy is relatively simple, there is still a distance between numerical and practical application. In most cases, we need to obtain I and J by coarse graining a continuous system at resolution ε. Usually, when ε→0, we will get a more accurate transfer entropy, but the computational cost will grow rapidly as well. For this consideration, an appropriate resolution should be determined to balance the accuracy and computational cost. In this paper, we set the resolution according to the length of dataset, for a dataset of N samples, the continuous interval of the sample is discretized into (N/4)1/3 parts, which balances the accuracy and efficiency.
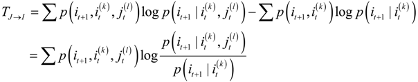
Another difficulty lies in that the conditional probabilities in Equation (2) can’t be estimated directly given I and J. To solve this problem, we propose a transformation on Equation (2). According to the definition of conditional probability,
and
can be rewritten as:
and
can be rewritten as:
Substituting Equation (3) into Equation (2), we have:
This new expression contains only joint probability, and thus simplifies the calculation of transfer entropy. Generally speaking, the parameter k and l should be as large as possible so that the information introduced by the history of process I itself can be excluded to the most extent. However, as the amount of data required grows like N(k+l) [24], the finite sample effects would be quite significant if k and l is excessively large, so reasonable values of both k and l is of crucial importance in practice. In this paper, since we have limited sample, both k and l are set to be 1.
3.3. Determine the Interbank Exposure Matrix with Transfer Entropy
As mentioned in the Introduction section, the widely used maximum entropy estimation of interbank exposure matrix suffers from biased assumptions and can significantly deviate from practice. In this paper, we determine the interbank market structure by calculating the transfer entropy matrix of the banking industry with daily stock closing price, and then an adjustment on the transfer entropy matrix is made by using the RSA algorithm [17] as well as the aggregated interbank assets and liabilities, after which we derive the interbank exposure matrix. The interbank market may be represented by the following N × N matrix:
Here, xij represents the amount of money bank i lends to bank j. Since a bank can’t lend to itself, we have N diagonal elements equal to 0. But to identify the matrix, other N2 − N elements have to be estimated.
Previous studies on the movement of stock prices such as Levine and Zeros [25], Chiarella and Gao [26] and Hooker [27] have proved that stock markets’ return are affected by macroeconomic indicators such as GDP, productivity, employment and interest rates. In terms of the correlation between two stocks, especially when they belong to the same sector, we can see two types of mechanisms to generate significant correlation between them [28]:
- External effect (e.g. economic, political news, etc.) that influences both stock prices simultaneously. In this case the change for both prices appears at the same time.
- One of the companies has an influence on the other (e.g. one of the company’s operations depends on the other). In this case the price change of the influenced stock appears later in time because it needs some time to react on the price change of the first stock, in other words one of the stocks pulls the other.
According to the definition of transfer entropy, it measures the information flow between two time series. The transfer entropy from stock price of bank I to stock price of bank J measures the information flow from I to J, which depicts how much influence does the stock price of bank I has on the stock price of bank J.For the two types of correlation mechanisms for stocks, the external effect that influences two stock prices of banks at the same time generates no information flow between bank I and bank J, thus such effect does not contribute to TI→J, where TI→J measures the second type of correlation between two stock prices.
Since stock price reflects investors’ expectation of a company’s future earnings [29,30], we infer that TI→J measures the influence of earning condition of bank I to bank J, that is to say, such influence is realized mainly through interbank lending and borrowing between I and J, so TI→J depicts the lending and borrowing activity between I and J, and can be used to estimate the interbank exposure.
We use a transfer entropy matrix to depict the structure of interbank exposure matrix. Define
as time series of the stock price for bank. The transfer entropy from
to
is:
as time series of the stock price for bank. The transfer entropy from
to
is:
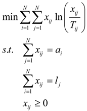
The structure of resulting transfer entropy matrix T = {TI→J} serves as an approximation of interbank exposure matrix structure. To determine the interbank exposure matrix, we need to adjust the transfer entropy matrix so that the resulted matrix meets the following constraints:
where, ai represents the amount of money bank i lends to other banks and lj represents the amount of money bank j raised from other banks.
The adjustment can be described by the following optimization problem:
where xij represent the interbank exposure matrix.
This problem can be solved numerically using RAS algorithm, the process is summarized as the following iterations:
- Step 1: (row adjustment):
, where 
- Step 2: (column adjustment):
, where 
- Step 3: return to step 1
3.4. The Contagion Process Modeling
According to the literature review of risk contagion among banking systems by Upper, the most widely used mechanism of the contagion process is the fictitious default algorithm developed by Eisenberg and Noe [31] and the sequential default algorithm developed by Furfine [13]. We will describe both models in this section, which will be used in the contagion process simulation in Section 4.4.
3.4.1. Eisenberg-Noe’s Mechanism
Eisenberg and Noe [31] developed a clearing mechanism that solves the interbank payment vectors of all banks in the system simultaneously. The interbank market structure is represented by (L,e), where L is a n × n nominal interbank liabilities matrix, and e is the exogenous operating cash flow vector. Let
represent total nominal liability of bank i to all other banks, that is
. Let:
be the relative liabilities matrix.
represent total nominal liability of bank i to all other banks, that is
. Let:
The mechanism sets three criteria in the clearing process, namely: (1) Limited liability, a bank could pay no more than its available cash flow; (2) The priority of debt, stock holders of a bank receive no value until it pays off its outstanding liabilities; (3) Proportionality, if default occurs, creditors are paid in proportion to the size of their nominal claim on the defaulted bank’s assets. Eisenberg and Noe demonstrate that there exists a unique clearing payment vector under the three criteria and the regular financial system assumption. For a payment vector
, it is a clearing payment vector if and only if the following condition holds:
.
, it is a clearing payment vector if and only if the following condition holds:
. The number of banks defaulted can be obtained by comparing the clearing payment vector with nominal liability vector. A fictitious default algorithm is implemented to calculate the clearing payment vector, which can be summarized by the following steps:
- Initialize
, and calculate the net value of bank i,
. If ∀i, Vi ≥ 0, it means no bank defaults and the clearing payment vector is
, the algorithm terminates; otherwise go to step 2. - Find banks with net value Vi < 0, these banks can only pay part of the liabilities to other banks, and the ratio is
, we denote these banks by U. Under the assumption that only banks in U default, we replace Lij by θ * Lij so that the limited liability criterion is met, and thus get new Lij, ∏ij, Pi and Vi. Repeat step 2 while U is not empty.
The procedure gives us the clearing payment vector for the banking system which satisfies
. By tracing the fictitious default process, we obtain the sequence of defaults (keep in mind that the process is fictitious, and in reality both the clearing process and defaults are simultaneous) and can distinguish between defaults caused by bad economic situation (defaults in the first round)-and defaults caused by the defaults of other banks (defaults after the first round).
. By tracing the fictitious default process, we obtain the sequence of defaults (keep in mind that the process is fictitious, and in reality both the clearing process and defaults are simultaneous) and can distinguish between defaults caused by bad economic situation (defaults in the first round)-and defaults caused by the defaults of other banks (defaults after the first round).3.4.2. Furfine’s Sequential Default Algorithm
Another contagion process model is developed by Furfine [13], we refer to it as the sequential default algorithm. He regards the contagion as a sequential process. For example, the initial failure of bank i will result in capital loss of its creditors, which is calculated by multiplying the loss rate of a given default by the exposure of its creditors. If the loss is large enough, its creditors will go bankrupt, and this may trigger another round of bank failures. We denote the loss rate given default as α, the equity capital of bank i as Ci, external loss resulting from non-interbank market is assume to be proportional to Ci and the ratio is set to be a constant β ,the contagion mechanism can be summarized as below [13]:
- Round 1: bank i fails because of an external shock;
- Round 2: bank j suffers a total capital loss of αXji (Xji is the exposure bank j to bank i), and αXji > (1-β)Cj, which leads to the failure of bank j;
- Round 3: the failures of bank i and j results in a total capital loss of α(Xki+Xkj) > (1-β)Ck for bank k and eventually leads to the failure of bank k.
- Round 4: similar to round 3, and the contagion process will continue until all surviving banks can absorb the capital loss with their equity capital, which means no banks go bankruptcy.
We illustrate the procedure of the method in Figure 1.
Figure 1.
Procedure of the method.
4. Empirical Research and Results
In this section, we investigate the possibility of contagion in Chinese banking industry based on the transfer entropy method. As illustrated in Section 3, stock price, aggregated interbank assets and liabilities are essential in the determination of interbank exposure matrix. Generally speaking, the information is only available for listed banks. According to a survey conducted by China Banking Regulatory Commission in 2012, the Chinese banking system consisted of more than 300 banks, among which 16 are listed banks. The 16 listed banks are the largest banks in China, with total assets amounting to 65% of the total banking industry assets in 2012. The remaining unlisted banks are much smaller scale, thus can be merged into a single bank, which we call it edian bank. That is to say, we have 17 banks in Chinese banking system.
4.1. Data Description
The data used in this study stems from two sources. Daily stock closing prices of the 16 listed banks are drawn from the Wind database, a leading integrated service provider of financial data in China. The time interval for each stock sequence is from the first trading day to 31 December 2012. Aggregated interbank assets and liabilities are drawn from the annual reports of the 16 listed banks. Instead of publishing aggregated interbank assets and liabilities directly, the annual reports give us their sub-items, namely deposits in other banks, due from banks, financial assets purchased under resale, deposits from other banks, interbank borrowing, and repurchase agreements. The annual reports also provide us with the equity capital of banks. The 16 listed banks are listed in Table 1:
Table 1.
The 16 Chinese listed banks
| Names of the banks | |
|---|---|
| ChinaMinsheng Bank (CMBC) | Bank of Beijing (BCCB) |
| Spd Bank (SPDB) | Bank of Ningbo (BONB) |
| Industrial Bank (IB) | China Construction Bank (CCB) |
| China Merchants Bank (CMB) | ChinaEverbright Bank (CEB) |
| Bank of Communications (BOCOM) | Bank of Nanjing (BONJ) |
| Agricultural Bank of China (ABC) | Bank of China (BOC) |
| Huaxia Bank (HXB) | ChinaCitic Bank (CITIC) |
| Industrial And Commercial Bank of China (ICBC) | Pingan Bank (PAB) |
4.2. Data Preprocessing
The transfer entropy matrix calculation requires the stock price of each bank to have the same time interval, which is not the case in the original samples. To unify the time interval, starting points of all listed banks are changed to be the same as Pingan Bank, who was the latest to go public among the 16 listed banks. The new stock price sequences cover the period 2011/1/4–2012/12/31, with 487 records.
Exploiting the information extracted from annual reports, we obtain the aggregated interbank assets by summing up deposits in other banks, due from banks, and financial assets purchased under resale. The interbank liabilities are derived by summing up deposit from other banks, interbank borrowing, and repurchase agreements.
As for the median bank, its stock price is supposed to be the weighted average of the other 16 listed bank, total assets of each bank is chosen as the weighting coefficient. Its aggregated assets and liabilities are obtained by subtracting the total aggregated assets and liabilities of the banking system from the sum of the 16 listed banks.
4.3. Transfer Entropy Matrix & Interbank Exposure Matrix Calculation
The stock price sequence is divided into two separate parts, the first part is from 2011/1/4 to 2011/12/30, and the second part is from 2012/1/4 to 2012/12/31. By applying the procedure we have described above, we obtain the interbank exposure matrix of 2011 and 2012. The matrices are presented as Figure 2 and Figure 3, in the form of heat maps.
Figure 2.
Heat map of interbank exposure matrix in 2011.
Figure 3.
Heat map of interbank exposure matrix in 2012.
The heat map is consisted of 17 × 17 grids, with each corresponding to an element in the interbank exposure matrix. The grey scale of each grid is proportional to the value of the element in the matrix, the brighter the grid is, the larger value the element has. Here we introduce the concept of contrast rate; it is defined as the luminosity ratio of the brightest part to the darkest part of a map. Obviously, the heat map in Figure 3 shows a higher contrast rate than that in Figure 2, this means that the interbank market structure in 2011 is more diversified than that in 2012. Considering the whole interbank exposure matrix is too big to present here, only part of the matrix is shown in Table 2 and Table 3.
Table 2.
Interbank exposure matrix of five major Chinese banks in 2011.
| billion | ICBC | CCB | BOCOM | ABC | BOC |
|---|---|---|---|---|---|
| ICBC | 0.0 | 130.9 | 36.4 | 51.8 | 103.1 |
| CCB | 128.2 | 0.0 | 29.9 | 34.6 | 62.9 |
| BOCOM | 44.0 | 24.9 | 0.0 | 19.8 | 77.6 |
| ABC | 151.0 | 72.0 | 30.6 | 0.0 | 72.1 |
| BOC | 183.6 | 49.8 | 51.7 | 64.3 | 0.0 |
Table 3.
Interbank exposure matrix of five major Chinese banks in 2012.
| billion | ICBC | CCB | BOCOM | ABC | BOC |
|---|---|---|---|---|---|
| ICBC | 0.0 | 127.8 | 21.6 | 88.8 | 253.5 |
| CCB | 191.5 | 0.0 | 28.1 | 65.6 | 251.6 |
| BOCOM | 65.7 | 37.4 | 0.0 | 19.5 | 131.1 |
| ABC | 171.5 | 74.2 | 96.7 | 0.0 | 227.0 |
| BOC | 304.9 | 89.0 | 43.3 | 27.5 | 0.0 |
4.4. The Contagion Process Simulation
In the contagion process simulation, we present the results given by both Furfine’s sequential default algorithm and Eisenberg-Noe’s mechanism.
4.4.1. Furfine’s Sequential Default Algorithm
Note that both the loss rate given default and the non-interbank capital loss caused by a shock outside the interbank market have an influence on the contagion process, so we construct scenarios with different loss rates given default α and different non-interbank capital loss rate β; the loss rate given default ranges from 0.1 to 1 with a step of 0.1, the initial equity capital loss rate are set to be 0, 0.3 and 0.5. Table 4 and Table 5 give the simulation results.
In Table 4 and Table 5, the first column represents initially failed banks, and only banks that could trigger a contagion process are listed. The elements in each row are the amount of banks failed in the contagion process under different α and β values. If an element equals 1, it means the corresponding bank will not cause other bank failures given its own failure. The results show that given specific α and β, only a few of the 17 banks can trigger a contagion process in the system, which reflects that Chinese banking industry is resistant to contagion to a great extent. With greater β, the number of banks capable of triggering a contagion process is increasing, along with the amount of banks failed in the process. Such trend is also identified when we raise the value of α. This is in accordance with the findings of Nier et al. [3].
Table 4.
Number of failed banks in the 2011 contagion process simulation.
| α | 0.1 | 0.2 | 0.3 | 0.4 | 0.5 | 0.6 | 0.7 | 0.8 | 0.9 | 1.0 |
|---|---|---|---|---|---|---|---|---|---|---|
| β = 0.5 | ||||||||||
| ICBC | 1 | 2 | 2 | 9 | 10 | 10 | 10 | 17 | 17 | 17 |
| BOC | 1 | 1 | 1 | 1 | 1 | 1 | 1 | 12 | 17 | 17 |
| IB | 1 | 1 | 1 | 1 | 1 | 1 | 2 | 9 | 10 | 10 |
| SPDB | 1 | 1 | 1 | 1 | 1 | 1 | 1 | 1 | 1 | 10 |
| CITIC | 1 | 1 | 1 | 1 | 1 | 1 | 1 | 1 | 1 | 10 |
| β = 0.3 | ||||||||||
| ICBC | 1 | 1 | 2 | 2 | 2 | 10 | 10 | 10 | 10 | 10 |
| IB | 1 | 1 | 1 | 1 | 1 | 1 | 1 | 1 | 2 | 3 |
| β = 0 | ||||||||||
| ICBC | 1 | 1 | 1 | 2 | 2 | 2 | 2 | 9 | 10 | 10 |
Table 5.
Number of failed banks in the 2012 contagion process simulation.
| α | 0.1 | 0.2 | 0.3 | 0.4 | 0.5 | 0.6 | 0.7 | 0.8 | 0.9 | 1.0 |
|---|---|---|---|---|---|---|---|---|---|---|
| β = 0.5 | ||||||||||
| ICBC | 1 | 1 | 1 | 1 | 11 | 11 | 17 | 17 | 17 | 17 |
| BOC | 1 | 1 | 1 | 1 | 1 | 11 | 17 | 17 | 17 | 17 |
| IB | 1 | 1 | 1 | 1 | 1 | 1 | 1 | 10 | 10 | 17 |
| BOCOM | 1 | 1 | 1 | 1 | 1 | 1 | 1 | 1 | 1 | 17 |
| β = 0.3 | ||||||||||
| ICBC | 1 | 1 | 1 | 1 | 1 | 1 | 11 | 11 | 17 | 17 |
| BOC | 1 | 1 | 1 | 1 | 1 | 1 | 1 | 11 | 14 | 17 |
| β = 0 | ||||||||||
| ICBC | 1 | 1 | 1 | 1 | 1 | 1 | 1 | 1 | 1 | 11 |
Another interesting finding is the existence of a threshold value for α. Given the initial failure of a specific bank at certain β, contagion won’t occur if α is lower than the threshold value. But when α is greater than the threshold value, the amount of bank failures will increase sharply. A reasonable inference is that interbank market can effectively diversify the risk caused by an initial bank failure in normal condition, thus prevent contagion from happening. However, the linkages between banks also serve as channels through which risk may spread. Under severe conditions, risk will be transferred to all banks in the system and result in knock-on defaults.
To give a concrete example of the contagion process among Chinese banking system, we describe the contagion process triggered by ICBC when α=0.5 and β = 0.5 in Figure 4. This is a 3-stage process which begins with the failure of ICBC. In the second stage, IB suffers a capital loss including half the money lent to ICBC and half the equity capital, which exceeds the total equity capital IB holds and leads to its failure. The failures of ICBC and IB lead to the subsequent failures of eight other banks. In the final stage, the contagion ends and the remaining seven banks survive.
Figure 4.
2011 contagion process given the initial bankruptcy of ICBC when α=0.5 and β = 0.5.
4.4.2. Eisenberg-Noe’s Mechanism
In Eisenberg-Noe’s mechanism, the interbank exposure matrix and the exogenous operating cash flow vector e are necessary to clear the system. For bank i, ei is represented by its equity capital under the risk free assumption. However, considering that its non-interbank assets face market risk, credit risk etc., ei should be adjusted by subtracting potential exogenous capital loss caused by these risks. Similar to the simulation above, we suppose the adjusted exogenous capital loss is proportional to equity capital, and the ratio is a constant β. We clear the system in scenarios of β = 0.5,0.3,0 respectively, and obtain the clearing payment vectors as well as the defaulted banks. Table 6 lists the number of defaulted banks under different β, Table 7 gives the percentage of debt repaid by defaulted banks.
Table 6.
Defaults under different exogenous capital loss rate
| 2011 | 2012 | ||
|---|---|---|---|
| β | 0.5 | 6 | 7 |
| 0.3 | 4 | 3 | |
| 0 | 0 | 1 |
With the decreasing exogenous capital loss, the economic situation of banks in the system is ameliorated, thus the number of banks defaulted in the process drops as well. Unlike Furfine’s sequential default algorithm, loss rate given default here is dynamically determined in the clearing process, which seems more consistent with the true contagion process. In Table 7, it is natural to find that the percentage of debt repaid by defaulted banks is increasing with decreasing β, since the exogenous cash flow increases.
Generally speaking, Eisenberg-Noe’s model makes fewer assumptions about the system than Furfine’s sequential default algorithm. In Eisenberg-Noe’s model clearing process of all banks and defaults are simultaneous; the loss rate given default for a specific bank is determined by its solvency. while in Furfine’s sequential default algorithm, banks are cleared sequentially. The results in Table 7 indicate that in reality the loss rate given default is usually quite low, even when the whole system suffers an shock of exogenous capital loss of 50%, so the scenarios of quite large α in Furfine’s model simulation is unlikely to happen in reality. Despite these differences, both simulations reveal something in common, that the Chinese banking system is resistant to exogenous shock, and massive defaults won’t happen unless under extreme situations.
Table 7.
Recovery rate of interbank liabilities
| BCCB | ICBC | BONJ | BONB | PAB | BOC | BOI | ||
|---|---|---|---|---|---|---|---|---|
| 2011 | ||||||||
| β | 0.5 | 0.926 | 0.852 | 0.912 | 0.972 | 0.764 | - | 0.592 |
| 0.3 | - | 0.999 | 0.996 | - | 0.895 | - | 0.820 | |
| 0 | - | - | - | - | - | - | - | |
| 2012 | ||||||||
| β | 0.5 | 0.956 | 0.943 | 0.959 | 0.906 | 0.864 | 0.762 | 0.283 |
| 0.3 | - | - | - | - | 0.952 | 0.878 | 0.393 | |
| 0 | - | - | - | - | - | - | 0.557 |
Notes: columns 3–9 are the percentage of debt repaid by defaulted banks, for example 0.926 in column 3 means BCCB paid 92.6% of its debt to other banks in the scenario of β = 1. Banks denoted by “-” and those not listed in this table means they are solvent in corresponding scenario.
5. Conclusions and Further Direction
In this paper, we investigate the risk contagion due to interbank exposure among the Chinese banking industry with a transfer entropy method. By reviewing previous work, we find that maximum entropy method is widely used in determining the interbank exposure matrix, although it is theoretically problematic. We propose a transfer entropy based method to estimate the interbank exposure matrix and present a qualitative analysis to validate it. Then two widely used mechanisms of the contagion process are presented and are adopted to simulate the contagion process.
The empirical analysis is based on 2011 and 2012 stock price sequences of 16 listed Chinese banks from the Wind database, and the corresponding annual reports. We calculate the corresponding transfer entropy matrix at first, and then the interbank exposure matrix is obtained after a RAS adjustment. We run Furfine’s sequential default algorithm by varying loss rate given default and non-interbank capital loss rate, and Eisenber-Noe’s fictitious default algorithm by varying non-interbank capital loss rate. Both results indicate that the chance of Chinese banking system suffering a systemic crisis is quite low, or in other words, the Chinese banking system is rather stable. Systemically important banks are identified in the simulations, ICBC and BOC tend to trigger massive defaults under various scenarios of non-interbank capital loss rates, and ICBC, BONJ, PAB is more likely to default than other banks, revealing the unbalanced state of their interbank liabilities and interbank assets. This gives regulators implications on which banks require additional regulation.
In the end, it’s worth noting that our research is primary and there is still much room for improvement. In this paper, we use transfer entropy between stocks prices to approximate the interbank market structure, which is based on the foundation of our qualitative analysis that transfer entropy only contains the correlation of two stock prices due to interbank links. However, this qualitative analysis is not quantitatively exact, and further mathematical proof is required to address this issue.
Acknowledgments
This research is supported by National Natural Science Foundation of China (No.71071148, No.71003091), Key Research Program of Institute of Policy and Management, Chinese Academy of Sciences (Y201171Z05), the Youth Innovation Promotion Association of Chinese Academy of Sciences.
Conflicts of Interest
The authors declare no conflict of interest.
References
- Hoggarth, G.; Reis, R.; Saporta, V. Costs of banking system instability: Some empirical evidence. J. Bank. Finance 2002, 26, 825–855. [Google Scholar] [CrossRef]
- Lehar, A. Measuring systemic risk: A risk management approach. J. Bank. Finance 2005, 29, 2577–2603. [Google Scholar] [CrossRef]
- Nier, E.; Yang, J.; Yorulmazer, T.; Alentorn, A. Network models and financial stability. J. Econ. Dyn. Control 2007, 31, 2033–2060. [Google Scholar] [CrossRef]
- Allen, F.; Gale, D. Financial contagion. J. Polit. Econ. 2000, 108, 1–33. [Google Scholar] [CrossRef]
- Freixas, X.; Parigi, B.M.; Rochet, J.C. Systemic risk, interbank relations, and liquidity provision by the Central bank. J. Money Credit Bank. 2000, 32, 611–638. [Google Scholar] [CrossRef]
- Berman, P.; DasGupta, B.; Kaligounder, L.; Karpinski, M. On the computational complexity of measuring global stability of banking networks. Algorithmica 2013, 1–53. [Google Scholar] [CrossRef]
- Haldane, A.G.; May, R.M. Systemic risk in banking ecosystems. Nature 2011, 469, 351–355. [Google Scholar] [CrossRef] [PubMed]
- Minoiu, C.; Reyes, J.A. A network analysis of global banking: 1978–2010. J. Financ. Stabil. 2013, 9, 168–184. [Google Scholar] [CrossRef]
- DasGupta, B.; Kaligounder, L. Contagion in financial networks: Measure, evaluation and implications. 2012; arXiv:1208.3789 [q-fin.GN]. [Google Scholar]
- Upper, C. Simulation methods to assess the danger of contagion in interbank markets. J. Financ. Stabil. 2011, 7, 111–125. [Google Scholar] [CrossRef]
- Sheldon, G.; Maurer, M. Interbank lending and systemic risk: An empirical analysis for Switzerland. Revue Suisse D'economie Politique Et De Statistique 1998, 134, 685–704. [Google Scholar]
- Blåvarg, M.; Nimander, P. Interbank exposures and systemic risk. Sveriges Riksbank Econ. Rev. 2002, 2, 19–45. [Google Scholar]
- Furfine, C.H. Interbank exposures: Quantifying the risk of contagion. J. Money Credit Bank. 2003, 111–128. [Google Scholar] [CrossRef]
- Upper, C.; Worms, A. Estimating bilateral exposures in the German interbank market: Is there a danger of contagion? Eur. Econ. Rev. 2004, 48, 827–849. [Google Scholar] [CrossRef]
- Elsinger, H.; Lehar, A.; Summer, M. Risk assessment for banking systems. Manage. Sci. 2006, 52, 1301–1314. [Google Scholar] [CrossRef]
- Van Lelyveld, I.; Liedorp, F. Interbank contagion in the Dutch banking sector: A sensitivity analysis. Int. J. Cent. Bank. 2006, 2, 99–133. [Google Scholar] [CrossRef]
- Mistrulli, P.E. Assessing financial contagion in the interbank market: Maximum entropy versus observed interbank lending patterns. J. Bank. Finance 2011, 35, 1114–1127. [Google Scholar] [CrossRef]
- Mistrulli, P. Interbank Lending Patterns and Financial Contagion. Available online: http://www.econ.upf.edu/docs/seminars/mistrulli.pdf (accessed on 27 May 2005).
- Schreiber, T. Measuring information transfer. Phys. Rev. Lett. 2000, 85, 461–464. [Google Scholar] [CrossRef] [PubMed]
- Marschinski, R.; Matassini, L. Financial Markets as a Complex System: A Short Time Scale Perspective, Research Notes in Economics & Statistics 01-4; Eliasson, A., Ed.; Deutsche Bank Research: Frankfurt, Germany, 2001. [Google Scholar]
- Baek, S.K.; Jung, W.-S.; Kwon, O.; Moon, H.-T. Transfer entropy analysis of the stock market. 2005; arXiv:physics/0509014 [physics.soc-ph]. [Google Scholar]
- Kwon, O.; Yang, J.S. Information flow between stock indices. Europhys. Lett. 2008, 82, 68003. [Google Scholar] [CrossRef]
- Hu, Q.; Zhang, L.; Zhang, D.; Pan, W.; An, S.; Pedrycz, W. Measuring relevance between discrete and continuous features based on neighborhood mutual information. Expert Syst. Appl. 2011, 38, 10737–10750. [Google Scholar] [CrossRef]
- Marschinski, R.; Kantz, H. Analysing the information flow between financial time series. Eur. Phys. J. B 2002, 30, 275–281. [Google Scholar] [CrossRef]
- Levine, R.; Zervos, S. Stock markets, banks, and economic growth. Am. Econ. Rev. 1998, 88, 537–558. [Google Scholar]
- Chiarella, C.; Gao, S. The value of the S&P 500—A macro view of the stock market adjustment process. Global Financ. J. 2004, 15, 171–196. [Google Scholar]
- Hooker, M.A. Macroeconomic factors and emerging market equity returns: A Bayesian model selection approach. Emerg. Mark. Rev. 2004, 5, 379–387. [Google Scholar] [CrossRef]
- Kullmann, L.; Kertész, J.; Kaski, K. Time-dependent cross-correlations between different stock returns: A directed network of influence. Phys. Rev. E 2002, 66, 026125. [Google Scholar] [CrossRef]
- Abarbanell, J.S.; Bushee, B.J. Fundamental analysis, future earnings, and stock prices. J. Accounting Res. 1997, 35, 1–24. [Google Scholar] [CrossRef]
- Allen, E. J.; Larson, C. R.; Sloan, R. G. Accrual reversals, earnings and stock returns. J. Accounting Econ. 2013, 56, 113–129. [Google Scholar] [CrossRef]
- Eisenberg, L.; Noe, T.H. Systemic risk in financial systems. Manage. Sci. 2001, 47, 236–249. [Google Scholar] [CrossRef]
© 2013 by the authors; licensee MDPI, Basel, Switzerland. This article is an open access article distributed under the terms and conditions of the Creative Commons Attribution license (http://creativecommons.org/licenses/by/3.0/).