Fractional Heat Conduction in an Infinite Medium with a Spherical Inclusion
1. Introduction
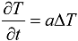
is the heat diffusivity coefficient.
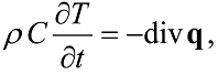
were analyzed in [9,10,11,12]. The time-nonlocal dependence between the heat flux vector q and the temperature gradient with the long-tail power kernel [9,10,11,12]
is the gamma function, can be interpreted in terms of fractional calculus:
and
are the Riemann–Liouville fractional integral and derivative of the order respectively [13,14,15,16]:
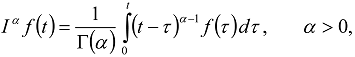
The fractional integral of the order
is denoted as
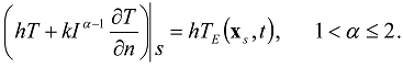
. In the equation of perfect thermal contact (23)
and
, are understood in this sense.
and a matrix
being in perfect thermal contact at
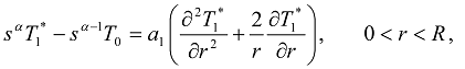
is considered. The heat conduction in each region is described by the time-fractional heat conduction equation with the Caputo derivative of fractional order
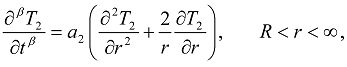
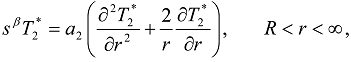
and
, respectively.2. Statement of the Problem
or
, then the additional condition on the first time derivative should be also imposed.
is at initial uniform temperature T0 and the matrix
is at initial zero temperature
,
;
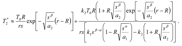
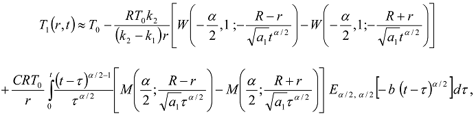
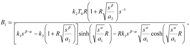
the denominator in Equations (47) and (48) can be treated as a cubic equation and the decomposition into the sum of partial fractions can be obtained similar to that used in [58].
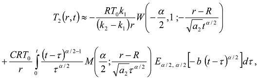
is the generalized Mittag-Leffler function in two parameters
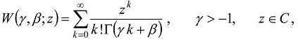
is the Wright function [1,51,52,62]
is the Mainardi function [15,51,52]
and the Wright function
. The limitation
in Equations (51–53) means that
in Equations (56) and (57).4. Conclusions
Acknowledgments
Conflicts of Interest
References
- Petrov, N.; Vulchanov, N. A note on the non-classical heat condition. Bulg. Acad. Sci. Theor. Appl. Mech. 1982, 13, 35–39. [Google Scholar]
- Chandrasekharaiah, D.S. Thermoelasticity with second sound: a review. Appl. Mech. Rev. 1986, 39, 355–376. [Google Scholar] [CrossRef]
- Joseph, D.D.; Preziosi, L. Heat waves. Rev. Mod. Phys. 1989, 61, 41–73. [Google Scholar] [CrossRef]
- Tamma, K.; Zhou, X. Macroscale and microscale thermal transport and thermo-mechanical inter-actions: some noteworthy perspectives. J. Thermal Stresses 1998, 21, 405–449. [Google Scholar] [CrossRef]
- Chandrasekharaiah, D.S. Hyperbolic thermoelasticity: a review of recent literature. Appl. Mech. Rev. 1998, 51, 705–729. [Google Scholar] [CrossRef]
- Ignaczak, J.; Ostoja-Starzewski, M. Thermoelasticity with Finite Wave Speeds; Oxford University Press: London, UK, 2009. [Google Scholar]
- Nigmatullin, R.R. To the theoretical explanation of the “universal response”. Phys. Stat. Sol. (b) 1984, 123, 739–745. [Google Scholar] [CrossRef]
- Nigmatullin, R.R. On the theory of relaxation for systems with “remnant” memory. Phys. Stat. Sol. (b) 1984, 124, 389–393. [Google Scholar] [CrossRef]
- Povstenko, Y.Z. Fractional heat conduction equation and associated thermal stresses. J. Thermal Stresses 2005, 28, 83–102. [Google Scholar] [CrossRef]
- Povstenko, Y.Z. Thermoelasticity which uses fractional heat conduction equation. J. Math. Sci. 2009, 162, 296–305. [Google Scholar] [CrossRef]
- Povstenko, Y.Z. Theory of thermoelasticity based on the space-time-fractional heat conduction equation. Phys. Scr. 2009. [Google Scholar] [CrossRef]
- Povstenko, Y.Z. Fractional Cattaneo-type equations and generalized thermoelasticity. J. Thermal Stresses 2011, 34, 97–114. [Google Scholar] [CrossRef]
- Samko, S.G.; Kilbas, A.A.; Marichev, O.I. Fractional Integrals and Derivatives: Theory and Applications; Gordon and Breach Science Publisher: New York, NY, USA, 1993. [Google Scholar]
- Gorenflo, R.; Mainardi, F. Fractional calculus: integral and differential equations of fractional order. In Fractals and Fractional Calculus in Continuum Mechanics; Carpinteri, A., Mainardi, F., Eds.; Springer-Verlag: New York, NY, USA, 1997; pp. 223–276. [Google Scholar]
- Podlubny, I. Fractional Differential Equations; Academic Press: San Diego, CA, USA, 1999. [Google Scholar]
- Kilbas, A.A.; Srivastava, H.M.; Trujillo, J.J. Theory and Applications of Fractional Differential Equations; Elsevier: Amsterdam, The Netherlands, 2006. [Google Scholar]
- Povstenko, Y. Non-axisymmetric solutions to time-fractional diffusion-wave equation in an infinite cylinder. Fract. Calc. Appl. Anal. 2011, 14, 418–435. [Google Scholar] [CrossRef]
- Metzler, R.; Klafter, J. The random walk's guide to anomalous diffusion: a fractional dynamics approach. Phys. Rep. 2000, 339, 1–77. [Google Scholar] [CrossRef]
- Metzler, R.; Klafter, J. The restaurant at the end of the random walk: Recent developments in the description of anomalous transport by fractional dynamics. J. Phys. A: Math. Gen. 2004, 37, R161–R208. [Google Scholar] [CrossRef]
- Zaslavsky, G.M. Chaos, fractional kinetics, and anomalous transport. Phys. Rep. 2002, 371, 461–580. [Google Scholar] [CrossRef]
- Rabotnov, Yu.N. Creep Problems in Structural Members; North-Holland Publishing Company: Amsterdam, The Netherlands, 1969. [Google Scholar]
- Mainardi, F. Applications of fractional calculus in mechanics. In Transform Methods and Special Functions; Rusev, P., Dimovski, I., Kiryakova, V., Eds.; Bulgarian Academy of Sciences: Sofia, Bulgaria, 1998; pp. 309–334. [Google Scholar]
- Rossikhin, Yu.A.; Shitikova, M.V. Applications of fractional calculus to dynamic problems of linear and nonlinear hereditary mechanics of solids. Appl. Mech. Rev. 1997, 50, 15–67. [Google Scholar] [CrossRef]
- West, B.J.; Bologna, M.; Grigolini, P. Physics of Fractals Operators; Springer-Verlag: New York, NY, USA, 2003. [Google Scholar]
- Magin, R.L. Fractional Calculus in Bioengineering; Begell House Publishers, Inc.: Redding, CA, USA, 2006. [Google Scholar]
- Sabatier, J.; Agrawal, O.P.; Tenreiro Machado, J.A. (Eds.) Advances in Fractional Calculus: Theoretical Developments and Applications in Physics and Engineering; Springer-Verlag: Dordrecht, The Netherlands, 2007.
- Gafiychuk, V.; Datsko, B. Mathematical modeling of different types of instabilities in time fractional reaction-diffusion systems. Comput. Math. Appl. 2010, 59, 1101–1107. [Google Scholar] [CrossRef]
- Baleanu, D.; Güvenç, Z.B.; Tenreiro Machado, J.A. (Eds.) New Trends in Nanotechnology and Fractional Calculus Applications; Springer-Verlag: New York, NY, USA, 2010.
- Rossikhin, Y.A.; Shitikova, M.V. Application of fractional calculus for dynamic problems of solid mechanics: novel trends and recent results. Appl. Mech. Rev. 2010, 63, 010801. [Google Scholar] [CrossRef]
- Mainardi, F. Fractional Calculus and Waves in Linear Viscoelasticity: An Introduction to Mathematical Models; Imperial College Press: London, UK, 2010. [Google Scholar]
- Datsko, B.; Gafiychuk, V. Complex nonlinear dynamics in subdiffusive activator–inhibitor systems. Commun. Nonlinear Sci. Numer. Simulat. 2012, 17, 1673–1680. [Google Scholar] [CrossRef]
- Uchaikin, V.V. Fractional Derivatives for Physicists and Engineers; Springer-Verlag: Berlin, Germany, 2013. [Google Scholar]
- Zunino, L.; Pérez, D.G.; Martín, M.T.; Garavaglia, M.; Plastino, A.; Rosso, O.A. Permutation entropy of fractional Brownian motion and fractional Gaussian noise. Phys. Lett. A 2008, 372, 4768–4774. [Google Scholar] [CrossRef]
- Ubriaco, M.R. Entropies based on fractional calculus. Phys. Lett. A 2009, 373, 2516–2519. [Google Scholar] [CrossRef]
- Tenreiro Machado, J.A. Entropy analysis of integer and fractional dynamical systems. Nonlinear Dyn. 2010, 62, 371–378. [Google Scholar] [CrossRef]
- Tenreiro Machado, J.A. Fractional dynamics of a system with particles subjected to impacts. Commun. Nonlinear Sci. Numer. Simulat. 2011, 16, 4596–4601. [Google Scholar] [CrossRef]
- Jumarie, G. Path probability of random fractional systems defined by white noises in coarse-grained time applications of fractional entropy. Fract. Diff. Calc. 2011, 1, 45–87. [Google Scholar] [CrossRef]
- Tenreiro Machado, J.A. Shannon information and power law analysis of the chromosome code. Abstr. Appl. Anal. 2012. [Google Scholar] [CrossRef]
- Essex, C.; Schulzky, C.; Franz, A.; Hoffmann, K.H. Tsallis and Rényi entropies in fractional diffusion and entropy production. Physica A 2000, 284, 299–308. [Google Scholar] [CrossRef]
- Cifani, S.; Jakobsen, E.R. Entropy solution theory for fractional degenerate convection–diffusion equations. Ann. Inst. Henri Poincare (C) Nonlinear Anal. 2011, 28, 413–441. [Google Scholar] [CrossRef]
- Magin, R.; Ingo, C. Entropy and information in a fractional order model of anomalous diffusion. In Proceedings of the 16th IFAC Symposium on System Identification, Brussels, Belgium, 11–13 July 2011; Kinnaert, M., Ed.; International Federation of Automatic Control: Brussels, Belgium, 2012; pp. 428–433. [Google Scholar]
- Magin, R.; Ingo, C. Spectral entropy in a fractional order model of anomalous diffusion. In Proceedings of the 13th International Carpathian Control Conference, High Tatras, Slovakia, 28–31 May 2012; Petraš, I., Podlubny, I., Kostúr, J., Kačur, J., Mojžišová, A, Eds.; Institute of Electrical and Electronics Engineers: Košice, Slovakia, 2012; pp. 458–463. [Google Scholar]
- Prehl, J.; Essex, C.; Hoffmann, K.H. Tsallis relative entropy and anomalous diffusion. Entropy 2012, 14, 701–706. [Google Scholar] [CrossRef]
- Prehl, J.; Boldt, F.; Essex, C.; Hoffmann, K.H. Time evolution of relative entropies for anomalous diffusion. Entropy 2013, 15, 2989–3006. [Google Scholar] [CrossRef]
- Magin, R.L.; Ingo, C.; Colon-Perez, L.; Triplett, W.; Mareci, T.H. Characterization of anomalous diffusion in porous biological tissues using fractional order derivatives and entropy. Microporous Mesoporous Mater. 2013, 178, 39–43. [Google Scholar] [CrossRef] [PubMed]
- Povstenko, Y. Different kinds of boundary conditions for time-fractional heat conduction equation. In Proceedings of the 13th International Carpathian Control Conference, High Tatras, Slovakia, 28–31 May 2012; Petraš, I., Podlubny, I., Kostúr, J., Kačur, J., Mojžišová, A, Eds.; Institute of Electrical and Electronics Engineers: Košice, Slovakia, 2012; pp. 588–591. [Google Scholar]
- Povstenko, Y.Z. Fractional heat conduction in infinite one-dimensional composite medium. J. Thermal Stresses 2013, 36, 351–363. [Google Scholar] [CrossRef]
- Wyss, W. The fractional diffusion equation. J. Math. Phys. 1986, 27, 2782–2785. [Google Scholar] [CrossRef]
- Schneider, W.R.; Wyss, W. Fractional diffusion and wave equations. J. Math. Phys. 1989, 30, 134–144. [Google Scholar] [CrossRef]
- Fujita, Y. Integrodifferential equation which interpolates the heat equation and the wave equation. Osaka J. Math. 1990, 27, 309–321. [Google Scholar]
- Mainardi, F. The fundamental solutions for the fractional diffusion-wave equation. Appl. Math. Lett. 1996, 9, 23–28. [Google Scholar] [CrossRef]
- Mainardi, F. Fractional relaxation-oscillation and fractional diffusion-wave phenomena. Chaos, Solitons Fractals 1996, 7, 1461–1477. [Google Scholar] [CrossRef]
- Chen, S.; Jiang, X. Analytical solutions to time-fractional partial differential equations in a two-dimensional multilayer annulus. Physica A 2012, 392, 3865–3874. [Google Scholar] [CrossRef]
- Povstenko, Y. Fundamental solutions to time-fractional heat conduction equations in two joint half-lines. Cent. Eur. J. Phys. 2013. [Google Scholar] [CrossRef]
- Luikov, A.V. Analytical Heat Diffusion Theory; Academic Press: New York, NY, USA, 1968. [Google Scholar]
- Özişik, M.N. Heat Conduction; John Wiley: New York, NY, USA, 1980. [Google Scholar]
- Debnath, L.; Bhatta, D. Integral Transforms and Their Applications; Chapman & Hall/CRC: Boca Raton, FL, USA, 2007. [Google Scholar]
- Povstenko, Y. Time-fractional heat conduction in an infinite medium with a spherical hole under Robin boundary condition. Fract. Calc. Appl. Anal. 2013, 16, 354–369. [Google Scholar] [CrossRef]
- Mikusiński, J. On the function whose Laplace transform is
. Stud. Math. 1959, 18, 191–198. [Google Scholar]
- Stanković, B. On the function of E.M. Wright. Publ. Inst. Math. 1970, 10, 113–124. [Google Scholar]
- Gajić, Lj.; Stanković, B. Some properties of Wright’s function. Publ. Inst. Math. 1976, 20, 91–98. [Google Scholar]
- Erdélyi, A.; Magnus, W.; Oberhettinger, F.; Tricomi, F.G. Higher Transcendental Functions; Volume 3, McGraw-Hill: New York, NY, USA, 1955. [Google Scholar]
© 2013 by the authors; licensee MDPI, Basel, Switzerland. This article is an open access article distributed under the terms and conditions of the Creative Commons Attribution license (http://creativecommons.org/licenses/by/3.0/).
Share and Cite
Povstenko, Y. Fractional Heat Conduction in an Infinite Medium with a Spherical Inclusion. Entropy 2013, 15, 4122-4133. https://doi.org/10.3390/e15104122
Povstenko Y. Fractional Heat Conduction in an Infinite Medium with a Spherical Inclusion. Entropy. 2013; 15(10):4122-4133. https://doi.org/10.3390/e15104122
Chicago/Turabian StylePovstenko, Yuriy. 2013. "Fractional Heat Conduction in an Infinite Medium with a Spherical Inclusion" Entropy 15, no. 10: 4122-4133. https://doi.org/10.3390/e15104122
APA StylePovstenko, Y. (2013). Fractional Heat Conduction in an Infinite Medium with a Spherical Inclusion. Entropy, 15(10), 4122-4133. https://doi.org/10.3390/e15104122


