Next Article in Journal
From Browsing to Buying: Determinants of Impulse Buying Behavior in Mobile Commerce
Previous Article in Journal
Influencing Factors of Behavioral Intention to Use Cloud Technologies in Small–Medium Enterprises
Previous Article in Special Issue
Agency or Reselling? Multi-Product Sales Mode Selection on E-Commerce Platform
 
 
Font Type:
Arial Georgia Verdana
Font Size:
Aa Aa Aa
Line Spacing:
Column Width:
Background:
Article

Strategic Interactions in Omni-Channel Retailing: Analyzing Manufacturer’s Green Contract Design and Mode Selection

1
College of Mathematical Sciences, Jiangsu Second Normal University, Nanjing 210013, China
2
School of Management, Tianjin University of Technology, Tianjin 300384, China
*
Author to whom correspondence should be addressed.
J. Theor. Appl. Electron. Commer. Res. 2025, 20(4), 265; https://doi.org/10.3390/jtaer20040265
Submission received: 29 June 2025 / Revised: 27 August 2025 / Accepted: 4 September 2025 / Published: 2 October 2025

Abstract

Omni-channel retailers arise to address the deficiencies in consumers’ online shopping experiences; the resulting competition between such retailers and traditional online platforms presents substantial challenges for green product manufacturers. A three-level game model is established to examine a manufacturer’s green contract design (product pricing and greenness determination) and mode selection under the competition between an online platform and a new retailer providing omni-channel services to end customers. The manufacturer can select between two modes: supplying a green product to the online platform and new retailer (mode RR) or selling it directly through the online platform and reselling it to the new retailer (mode PR). Our findings indicate that, first, even if the relationship between the manufacturer and new retailer has changed from cooperation under mode RR to competition and cooperation under mode PR, the manufacturer still favors two-channel sales over single-channel sales and affects consumer channel choices to adjust market shares through mode selection. Second, regarding the impacts of the key parameters on the manufacturer, downstream e-commerce platform retailers and environment are intricate and nuanced. While raising the omni-channel service level enhances profitability in the new retailer across both modes, its environmental impacts differ significantly between them. Additionally, it can harm the online platform in some cases. Nevertheless, when the parameters fall within suitable ranges, the manufacturer and both downstream retailers have a consistent preference for improved omni-channel services under both modes. Finally, there is a significant divergence in mode preferences among the manufacturer and both downstream platform retailers. Due to the first-mover advantage, the manufacturer opts for mode RR over mode PR in most cases. Notably, within a specific range of parameters, they consistently prefer mode RR, which also proves beneficial for the environment, resulting in a Pareto optimal outcome. This proposes a concrete cooperation mechanism among the manufacturer, retailers, and consumers from quantitative insights, which can promote green products to achieve the objective of low-carbon environmental protection.

1. Introduction

Recently, an increasing number of companies, such as manufacturers, would like to invest in the development of environmentally friendly green products (green products refer to products that meet the requirements of environmental protection in the whole life cycle, are harmless or less harmful to the ecological environment and human health, consume less resources and energy, and have high quality) to fulfill their social responsibilities and improve their corporate reputation [1,2]. However, the green innovation difficulty of products and the differences among consumers in terms of their environmental awareness bring about great challenges for manufacturers [3]. High-level difficulty in achieving green innovation with products means high costs for manufacturers to improve product greenness, resulting in high consumer purchase prices. Consumers with high-level environmental awareness prefer to purchase high-priced products with high greenness, whereas consumers with low-level environmental awareness may balk at the high prices of such products [4]. Thus, manufacturers need to induce retailers’ price decisions and consumers’ purchase behaviors through green contract design (i.e., green product pricing and greenness determination) to address different levels of green product innovation difficulty and different levels of consumer environmental awareness. This promotes green products, thereby meeting customer needs and benefiting the environment.
As the online traffic dividend of traditional e-commerce tops out, a new retail model that integrates online sales, immersive experience, and modern logistics (to differentiate them from traditional e-commerce platforms, referred to as online platforms, the corresponding retail companies are called new retailers) has emerged, forming a competitive landscape between online platforms and new retailers in the market. For example, the annual report (http://ir.jd.com/zh-hans/node/5881, accessed on 12 September 2025) of the Chinese e-commerce company JD.com in 2022 declared that in China last September, they opened JD Mall, which comprises offline stores that provide customers with omni-channel services. By the end of 2021, Jingdong Logistics had invested in more than 1500 warehouses with a total area of more than 3000 square kilometers, serving almost all Chinese consumers. On the one hand, new retailers invest in offline experience stores or VR (Virtual Reality) shopping to compensate for online platforms’ lack of shopping experience in terms of visual attributes such as visibility, audibility, touchability, and usability, and they provide consumers with a better shopping experience in combination with offering high-quality logistics services. On the other hand, to expand their service advantages, new retailers label products purchased from manufacturers with their own brand names and then sell them (such as JD self-operated products). This situation makes the shopping experience better for consumers when they purchase products from new retailers than when they purchase products from online platforms; however, the former is associated with higher purchase prices. The competition between online platforms and new retailers makes green product consumers face a choice of shopping channels, that is, whether to choose online platforms with low retail prices or new retailers with good service but high prices.
When considering the competition between online platforms and new retailers from the perspective of the shopping channel choice behavior of green consumers (who care about the ecological environment and have real or potential purchasing power for green products and services), manufacturers face the problem of mode selection in addition to the more complex design of green contracts. Currently, online platforms serve as resellers or as online marketplaces charging a proportion fee rate (PFR) [5,6,7,8,9]. Therefore, when the shopping channel choice behavior of green consumers is considered, manufacturers face a mode selection problem. In other words, manufacturers choose to sell green products to online platforms and new retailers who compete in the end market or to compete with new retailers in the end market through online platforms. In addition to thinking about the competitive behavior of the end market, manufacturers also need to consider the shopping channel choice behavior of green consumers, resulting in their green contract design becoming complex.
Based on the above motivation, this paper studies a manufacturer’s green contract design and mode selection under the competition between an online platform and a new retailer. The manufacturer may opt to provide a green product to the online platform and new retailer at different wholesale prices, and then they sell it to the end users (called mode RR). The manufacturer may also choose to sell the green product directly via the online platform and compete on price in the end market with the new retailer, who purchases the green product from the manufacturer and labels it (referred to as mode PR). Regardless of the mode chosen, consumers finally consider on which channel to buy the green product or not according to their shopping experience, environmental awareness, product price, and product greenness. To distinguish between the shopping experiences of consumers on the online platform and those of consumers from the new retailer, we provide the concept of an omni-channel shopping experience factor (OSEF) greater than one to depict the better immersive experiences and better logistics services offered by the new retailer. Moreover, we propose a concept called green product utility (GPU) to comprehensively characterize the difficulty of green product innovation and the environmental awareness of consumers. A smaller (greater) value of green product innovation difficulty and/or a higher (lower) value of consumers’ environmental awareness indicate(s) greater (lower) GPU. Under the two modes for different GPUs, OSEFs and PFRs, the green contract design and mode selection of the manufacturer are considered. More precisely, we aim to address the issues mentioned, which are the following: (i) Whether under the mode RR or PR for given GPUs, for OSEFs and PFRs, does the manufacturer favor selling the green product via dual channels or a single channel? Furthermore, how does the manufacturer’s mode selection influence consumer channel choices? (ii) Under the mode RR (PR), how do the GPU and OSEF (GPU, OSEF, and PFR) affect the green contract design of the manufacturer? Accordingly, how do the online platform, new retailer, and consumers respond? (iii) What is the combined impact of GPU, OSEF, and PFR on the manufacturer’s green contract design and mode selection?
To address these issues, we examine a green contract design and mode selection problem of a manufacturer (he) selling a green product via an online platform (she) and a new retailer (she) under two modes for different GPUs, OSEFs, and PFRs. The new retailer opens offline experience, retail stores or VR shopping experience and establishes her own modern logistics system to provide omni-channel services for consumers. Consumers devise their strategy, and their purchase decisions rely on their shopping experience, environmental awareness, product price, and product greenness. Based on these assumptions, we analyzed the impacts of GPU, OSEF, and PFR on market demands and equilibrium results under two modes and obtained some interesting conclusions, as presented below.
Under either the mode RR or mode PR for any given GPU, OSEF, and PFR, the manufacturer favors selling the green product via dual channels rather than via a single channel, essentially providing a product service differentiation strategy to consumers. In fact, through the green contract design, the manufacturer can induce the two retailers’ price competition behaviors (different pricing) so as to obtain a greater profit, which is consistent with the intuition that the competition of downstream enterprises is beneficial for upstream enterprises. Furthermore, under the mode PR, the manufacturer induces more consumers to purchase the product from the online platform through the green contract design (setting lower retail price, appropriate wholesale price, and proper greenness), thus gaining more market share. However, under the mode RR, because the manufacturer does not directly participate in the price competition in the end market, his green contract design strategy induces the price competition of the downstream retailers, and then the downstream retailers’ market shares are influenced by the GPU. This implies that through mode selection, the manufacturer can affect the channel selection of consumers to adjust the dual channels’ market share.
Regarding the impacts of the key parameters of GPU, OSEF, and PFR on the manufacturer, downstream e-commerce platform retailers and environment are intricate and nuanced. For example, under the mode RR, raising the GPU is always beneficial to the manufacturer, both for downstream platform retailers and the environment. However, under the mode PR, high GPUs may hurt the new retailer due to the manufacturer’s contract design (when the product of the OSEF and PFR is small). The GPU has a positive effect on all demands (two channels’ demands and total demand), participants’ decision variables, and profits under the mode RR. This means that when the GPU grows (the product innovation difficulty decreases and/or the consumer environmental awareness increases), the manufacturer increases the product greenness and then increases his wholesale prices. Correspondingly, the online platform and new retailer increase the retail prices, and more consumers would like to purchase products from the two channels because the increased positive impact in product greenness on consumers’ utility is superior to the increased negative impact in retail prices. However, under the mode PR, high GPUs may hurt the new retailer’s market demand and profit (when the product of OSEF and PFR is low), while it still has a positive effect on all the other demands, decision variables, and profits due to the alteration in the contract form between the manufacturer and online platform from reselling to agency selling. This is essentially because the low PFR and/or low OSEF increase(s) the competitive advantage of online platform in terms of market share and profit as the GPU increases. This implies that under the mode PR, as the GPU increases, the desire of consumers to buy products from the new retailer may diminish, and then the new retailer’s profit decreases.
Under the mode RR, it is not expected that the new retailer raising the OSEF not only reduces her competitor’s market demand but also her own market demand and product greenness, which means that increasing the OSEF makes more consumers unwilling to buy the green product and is not conducive to environmental protection. This is the result of the fact that with the increase in the OSEF, the manufacturer induces price competition between the online platform and new retailer by reducing both the product greenness and wholesale price for the former while increasing the wholesale price for the latter to obtain more profits. Interestingly, adding the OSEF benefits the new retailer and may also benefit both the online platform and manufacturer, thus achieving a triple-win scenario involving the manufacturer and two retailers. The increase in the online platform’s profit is due to the OSEF’s beneficial effect on her marginal profit when the GPU is low, and the first-mover advantage of manufacturer and competition between the two retailers result in his profit increase.
Under both modes, an increase in omni-channel service level (higher OSEF) benefits the new retailer’s profitability but leads to opposite environmental impacts. Simultaneously, it may negatively affect the online platform under certain conditions. However, within an appropriate parameter range, all the manufacturers and two e-commerce platform retailers prefer higher OSEFs under both modes. Specifically, under the mode PR, the new retailer raising the OSEF still decreases her competitor’s market demand, increases her own profit, and may increase or decrease her competitor’s profit, although the contract mode changes between her competitor and the manufacturer from reselling under the mode RR to agency selling. Unlike the result in which an increase in the OSEF may benefit or hurt the manufacturer under the mode RR, its increase raises his profit under the mode PR. The reason for this is that under the mode PR, the coopetition relationship between the manufacturer and new retailer provides more freedom to the manufacturer in terms of his green contract design (with the increase in the OSEF, the manufacturer increases the product greenness and both the prices offered to the new retailer and through the online platform), which enables him to earn a greater profit by coordinating competition and cooperation with the new retailer. This situation implies that under the mode PR, increasing the OSEF is beneficial for the manufacturer, two retailers, and environment in some cases.
Increasing the PFR has negative environmental consequences and may even harm the online platform herself when the GPU is medium. In fact, one can intuitively see that the online platform raising the PFR has a negative effect on the manufacturer and consumers but has a positive effect on her competitor (new retailer) and may be beneficial for herself under the mode PR. Unexpectedly, the online platform raising the PFR has a negative effect on the environment and may even have a negative effect on herself in some cases. In fact, as an increase in the PFR squeezes the manufacturer’s profit margin derived from the online platform sales, the manufacturer reduces the product greenness and his retail price through the online platform, resulting in a drop in the online platform’s market demand. When increasing the PFR has a lower impact on her profit than does the combined impact of lower the retail price and market demand (when the PFR is large and the GPU is medium), the profit of online platform decreases.
By comparing the conclusions under both the two modes, we find that the manufacturer, online platform, and new retailer exhibit significant differences in their mode preferences. The manufacturer generally opts for mode RR over mode PR. Importantly, in a certain case, a consistent preference for mode RR emerges across the three parties, simultaneously supporting environmental sustainability and yielding a Pareto-optimal result. This is a quantitatively concrete cooperation mechanism among the manufacturer, retailers, and consumers to boost green product development and meet environmental targets.
This paper makes contributions primarily in two aspects. First, we construct a three-level game model from the perspective of fulfilling green consumer demand. And we analyze how the three key parameters of GPU, OSEF, and PFR influence the green contract design for a manufacturer under a new downstream competitive structure (i.e., e-commerce platform competition: an online platform vs. a new retailer). To the best of our knowledge, this has not been done in the existing literature. Second, the existing studies typically rely on numerical analysis to conclude that promoting green products requires close collaboration among supply chain participants, while we provide, through theoretical modeling under a complex new framework (where players exhibit competitive and/or cooperative relationships), a concrete mechanism for how such collaboration can be effectively implemented in practice.
The subsequent sections of this paper are organized as follows. Section 2 presents a literature review and compares it with our study. Section 3 develops the models under the RR and PR modes and conducts equilibrium solution analyses. Section 4 compares the results of the two modes and discusses the manufacturer’s mode selection strategy. Finally, Section 5 summarizes the paper.

2. Literature Review

Our study bridges two primary research domains: green product operations incorporating consumer environmental awareness, and channel mode selection focusing on the comparison between reselling and agency selling.

2.1. Green Product Operations with Consumer Environmental Awareness

The first research area focuses on green product operations while considering consumer environmental awareness, with a key topic being the impact of consumer environmental awareness—either independently or in combination with other factors—on green product operational decisions [10,11]. Liu et al. [12] studied the effect of competition (including production or retail competition between different manufacturers or retailers) and consumers’ environmental awareness on the decision making and profitability of manufacturers and retailers. Sengupta [13] examined how consumer environmental awareness influences firms’ incentives to invest in green technologies in a market where consumers and regulators are not fully aware of the actual production technologies or environmental performance of firms engaged in strategic competition. Meng et al. [14] examined, in a two-channel supply chain, how consumer channel and green preferences, as well as government subsidies, influence the collaborative pricing of green and common products. Liu et al. [15] investigated the impact of demand uncertainty and consumer environmental awareness on the competitive dynamics between green and non-green products. Unlike the above studies, from the perspective of meeting consumers’ differentiated shopping experience needs, a three-level game model is established to examine how the interaction of GPU, OSEF, and PFR influences the manufacturer’s green contract design and mode selection.

2.2. Channel Mode Selection: Reselling Versus Agency Selling

The second stream related to our study focuses on channel mode selection, including reselling versus agency selling, which has recently been examined by many scholars in different contexts [16,17,18,19,20]. For instance, Abhishek et al. [21] find that an important factor in whether e-tailers choose agency selling or reselling is the coping strategy of the manufacturer, whose approach to setting prices in the digital channel is influenced by their implications on demand within conventional, physical store retailing. Chen et al. [22] report that under retail competition, a firm and e-tailers should strategically use reselling and agency selling as two promotional strategies. Liu et al. [23] argue that the competition intensity and order processing costs between two online retailers significantly moderate the manufacturer’s decision to adopt reselling or agency selling. Qin et al. [6] investigated the interplay between an online retailer’s sales model selection and its logistic service strategy and showed that the outcomes are critically contingent upon the cost-effectiveness of the logistics service. Liu et al. [24] examined how channel strategy interacts with platform financing in a supply chain involving a financially constrained supplier facing an offline retailer and an e-commerce platform. In addition, many other factors determine the choice between agency sales and resale [25], such as transparency in information [26,27], marketing driven by data analysis [28,29], private-brand introduction [30,31], improvements in service quality [16,32], and multi-product sales, including green and non-green products [33].
Moveover, several papers consider channel mode selection between resale and agency sales in green product operations. For example, Zhou and Duan [4] analyzed how consumers’ greenness reference effect and environmental awareness affect the mode selection between resale and agency sales in a supply chain involving a green manufacturer and an e-tailer. Xu et al. [34] examined research platform mode selection between reselling or agency selling with regard to incorporating green technology in the context of a cap-and-trade policy in a green supply chain involving a manufacturer and an online retailer. The above authors analyzed operational strategies, mode selection, and coordination issues under three power structures: agency sales, manufacturer-led resale, and platform-led resale. Gilbert et al. [35] studied a model of a powerful platform that offers a supplier a two-part contract designed to incentivize participation in its reselling channel rather than its agency channel. Lin et al. [36] investigated how a green manufacturer’s channel choice (resale, direct sales, or agency sales) affects an e-retailer’s manufacturer decision to purchase products from a green or non-green manufacturer. Li et al. [11] explored how consumers’ green awareness and retail competition affect the investment decisions and selling mode selection of a manufacturer facing a retailer and an e-retailer. Our paper differs from the above five papers in three aspects. First, the supply chain structure of our paper is different from the above papers. We consider one manufacturer and two retailers (an online retailer and a new retailer), which is different from the structure of one manufacturer and one online retailer [4,34,35], dual manufacturers and one online retailer [36], or a single manufacturer, offline retailer, and online retailer [11]. Second, the topic of our study is novel and complex. This is because current sales focus on customer needs as the first goal. In our study, consumers’ purchase decisions need to weigh product price, greenness, and shopping experience. The online platform competes with a new retailer in the context of consumer channel selection. Considering downstream competition and consumer channel selection, the manufacturer needs to carry out green contract design and mode selection. Finally, the approach and goals of our research are unique. We focus on how the key parameters jointly influence a manufacturer’s green contract design and mode selection and theoretically provide a concrete mechanism for promoting green products.

3. Model

3.1. Model Setup

Consider a supply chain scenario where a manufacturer (he) supplies a green product to two downstream firms, which subsequently sell the product to end consumers. The first downstream firm (she) is an online platform, and the manufacturer has two contract modes: resale and agency sales. The second downstream firm (she) starts as an online platform and then invests a fixed cost F to open an offline experience, retail stores, or a VR (Virtual Reality) shopping experience (e.g., Taobao Buy+ and JD VR Industry Alliance) and establishes her own modern logistics system. The offline experience, retail stores, or VR shopping are set up to compensate for the shortcomings of consumers’ online shopping, such as visibility, audibility, touchability sensibility, usability, and other intuitive attributes. The purpose of establishing the modern logistics system is to deliver products quickly and accurately to consumers. Combined with the e-commerce capabilities of the online platform, the second downstream firm provides consumers with an immersive omni-channel shopping experience. To differentiate it from the first online platform, we refer to the second downstream firm as a new retailer that provides better shopping experiences to consumers than does the online platform. To maximize the service advantages, the new retailer labels the green product purchased from the manufacturer with her own brand trademark. That is, the manufacturer can offer only a reselling contract to the new retailer. Simultaneously, the manufacturer can offer an agency selling contract to the online platform if he wants to use the agency sales mode. Therefore, the manufacturer and new retailer reach an agreement using only the reselling contract mode. For convenience, subscripts m , p , n are adopted to represent the manufacturer, online platform, and new retailer accordingly. The main parameters are detailed in in Table 1.
According to the above description, we focus on two modes: reselling contract mode (mode RR) and mixed contract mode (mode PR). In the mode RR, the manufacturer offers wholesale prices w p and w n to the two retailers who then sell the product at retail prices p p and p n in the end market. In the mode PR, after paying a proportion fee rate (PFR) α to the online platform, the manufacturer directly retails the product to consumers at price p p . Simultaneously, he sells the product to the new retailer at price w n , who then resells it to consumers at price p n . We assume that p p w p , p n w n and p n > p p , meaning that a consumer prefers to spend more on the new retailer over the online platform due to better shopping experiences. To avoid redundancy, we focus on a low PFR with α 1 / 2 , which aligns with both reality and the literature [6]. Figure 1 illustrates the two modes.
The manufacturer producing the green product has the following two associated costs: unit production cost c (for simplicity, it is normalized to zero) and green innovation cost, which is a quadratic function [12,37], h θ 2 / 2 , where θ and h represent the product greenness and its cost coefficient of greenness per unit, respectively.
Consumers are strategic, and their purchase decision depends on utility maximization. We assume that the consumer valuation, v, for green products purchased via online platforms is heterogeneous and follows a uniform distribution between 0 and 1. As a result of receiving better shopping experiences, consumer valuation of green product purchased from the new retailer is k v ( k > 1 ). We call k the omni-channel shopping experience factor (OSEF) of the product purchased from the new retailer. k > 1 indicates that the shopping experiences of consumers from the new retailer is higher than that from the online platform. This differentiated valuation approach is similar to Yenipazarli [38] and Hong et al. [39]. Consumers with eco-awareness gain uniform environmental benefits from purchasing green products. The environmental benefit is supposed to be r θ [39,40], where r denotes the consumer sensitivity to the product greenness. Therefore, the utilities u p and u n that a consumer derives from the online platform and new retailer are
u p = v p p + r θ , u n = k v p n + r θ .
A consumer chooses to purchase the green product from the online platform if u p u n and u p 0 , while they buy it through the new retailer if u n u p and u n 0 . Finally, the consumer chooses not to purchase the green product if u p < 0 and u n < 0 . Using this logic, assuming that p p 1 + r θ and p n k + r θ , the following lemma is obtained.
Lemma 1.
The demands D p and D n for the online platform and new retailer are listed below.
(i)
When p p r θ , we obtain
D p = ( p n p p ) / ( k 1 ) , i f k 1 > p n p p ; 1 , i f k 1 p n p p .
D n = 1 ( p n p p ) / ( k 1 ) , i f k 1 > p n p p ; 0 , i f k 1 p n p p .
(ii)
When p p > r θ , we obtain
D p = 0 , i f k 1 > ( p n p p ) / ( p p r θ ) ; ( p n p p ) / ( k 1 ) ( p p r θ ) , i f p n p p < k 1 ( p n p p ) / ( p p r θ ) ; 1 ( p p r θ ) , i f k 1 p n p p .
D n = 1 ( p n r θ ) / k , i f k 1 > ( p n p p ) / ( p p r θ ) ; 1 ( p n p p ) / ( k 1 ) , i f p n p p < k 1 ( p n p p ) / ( p p r θ ) ; 0 , i f k 1 p n p p .
The expression p p r θ can be understood as the comprehensive purchase cost of consumers through the online platform (CPCP), because the positive utility of product greenness to consumers is r θ , which can be considered as the environmental protection attributes of products reducing the purchase cost for consumers. Similarly, p n r θ can be understood as the comprehensive purchase cost of consumers through the new retailer (CPCN). Therefore, the expressions p n p p = ( p n r θ ) ( p p r θ ) and ( p n p p ) / ( p p r θ ) can be understood as the absolute and relative differences of consumers’ comprehensive purchase costs through the new retailer and online platform (ADCPC and RDCPC), respectively. Evidently, the CPCP, CPCN, ADCPC, and RDCPC are directly affected by the retailers’ pricing decision and manufacturer’s green strategy.
Lemma 1 shows that the interaction among consumers’ shopping experience differences, the retailers’ pricing decisions, and manufacturer’s green strategy has a direct effect on consumers’ purchasing channel choice and market demands. A CPCP below zero implies that the the positive effect of product greenness on consumer utility exceeds the negative effect of retail price on consumer utility, which results in positive utility for any consumer when buying products from the online platform. Therefore, when the CPCP is no more than zero ( p p r θ ), the whole market is either monopolized by the online platform or shared by the two retailers. Specifically, if the shopping experience difference is small relative to the ADCPC (i.e., k 1 p n p p ), then each consumer chooses the online platform, because the small difference in the shopping experience relative to the ADCPC indicates that the comprehensive purchase cost of consumers through the new retailer is so large that consumers ignore the service advantages of the new retailer. Otherwise, the online platform and new retailer share the whole market if the shopping experience difference is large (i.e., k 1 > p n p p ), which means that the new retailer encroaches on the online platform’s monopoly market to take advantage of the better service advantages. Moreover, when the CPCP is no more than zero, the green product covers the whole market (because D p + D n = 1 ).
When the CPCP is greater than zero ( p p > r θ ), the below three scenarios occur. If the difference in the shopping experience of consumers from the new retailer and online platform is large relative to the RDCPC (i.e., k 1 > ( p n p p ) / ( p p r θ ) ), then the new retailer monopolizes the market. If the difference in the shopping experience is small relative to the RDCPC (i.e., k 1 ( p n p p ) / ( p p r θ ) ) and large relative to the ADCPC (i.e., k 1 > p n p p ), then the new retailer and online platform compete for market share. Otherwise, if the difference in the shopping experience is small relative to the ADCPC (i.e., k 1 p n p p ), then the market is monopolized by the online platform. These conclusions are justified for the following reasons. The small difference in the shopping experience relative to the ADCPC indicates that the comprehensive purchase cost of consumers through the new retailer is so large that consumers ignore the service advantages of the new retailer and choose her competitor channel. As the difference in the shopping experience increases ( k 1 increases), the service advantages of the new retailer gradually come into play. When the difference in the shopping experience exceeds the ADCPC, the new retailer erodes the online platform’s market percentage. When the difference in the shopping experience is large enough to exceed the RDCPC, the new retailer occupies a monopoly position in the market. Furthermore, in the above three scenarios, the green product covers part of the market (because D p + D n < 1 ).

3.2. Mode RR

In this subsection, we investigate the RR model, and the sequence of decisions is described as follows. First, the manufacturer determines the level of greenness, which is denoted by θ . Second, the manufacturer offers the prices w p and w n to the online platform and the new retailer, respectively. Third, the online platform and new retailer announce the prices p p and p n to consumers at the same time. Finally, consumers determine their purchasing selection according to the retail prices and greenness. For simplicity, the superscript r r is used to identify this mode.
Given the demand functions, the manufacturer, online platform, and new retailer’s profit functions are expressed as π m r r = w p D p + w n D n 1 / 2 h θ 2 , π p r r = ( p p w p ) D p , and π n r r = ( p n w n ) D n F . All the proofs of the propositions and corollaries in the following text are presented in the Appendix A.
Proposition 1.
Under the RR mode, the equilibrium exhibits the following characteristics:
(i)
When t t 1 , where t 1 = ( 5 k 2 ) / ( 2 k + 1 ) , there exists a unique equilibrium define as
w p r r * = [ ( 8 k 2 ) + ( k 1 ) t ] / ( 2 A ) , w n r r * = k [ ( 4 k 1 ) ( k 1 ) t ] / A , θ r r * = 3 k t / ( r A ) , p p r r * = [ ( 5 k 2 ) + ( k 1 ) t ) ] / A , p n r r * = 3 k [ ( 4 k 2 ) ( k 1 ) t ] / ( 2 A ) , D p r r * = k ( t + 2 ) / ( 2 A ) , D n r r * = k ( t + 4 ) / ( 2 A ) , π m r r * = k [ ( 4 k + 2 ) ( k 1 ) t ] / ( 4 A ) , π p r r * = k ( k 1 ) ( 2 + t ) 2 / ( 4 A 2 ) , π n r r * = k 2 ( k 1 ) ( 4 t ) 2 / ( 4 A 2 ) F ,
where t = r 2 / h , and A = ( 8 k 2 ) ( 2 k + 1 ) t .
Moreover, D p r r * D n r r * > 0 if t > 1 ; otherwise, D n r r * D p r r * > 0 if t 1 ; D p r r * + D n r r * < 1 , and p p r r * r θ r r * .
(ii)
When t > t 1 , the equilibrium is attained at p p r r * = r θ r r * , and the results are as follows:
(iia)
If k 5 and t t 2 , where t 2 = [ 14 k + 3 k 2 5 + ( k 1 ) 9 k 2 + 102 k 39 ] / ( 4 k + 2 ) , then
w p r r * = ( 7 k 1 ) / ( 4 k + 2 ) , w n r r * = ( k 2 + 3 k 1 ) / ( 2 k + 1 ) , θ r r * = ( 5 k 2 ) / [ r ( 2 k + 1 ) ] , p p r r * = ( 5 k 2 ) / ( 2 k + 1 ) , p n r r * = ( 3 k 2 + 7 k 4 ) / ( 4 k + 2 ) , π m r r * = [ ( 50 k 2 40 k + 8 ) + ( 2 k 3 + 31 k 2 + 7 k 4 ) t ] / [ 4 ( 2 k + 1 ) 2 t ] , D p r r * = 3 k / ( 4 k + 2 ) , D n r r * = ( k + 2 ) / ( 4 k + 2 ) , π p r r * = 9 ( k 1 ) k / [ 4 ( 2 k + 1 ) 2 ] , π n r r * = ( k 1 ) ( k + 2 ) 2 / [ 4 ( 2 k + 1 ) 2 ] F .
Moreover, D p r r * > 1 / 2 > D n r r * > 0 , D p r r * + D n r r * = 1 .
(iib)
If k 5 and t > t 2 , then
w p r r * = t ( k 1 ) / 2 , w n r r * = t , θ r r * = t / r , p p r r * = t , p n r r * = t + k / 2 1 / 2 , D p r r * = D n r r * = 1 / 2 , π m r r * = t / 2 ( k 1 ) / 4 , π p r r * = ( k 1 ) / 4 , π n r r * = ( k 1 ) / 4 F .
Moreover, D p r r * = D n r r * = 1 / 2 , D p r r * + D n r r * = 1 .
(iic)
If k > 5 and t t 2 , where t 2 = ( k 2 + 23 k + ( k 2 + 3 k + 8 ) ( k 2 + 43 k 8 ) ) / ( 8 k + 4 ) , the results are the same as those in case (iia).
(iid)
If k > 5 , t > t 2 and p n r r * t + k 1 , then
w p r r * = t 1 , θ r r * = t / r , p p r r * = t , D p r r * = 1 , D n r r * = 0 , π m r r * = t / 2 1 , π p r r * = 1 , π n r r * = F .
Moreover, D p r r * > D n r r * , D p r r * + D n r r * = 1 .
The parameter t = r 2 / h comprehensively reflects the green sensitivity of consumers and the difficulty of product green innovation, and we refer to it as the green product utility (GPU). A smaller value of h implies a lower unit cost of green innovation, which is more conducive to the promotion of the green product. A larger value of r implies that consumers are more sensitive to the product greenness. As a result, the positive utility of unit greenness to consumers is higher, and then the consumers prefer to spend more on the product with higher greenness. Therefore, a smaller value of h and/or a larger value of r mean(s) a higher GPU t, because t increases with r and decreases with h, and vice versa.
Proposition 1 obtains the optimum solution, profits, manufacturer’s selling channel choice, and consumer purchasing channel choice for different conditions with respect to the GPU t and consumers’ omni-channel shopping experience factor k under the mode RR. Only when the green product utility, consumers’ OSEF, and retail price of the new retailer are large (case (iid)), the manufacturer retails the green product using just one channel, because the new retailer setting an exorbitant retail price results in the online platform cornering the whole market. However, in reality, these findings do not hold because the rational new retailer has no incentive to set her retail price so high that her demand is zero, and thus, this case can be omitted.
For the other cases (i), (iia), (iib), and (iic), the manufacturer favors selling the green product via both channels instead of relying on just one, essentially providing a product service differentiation strategy to consumers. (Figure 2 graphically depicts the effect of GPU on the demands, where k = 2 ,   h = 1 and F = 0 .) This is because through the green contract design, the manufacturer can induce both the retailers’ price competition behavior (different pricing) to obtain more profits (see the proof of Proposition 1), which is consistent with intuition that the competition of downstream enterprises is beneficial to upstream enterprises. Correspondingly, those consumers who buy the green product from the new retailer and online platform are divided, and the green product covers part or all of the demand market ( D p r r * , D n r r * 0 , D p r r * + D n r r * 1 ). From the consumers’ point of view, the manufacturer’s green contract design increases the variety of product services in the end market.
Specifically, when the GPU t is small relative to the OSEF k ( t t 1 increasing with k), a unique equilibrium exits, and the optimal green contract of the manufacturer induces the price competition between the two retailers, which makes the green product cover part of the demand market rather than the whole demand market ( D p r r * + D n r r * < 1 ). The reason for this is that the online platform sets a high retail price to respond to the green decision of the manufacturer (i.e., p p r r * r θ r r * ). Moreover, if the GPU t is above the critical value 1, then more consumers purchase the product from the online platform ( D p r r * D n r r * > 0 ). Otherwise, more consumers choose the new retail channel ( D n r r * D p r r * > 0 ). This findings shows that for the consumers, the GPU is superior to the new retailer’s service advantage, and only when the GPU is low is the service advantage of the new retailer reflected.
When the GPU t is large relative to the OSEF k ( t > t 1 ), the green product covers the whole demand market ( D p r r * + D n r r * = 1 ) because the price decision of the online platform and green decision of the manufacturer satisfy the boundary condition p p r r * = r θ r r * . Moreover, if the GPU t is medium (cases (iia) and (iic)), more consumers purchase the product from the online platform ( D p r r * > 1 / 2 > D n r r * > 0 ); otherwise, the demand market is equally divided (case (iib)). The reason that the same boundary condition leads to the above two different results is that the two green decisions of manufacturer are determined under the first subcase of case (i) and the second subcase of case (ii) in Lemma 1.
Since the optimal solution in case (ii) of Proposition 1 is reached on the boundary, to avoid redundant processing, the following sensitivity analyses are performed on t and k only for the results in case (i) of Proposition 1.
Corollary 1.
When t t 1 under the mode RR, all decision variables, demands, and profits increase with the green product utility.
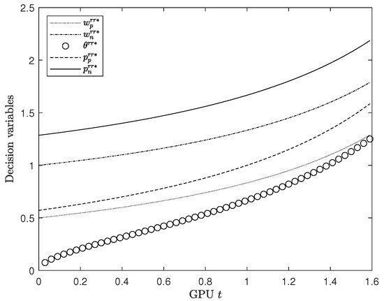
Corollary 1 indicates that under the RR mode, when t t 1 , the GPU positively influences all decision variables, demands, and profits for the following reasons. Figure 3 and Figure 4 graphically depict the effect of the GPU on the equilibrium solution and profits, with the parameter values identical to those shown in Figure 2. With increasing the green product utility, the manufacturer increases the product greenness, leading to a rise in the positive utility of product greenness to consumers ( r θ r r * increases with t). As a result, the manufacturer increases the two wholesale prices, and both retailers set higher retail prices. Because the increase in the online platform’s retail price is greater than that of new retailer, but lower than the positive utility increase of product greenness to consumers, the ADCPC and CPCP decrease ( p n r r * p p r r * and p p r r * r θ r r * decrease with t). Hence, the new retailer’s market demand increases. Simultaneously, the market demand of the online platform increases because the decrease of the CPCP is lower than that of the ADCPC. The increase in both the demands eventually leads to the increase in the two retailers’ profits. Although the greenness increases, the increase in demands and wholesale prices eventually results in the growth of manufacturer’s profit. Specifically, the conclusion that the demands and retail prices simultaneously increase with the GPU is interesting because it is in contrary to high retail prices, meaning low demands. In particular, when the GPU increases to the maximum value ( t = t 1 ), both of the demands increase, and the green product covers the whole demand market ( D p r r * + D n r r * = 1 ).
Based on the above analysis, Corollary 1 implies that increasing the GPU is beneficial to consumers, the environment, and the manufacturer and two retailers and that it is most beneficial for the five parties when the GPU reaches a threshold ( t = t 1 ). In reality, the GPU can be increased by raising the green sensitivity of consumers or/and reducing the difficulty of green product innovation because t increases with r and decreases with h. Retailers can improve consumers’ awareness of environmental protection (consumers can also raise their own environmental awareness) to raise their green sensitivity through certain activities or publicity methods, like showcasing the standout features of green products through advertisement and promotions. Manufacturers can reduce the green cost coefficient through technological innovation, which implies that the cooperation among manufacturer, two retailers, and consumers can be more conducive to the promotion of green product because it can improve the GPU and thus benefit all parties.
Corollary 2.
When t t 1 under the mode RR, we have the following outcomes:
(i)
w p r r * and θ r r * decrease with k, while w n r r * increases with k.
(ii)
p n r r * increases with k. p p r r * increases with k if t 1 ; otherwise, it decreases with k if t > 1 .
(iii)
D p r r * and D n r r * decrease with k.
(iv)
π n r r * increases with k. When k 7 / 4 , π p r r * increases with k. When k > 7 / 4 , π p r r * increases with k if t t 3 ; otherwise, it decreases with k. When k > 3 3 / 2 + 1 / 2 2.0981 , π m r r * increases with k. When k 2.0981 , π m r r * increases with k if t t 4 ; otherwise, it decreases with k, where t 3 = ( 4 k + 2 ) / ( 4 k 1 ) , and t 4 = ( 8 k 2 + 2 k 6 3 k + 2 ) / ( 2 k 2 + 2 k 1 ) .
Corollary 2 characterizes how the OSEF k affects the decisions, demands, and profits when t t 1 under the mode RR. (Figure 5 and Figure 6 graphically depict the effect of OSEF on demands, greenness, and profits, where h = 1 ,   F = 0 and r = 1.1 .) First, it is not expected that as the OSEF increases, the greenness and demands of both the online platform and new retailer decrease. Put differently, the new retailer enhancing the consumers’ shopping experience reduces not only her competitor’s market demand but also her own market demand and product greenness. Furthermore, this conclusion implies that the increase in the OSEF makes more consumers unwilling to purchase the green product and is disadvantageous to environmental protection, which is not intuitive for the following reasons. As the OSEF increases, the new retailer raises her retail price. When the GPU is high ( t > 1 ), the online platform increases her market competitiveness to obtain more market share than the new retailer only by reducing her retail price. When the GPU is low ( t 1 ), because of the service advantage of the new retailer, the online platform cannot obtain a greater market share through price competition (see the analysis of Proposition 1); thus, she increases her retail price, but this increase is lower than that in the new retailer’s retail price to achieve higher profit. As a result, the increase in the absolute difference of consumers’ comprehensive purchase costs ( p n r r * p p r r * ) leads to a reduction in market demand for the new retailer. Essentially, as the OSEF increases, price competition weakens across the online platform and new retailer; this causes the new retailer to preferentially target “high-end customers”, culminating in a drop in demand for the new retailer. To encourage price competition between the two retailers, the manufacturer lowers the wholesale price to the online platform while raising the wholesale price to the new retailer. At the same time, the manufacturer reduces the level of product greenness to cut down on green innovation costs, which is driven by the decreased wholesale price to the online platform and the reduced market demand of the new retailer. Regardless of whether the online platform’s retail price decreases or increases, the CPCP ( p p r r * r θ r r * ) still increases more than does the RDCPC ( ( p n r r * p p r r * ) / ( k 1 ) ) because of the decrease in the greenness. Therefore, the market demand of the online platform decreases. Intuitively, although an increase in the OSEF weakens the price competition between the online platform and new retailer, the manufacturer, acting in its own interest, stimulates downstream price competition through green contract design (by reducing the greenness and adjusting the wholesale prices). This stimulus raises the threshold for purchasing green products on the online platform, leading the online platform to abandon the “lowest-end customers” and ultimately resulting in a decline in her market demand.
Second, as the OSEF increases, the new retailer’s profit grows, whereas the online platform’s profit may fall or rise. The enhancement of consumers’ shopping experience from the new retailer increases her profit and may decrease that of the online platform, which is intuitive. Interestingly, the profit of the online platform may increase as the OSEF increases. This result occurs when the OSEF is small ( k 7 / 4 ) or the GPU is low ( t t 3 ). The former occurs because the service advantage of the new retailer is not obvious (see the analysis of Proposition 1). The latter occurs because, although the online platform’s market demand decreases, when the GPU is small, the online platform increases her selling price, and her purchased price offered by the manufacturer decreases, producing a substantial increase in the product’s per-unit profit margin.
Third, the manufacturer’s profit may decrease or increase with the OSEF. It is expected that the profit of manufacturer may increase due to her first-mover advantage and the competition between the two retailers. Unexpectedly, raising the OSEF may lead to a reduction in the manufacturer’s profit for the following reasons. On the one hand, the profit growth of new retailer occupies the space of profit growth of the manufacturer due to the increase in the OSEF. On the other hand, the profit of manufacturer from the online platform is determined mainly by the GPU when the GPU is high (see the analysis of Proposition 1). Therefore, when the OSEF is low and the GPU is high ( k 2.0981 and t > t 4 ), as the OSEF increases, although both the profit of the manufacturer from sales on the online platform and green innovation cost due to the reduction of greenness decrease, the decrease of the former is larger than that of the latter. These two factors eventually produce a drop in the manufacturer’s profit in this case.
Based on the above analyses, the triple-win conditions of manufacturer and two retailers with increasing the OSEF are obtained as follows.
Corollary 3.
When t t 1 under the mode RR, the profits of manufacturer and two retailers increase with the OSEF, while the greenness and both the demands decrease with it if (i) k 7 / 4 and t t 4 , or (ii) 7 / 4 < k 2.0981 and t min { t 3 , t 4 } , or (iii) k > 2.0981 and t t 3 .
Corollary 3 shows that under certain conditions (condition (i), (ii), or (iii)), increasing the OSEF is beneficial only to the manufacturer and two retailers, but it is disadvantageous to the environment and consumers because the profits of the three enterprises increase, whereas the greenness and the degree of willingness among consumers to purchase the product decrease.
Figure 7 graphically depicts the increasing conditions of the profits of three parties with increasing the OSEF. Based on Corollaries 1 and 3, when the GPU and OSEF satisfy the given conditions (take the values in areas (i), (ii), and (iii) of Figure 7), increasing the GPU is beneficial to the five parties of manufacturer, two retailers, environment, and consumers, but increasing the OSEF is beneficial to only the first three parties and is disadvantageous to the environment and consumers. Since the manufacturer can use the technological innovation to reduce the green cost coefficient and the retailers can use certain activities or publicity methods to increase consumers’ green sensitivity (consumers can also increase their own environmental awareness), the increase in the GPU requires the cooperation of the manufacturer, two retailers, and consumers. In addition, increasing the OSEF requires the new retailer to increase her offline investment. Therefore, it can be intuitively seen from Figure 7 that point A is a satisfactory point for the five parties. The reason for this is that in areas (i), (ii), and (iii), point A is the closest point to the curve t = t 1 , that is, t takes the maximum ( t = 1.4641 ) at point A, which is most beneficial to the five parties. Simultaneously, k is not too big ( k = 1.8660 ), which is acceptable for the new retailer due to less investment being needed in the offline experience store or VR shopping and is good for the environment and consumers. This is the result of the trade-off between the profits of the manufacturer and two retailers, consumer scale, service difficulty of the new retailer, and difficulty with respect to increasing the GPU.
The above analyses also imply that under the mode RR, the promotion of green products requires the cooperation of the manufacturer, retailers, and consumers to achieve the goal of low-carbon environmental protection because, as analyzed in Corollaries 1 and 2, the increases in the GPU and OSEF require the joint efforts of four parties.

3.3. Mode PR

In this subsection, we research the mode PR, and the order of decisions is detailed below. First, the manufacturer determines the greenness θ . Second, the manufacturer supplies to the new retailer at price w n and pays a PFR, α , to the online platform. Third, the manufacturer and new retailer unveil their retail prices, p p and p n , to consumers concurrently (for simplicity, the manufacturer’s retail price through the online platform remains p p ). Finally, consumers determine their purchase decision based on the retail prices and greenness. For convenience, we use the superscript p r to represent this mode.
Given the demand functions and PFR, the profits earned by the manufacturer, online platform, and new retailer are denoted as π m p r = ( 1 α ) p p D p + w n D n 1 / 2 h θ 2 , π p p r = α p p D p , and π n p r = ( p n w n ) D n F .
Due to the fact that under the mode PR, the method of solving the model is similar to that under the mode RR, and the equilibrium achieved on the boundary is omitted, Proposition 2 focuses on characterizing the unique equilibrium reached at the interior point to avoid redundancy.
Proposition 2.
When t t 5 under the mode PR, where t 5 = ( 6 k 2 ) / [ 6 k ( 1 α ) + k + 1 ] , there exists a unique equilibrium
w n p r * = 2 k ( k 1 ) [ ( 4 k α ) 2 ( 1 α ) ( k 1 ) t ] / B , θ p r * = 2 k ( k 1 ) ( 4 3 α ) t / ( r B ) , p p p r * = ( k 1 ) [ 2 ( 3 k 1 ) + ( k 1 ) t ] / B , p n p r * = 2 k ( k 1 ) [ 2 ( 3 k 1 ) 3 ( 1 α ) ( k 1 ) t ] / B , D p p r * = k [ 2 ( 3 k 1 ) + ( k 1 ) t ] / B , D n p r * = 2 k [ ( α + 2 k 2 ) ( 1 α ) ( k 1 ) t ] / B , π m p r * = k ( k 1 ) [ 2 ( α + k + 1 ) ( 1 α ) ( k 1 ) t ] / B , π p p r * = α k ( k 1 ) [ 2 ( 3 k 1 ) + ( k 1 ) t ] 2 / B 2 , π n p r * = 4 k 2 ( k 1 ) [ ( α + 2 k 2 ) ( 1 α ) ( k 1 ) t ] 2 / B 2 F ,
where B = ( 2 α k 14 k + 16 k 2 + 2 ) ( k 1 ) ( 8 k 8 α k + 1 ) t . Moreover, D p p r * D n p r * > 0 ; D p p r * + D n p r * < 1 , and p p p r * r θ p r * .
In comparison to the mode RR, since the agency contract offered to the online platform replaces the resale contract, the existence condition for the unique optimal solution under the mode PR becomes t t 5 , which is more stringent because t 5 < t 1 if α 1 / 2 . The condition t t 5 signifies that the GPU t is relatively small compared to both the OSEF k and PFR α because t 5 increases with k and α .
Proposition 2 presents the equilibrium decisions, profits, manufacturer’s selling channel choice, and consumers’ purchasing channel choice when t is small relative to k and α under the mode PR. In this case, similar to the analysis of Proposition 1, the optimal green contract provided by the manufacturer leads to the green product covering part of the demand market. However, for any given t, k, and α satisfying the condition t t 5 , more consumers show a preference for buying the green product from the online platform than from the new retailer ( D p p r * D n p r * > 0 ). Recall the conclusion of case (i) of Proposition 1; the market shares of two retailers are affected by the GPU. This finding implies that the manufacturer can use different contract modes to adjust the market share of the two marketing channels.
When t t 5 , the below three corollaries characterize how the parameters t, k, and α affect the optimal decisions, demands, and profits.
Corollary 4.
When t t 5 under the mode PR, the market demand and profit of the new retailer increase with the GPU if α > 1 / ( 2 k ) ; otherwise, they decrease with it, and all the other demand, decision variables, and profits increase with the green product utility.
Corollary 4 reveals the role of the GPU in shaping the optimal decisions, demands, and profits when t t 5 under the mode PR. (Figure 8 and Figure 9 graphically depict the effect of the GPU on demands, greenness, and profits, where k = 2 ,   h = 1 ,   α = 0.1 , and F = 0 , satisfying the condition α k < 1 / 2 .) As the contract mode between the manufacturer and online platform changes from reselling to agency selling, the GPU may negatively influence the market demand and profit of the new retailer ( α 1 / ( 2 k ) ), whereas it still has a positive effect on all the other demands, decision variables, and profits. The analyses of the latter are similar to those of Corollary 1, and only the former is analyzed below. As the GPU increases, the manufacturer increases the product greenness, resulting in the increase in retail prices. Since agency selling is introduced, the monotonicity of the new retailer’s market demand for the GPU is affected by the PFR. In fact, with the increasing GPU, when the product of the GPU and OSEF is small ( α k 1 / 2 ), the increase in the retail price of the new retailer surpasses that of the online platform. As a result, the ADCPC increases, and then the market demand of the new retailer decreases, causing the new retailer’s profit to decline. From the perspective of the impact of the GPU (when the GPU increases), this conclusion implies that such a low PFR and/or low OSEF essentially increase(s) the competitive advantage of the online platform in terms of market share and profit.
Corollary 5.
When t t 5 under the mode PR, we have the following outcomes:
(i)
w n p r * , θ p r * , p p p r * , and p n p r * decrease with α.
(ii)
D p p r * and D p p r * + D n p r * decrease with α, while D n p r * increases with α.
(iii)
π m p r * decreases with α, while π n p r * increases with α. When α α 1 , π p p r * increases with α. When α > α 1 , π p p r * increases with α if t t 6 ; otherwise, it decreases with α, where α 1 and t 6 are shown in the proof.
Corollary 5 reveals the role of the PFR in shaping the optimal decisions, demands, and profits when t t 5 under the mode PR. (Figure 10 and Figure 11 graphically depict the effect of PFR on demands, greenness, and profits, where k = 8 ,   h = 1 ,   r = 0.8 , and F = 0 .) First, as the PFR increases, the greenness and market demand of online platform decrease, whereas the market demand of the new retailer increases. That is, an increase in the PFR negatively influences the environment and market demand of the online platform but positively influences the market demand of the new retailer. In fact, as an increase in the PFR squeezes the manufacturer’s marginal profit from the online platform, the manufacturer reduces his retail price and the greenness. Influenced by price competition and a decreased greenness, the new retailer lowers her retail price. Since the drop in the manufacturer’s retail price is lower than the drop in both the new retailer’s retail price and the positive utility of product greenness to consumers, the ADCPC decreases, and the CPCP increases ( p n p r * p p p r * decreases with α , and p p p r * r θ p r * increases with α ). As a result, the market demand of the online platform decreases significantly, whereas that of the new retailer increases slightly, causing a decline in the overall market demand. From the above analyses, we know that the increase in the PFR amplifies the pricing conflict between the manufacturer and new retailer, which is not conducive to environmental protection but also reduces consumer interest in buying the green product.
Second, when the PFR grows, the new retailer’s profit grows, whereas the online platform’s profit may increase or decrease. It is expected that an increase in the PFR may increase the online platform’s profit. Unexpectedly, the online platform raising the PFR indirectly boosts the new retailer’s profit while potentially reducing her own for the following reasons. As the PFR increases, the new retailer’s market demand increases slightly, and her margin profit increases because her retail price decreases to less than her purchase price, ultimately causing her profit to grow. Since the PFR’s growth reduces the retail price and market demand for the manufacturer’s products on the online platform, the platform’s profit decreases when the increase of the former has a weaker impact than the combined impact of the decrease of the latter two on her profit. (When α > α 1 and t > t 6 , Figure 12 graphically depicts this case, where k = 128 ,   h = 1 ,   r = 1.2 , and F = 0 .) This conclusion implies that the online platform cannot set the PFR too high.
Third, the manufacturer experiences a reduction in profit as the PFR grows. In fact, as the PFR increases, although the new retailer’s market demand increases and the green innovation cost decreases, the manufacturer’s profit from the online platform substantially reduces, owing to the shrinking of marginal profit and market demand, which ultimately causes a reduction in the manufacturer’s profit.
Corollary 6.
When t t 5 under the mode PR, we have the following outcomes:
(i)
w n p r * , θ p r * , p p p r * , and p n p r * increase with k.
(ii)
D p p r * decreases with k. When 1 0 , D n p r * increases with k. When 1 > 0 , D n p r * increases with k if t min { t 5 , t 7 } ; otherwise, it decreases with k.
(iii)
π m p r * and π n p r * increase with k. π p p r * decreases with k if t t 8 and t 8 > 0 ; otherwise, it increases with k, where the expressions for 1 ,   t 7 and t 8 are shown in the proof.
Corollary 6 describes how the OSEF k affects decisions, demands, and profits when t t 5 under the mode PR. (Figure 13 and Figure 14 graphically depict the effect of the OSEF on demands, greenness, and profits, where h = 1 ,   F = 0 ,   r = 0.7 , and α = 0.1 .) On the one hand, increasing the OSEF lowers the market demand of the online platform, the greenness increases, and this may increase or decrease the market demand of the new retailer. This finding implies that the increase in the OSEF is beneficial to the environment and leads to fewer consumers interested in purchasing the green product because of the decease in the whole market demand. Similar to the results under the mode RR, as the OSEF increases, the new retailer also raises her retail price, and the market demand of her competitor reduces due to the increase of new retailer’s service advantage. Owing to the contract change, the manufacturer directly competes with the new retailer on price online. To restrain the increased service advantage of the new retailer, the manufacturer increases the greenness and then raises the prices for sales through the online platform and to the new retailer. At the same time, as the OSEF rises, the selling price of new retailer increases faster than does her competitive price, resulting in the increase of the ADCPC, which implies an easing of price competition between the two channels. However, the shopping experience difference between the two channels becomes large, causing a potential increase or decrease in the market demand of the new retailer (because D n p r * = 1 ( p n p r * p p p r * ) / ( k 1 ) ).
On the other hand, similar to the results under the mode RR, the growth of the OSEF leads to a higher profit for the new retailer and may result in a profit increase or decrease for the online platform (Figure 15 graphically depict this case), although the contract mode is changed under the mode PR. Unlike the result under the mode RR, where the increase in the OSEF may raise or lower the profit of the manufacturer, its rise raises his profit under the mode PR. This is because the coopetition relationship with the new retailer grants the manufacturer greater latitude in designing his green contract (determining the greenness, wholesale, and retail pricing), which enables the manufacturer to gain more profit by coordinating competition and cooperation with the new retailer.
According to the analyses above, a four-win condition of manufacturer, online platform, new retailer, and environment as the OSEF increases is characterized by the following corollary.
Corollary 7.
When t t 5 under the mode PR, the greenness and the profits of manufacturer, online platform, and new retailer increase with the OSEF, while the total market demand decreases with it if t > t 8 .
Corollary 7 implies that under certain conditions ( t 8 < t t 5 ), the growth of the OSEF is advantageous for the manufacturer, online platform, new retailer, and environment, while it is disadvantageous to consumers because the greenness and the profits of the three enterprises increase, while the total purchase intention of consumers decreases.
Figure 16 graphically depicts a four-win condition of the manufacturer, two retailers, and environment for different PFRs. Based on Corollaries 4 and 7, we from in the shaded area of Figure 16 that raising the GPU is beneficial to the five parties of manufacturer, online platform, new retailer, environment, and consumers, but raising the OSEF is only beneficial to the first four parties, while it is disadvantageous to the consumers. As with the analyses of Figure 7, Figure 16 visually demonstrates that point A is a satisfied one for the five parties. This is because point A is on the curve t = t 5 , that is, t takes the maximum at point A (t equals 0.8485 in Figure 16a and 0.8437 in Figure 16b), which is most beneficial to the five parties. Simultaneously, k is not too big (k respectively equals 5 and 3.3333 in the Figure 16a,b), which is acceptable for the new retailer due to less investment in the offline experience store or VR shopping and is good to consumers due to the highest market demand. This is the result of the trade-off between the profits of the manufacturer, online platform and new retailer, greenness, consumer scale, service difficulty of the new retailer, and difficulty of increasing green product utility. Comparing the two subgraphs, we find that with the increase in the PFR, the value of t corresponding to the satisfied point A decreases slightly, and the value of k corresponding to point A decreases greatly. This implies that the online platform raising the PFR has little effect on the satisfying green product utility and expands the service competitive advantage of the new retailer due to the smaller OSEF.
According to the analyses of Corollary 5, the PFR could not be set too high, because this decreases the profit of the manufacturer, greenness, and total market demand and may decrease the profit of the online platform herself. Moreover, the increase in the GPU and OSEF requires the joint efforts of the manufacturer, online platform, new retailer, and consumers (see the analyses of Corollaries 1 and 2). Therefore, under the mode PR, the promotion of green products still requires the cooperation of the manufacturer, retailers, and consumers to achieve the goal of low-carbon environmental protection.

4. Comparison and Mode Selection

This section focuses on comparing the results under the modes RR and PR, exploring how the GPU, OSEF, and PFR comprehensively affect the manufacturer’s green contract design and mode selection, as well as the two retailers’ and consumers’ responses.
According to Propositions 1 and 2, we derive the proposition below, which contrasts the results under the modes RR and PR.
Proposition 3.
When t t 5 , the results under the modes RR and PR are compared as follows:
(i)
Price comparison: p p r r * > p p p r * , and p n r r * > p n p r * . If k > 5.1106 , α < α 2 , and t > t 9 , then w n r r * < w n p r * ; otherwise, w n r r * w n p r * .
(ii)
Greenness comparison: If k > 1.8532 , α < α 3 , and t > t 10 , then θ r r * < θ p r * ; otherwise, θ r r * θ p r * .
(iii)
Demand comparison: D p r r * D p p r * , D n r r * > D n p r * , and D p r r * + D n r r * D p p r * + D n p r * .
(iv)
Retailer profit comparison: π n r r * π n p r * . If 2 > 0 and α > α 4 , then π p r r * < π p p r * ; otherwise, π p r r * π p p r * .
(v)
Manufacturer profit comparison: If k > 2.4886 , α < α 5 , and t > t 11 , then π m r r * < π m p r * ; otherwise, π m r r * π m p r * .
Note: Yhe expressions for 2 , t 9 t 11 and α 2 α 5 are shown in the proof.
Proposition 3 compares the results under the modes RR and PR when t t 5 , analyzing how the three factors ( t , k , α ) jointly affect the green contract design and mode selection of manufacturer and the responses of the two retailers and consumers. This is analyzed from the following four aspects. First, for any given three factors ( t , k , α ), the green product sold through the online platform has a lower sale price and higher market demand under the mode PR than under the mode RR ( p p r r * > p p p r * and D p r r * D p p r * ; see conclusions (i) and (iii)), which matches the intuition that the corresponding demand is higher if the price is set lower under one mode than under another mode. Interestingly, the mode PR results in a lower sale price and reduced market demand for the new retailer compared to the mode RR ( p n r r * > p n p r * and D n r r * > D n p r * ; see conclusions (i) and (iii)), which is contrary to the above intuition, while the whole market demand under the mode PR is higher ( D p r r * + D n r r * D p p r * + D n p r * ; see conclusion (iii)). These conclusions are reasonable for the following reasons. Different from the mode RR, under the mode PR, the manufacturer directly competes with the new retailer on price because the agency contract offered to the online platform replaces the resale contract. And since the green contract design of manufacturer influences the new retailer’s price decision, the manufacturer lowers the retail price under the mode PR to attract more consumers ( p p r r * > p p p r * and D p r r * D p p r * ). The new retailer then lowers her retail price in response to the manufacturer’s retail pricing decision ( p n r r * > p n p r * ). Although under the mode PR, both of the retail prices of the two channels reduce, the ADCPC ( p n p p ) is greater due to the manufacturer’s initiative to lower his retail price, resulting in the reduced market demand of new retailer ( D n r r * > D n p r * ). The manufacturer’s green contract design and retail price decision eventually leads to the result that the whole market demand under the mode PR exceeds that under the mode RR ( D p r r * + D n r r * D p p r * + D n p r * ).
Second, in some cases ( k > 5.1106 ,   α < α 2 , t > t 9 or k > 1.8532 , α < α 3 , t > t 10 ), the manufacturer prefers to implement a higher greenness and establish a higher purchase price for the new retailer under the mode PR than under the mode RR; while in most cases, he prefers to implement a lower greenness and establish a lower purchase price for the new retailer under the mode PR. (See conclusions (i) and (ii); Figure 17 graphically depicts the comparison of greenness under different conditions, where t = 0.5 .) These conclusions are complex and not intuitive for the following reasons. According to the analyses of Corollaries 2 and 6, an increase in the OSEF raises the greenness under the mode PR, while reduces it under the mode RR, resulting in that the greenness under the two modes may be equal only when the OSEF exceeds a certain threshold. In fact, when the OSEF is great and the PFR is small ( k > 1.8532 and α < α 3 ), the higher greenness is demonstrated under the mode PR compared to the mode RR ( θ r r * < θ p r * ) if the GPU is great ( t > t 10 ). For the other three cases ( k 1.8532 , or k > 1.8532 , α α 3 , or k > 1.8532 ,   α < α 3 , t t 10 ), the greenness is lower under the mode PR ( θ r r * θ p r * ). Analogously, an increase in the PFR lowers the purchase price established for the new retailer under the mode PR (see conclusion (i) of Corollary 5). Therefore, only when the OSEF is great and the PFR is small ( k > 5.1106 and α < α 2 ), the purchase price of the new retailer is set higher under the mode PR ( w n r r * < w n p r * ) if the GPU is great ( t > t 9 ). This is the result of the manufacturer’s balancing the profits of two channels by the green contract design (determining the greenness and purchase price of new retailer).
Third, for any given three factors ( t , k , α ), the mode PR allows the new retailer to secure more profit than the mode RR, while the mode PR may increase or decrease the profit of online platform. (See conclusion (iv); Figure 18 graphically depicts this conclusion under different conditions, where t = 0.5 .) Under the mode PR, the profits of the online platform and new retailer are lower than under the mode RR ( π p r r * π p p r * and π n r r * π n p r * ), which is intuitive for the following reasons. Due to the fact that under the mode PR, the online platform only charges the platform fees from the manufacturer and does not participate in the price competition of products, it is expected that her profit is lower than under the mode RR. In addition, according to the above analyses, under the mode PR, the new retailer has a lower retail price and weaker market demand. Although the purchase price of new retailer may be higher or lower, her marginal profit is lower. Consequently, the new retailer achieves lower profitability under the mode PR.
Unexpectedly, in some cases ( 2 > 0 and α > α 4 ), the mode PR allows the online platform to secure more profit than the mode RR ( π p r r * < π p p r * ). This is because under the mode PR, although the sale price through the online platform is lower, the corresponding market demand is higher. When the PFR increases and reaches a certain condition ( 2 > 0 and α > α 4 ), the online platform achieves higher profitability under the mode PR ( π p r r * < π p p r * ).
Finally, in general, the mode PR allows the manufacturer to secure less profit than the mode RR, and only in some cases does the manufacturer achieves more profitability under the mode PR. (Figure 19 graphically depicts the comparison of manufacturer’s profit under different conditions, where t = 0.5 .) In other words, the manufacturer prefers to choose the mode RR in most cases ( k 2.4886 , or k > 2.4886 , α α 5 , or k > 2.4886 , α < α 5 , t t 11 ) and chooses the mode PR only in some cases ( k > 2.4886 , α < α 5 , and t > t 11 ), which is not intuitive. This is because under the mode PR, the manufacturer directly competes on price with the new retailer through the online platform. In most cases, in order to obtain more market share, the manufacturer reduces the greenness, lowers the retail price on the online platform, and establishes a reduced purchase price for the new retailer. Although the new retailer lowers her sale price in response to the manufacturer’s markdown, her drop is smaller. Simultaneously, the manufacturer incurs a platform fee. As a result, in most cases, the manufacturer achieves less profitability under the mode PR.
However, in some cases, the GPU and the responses of the online platform and new retailer may hinder or even change this result. In fact, based on the analyses of Corollaries 1, 2, and 4–6, we analyze this complicated conclusion from the following three aspects. With respect to the first aspect, the increase in the GPU raises the profitabilities of manufacturer and online platform under the modes PR and RR and increases the new retailer’s profit under the mode RR and may raise or reduce her profit under the mode PR, while the improvement in the GPU needs the cooperation of manufacturer, online platform, new retailer, and consumers (see the analyses of Corollary 1). This leads to the new retailer under the mode PR to evaluate whether increasing the GPU because her profit may be reduced (when α k is small, see Corollary 4). With respect to the second aspect, the new retailer may increase the OSEF to enhance her market competitiveness, while this results in reduced profitability for the manufacturer under the mode RR (when k is small and t is great, see Corollary 2). With respect to the third aspect, under the mode PR, a higher PFR reduces the manufacturer’s profitability and may raise or reduce the online platform’s profitability, leading the latter to evaluate whether to increase the PFR due to a possible reduction in her profit (when α and t are great, see Corollary 5). Under the given green contract offered by the manufacturer, the trade-off between the online platform and new retailer analyzed in the above three aspects ultimately causes the mode PR to allow the manufacturer to secure more profit than the mode RR in some cases (when k , t are great and α is small, which is exactly consistent with the conditions of the above analysis results).
In a word, compared to the mode RR, under the mode PR, besides cooperating with the online platform and new retailer, the manufacturer also directly competes with the new retailer on price downstream. Although the change of these relationships enables the manufacturer to better guide consumers’ market purchasing behavior by applying the green contract design and retail pricing decision, the mode PR allows the manufacturer to secure less profit than the mode RR in most cases due to the alleviation of competitive pricing pressures downstream. Simultaneously, the manufacturer’s decision damages the new retailer’s interest and may be beneficial or unfavorable to the online platform and environment. However, affected by the PFR and the responses of the new retailer and consumers, the manufacturer favors selecting the mode PR in some cases.
Figure 20 visualizes the manufacturer’s mode choice affecting the online platform, new retailer, consumers, and environment under different conditions represented by the five areas when t t 5 . For example, under the conditions represented by the first area ( k > 2.4886 ,   α < min { α 3 , α 4 , α 5 } ,   t > max { t 10 , t 11 } , and 2 > 0 ), the manufacturer chooses the mode PR, and this choice is beneficial to the environment and promotion of green products, while it is disadvantageous to the online platform and new retailer. This is because compared with the mode RR, under the mode PR, the greenness is higher, and more consumers tend to purchase the green product. On the contrary, the profits of the online platform and new retailer are lower. This choice essentially means that the manufacturer adopts the strategy of small profits and quick turnover (lower prices and more total demand) to promote the product with higher greenness at the expense of the online platform and new retailer’s part profits, causing the manufacturer’s direct participation in the downstream price competition.
Similar to the analyses of Figure 7 and Figure 16, it can be intuitively seen from Figure 20 that point B is a satisfied one for the five parties if the manufacturer selects the mode PR (in the first area). At this point, t takes the maximum t 5 = 0.8048 , and k = 3.3034 is not too big. Simultaneously, point B represents the strategy of small profits and quick turnover because under the mode PR, the green product covers the whole demand market ( D p p r * + D n p r * = 100 % > D p r r * + D n r r * = 54.14 % ), and the retail prices are lower ( p p p r * = 0.5327 < p p r r * = 0.8943 , and p n p r * = 2.2926 < p n r r * = 2.5337 ).
Under the other conditions represented by the other four areas, the manufacturer prefers to choose the mode RR due to higher profit, and its impact is not the same (e.g.see Figure 20). Interestingly, under the conditions represented by the third area ( k 2.4886 ,   α 5 α < α 4 , t min { t 10 , t 11 } , and 2 > 0 ), the manufacturer prefers the mode RR, and this choice has a positive impact on the online platform, new retailer, and environment, while it negatively affects the promotion of green products due to less consumers willing to purchase these products ( D p r r * + D n r r * D p p r * + D n p r * ). In essence, this choice implies that the manufacturer uses the strategy of attracting high-end consumers (higher prices and less total demand) through the online platform and new retailer to sell the product with higher greenness. This is the result that the manufacturer induces the price competition between the online platform and new retailer to guide consumers’ market purchasing behavior through the green contract design (determining the greenness and wholesale prices).
Similarly, it can be intuitively seen from Figure 20 that point A is a satisfied one for the five parties if the manufacturer chooses the mode RR. On the one hand, compared with the strategy corresponding to any point in the second, fourth, and fifth areas, the strategy corresponding to any point in the third area is beneficial to the most parties (the four parties of manufacturer, online platform, new retailer, and environment), which is superior to at most three of the four parties. On the other hand, in the third area, at point A, t takes the maximum t 5 = 0.7408 , and k takes the maximum 2.1776 , which is not too big. Simultaneously, the strategy corresponding to point A is the one of attracting high-end consumers because under the mode RR, the green product only covers about fifty-seven percent of the whole demand market ( D p r r * + D n r r * = 57.04 % < D p p r * + D n p r * = 100 % ), and the retail prices are higher ( p p r r * = 0.8522 > p p p r * = 0.4226 , and p n r r * = 1.6649 > p n p r * = 1.3427 ).
Based on the above analyses, the proposition below characterizes the manufacturer’s mode choice affecting the online platform, new retailer, consumers, and environment.
Proposition 4.
When t t 5 , the manufacturer’s mode choice and its effects have the following characteristics:
(i)
If k > 2.4886 , α < min { α 3 , α 4 , α 5 } , t > max { t 10 , t 11 } , and 2 > 0 , then the manufacturer chooses the mode PR, which is a triple-win for the manufacturer, consumers, and environment at the expense of the online platform and new retailer’s profits.
(ii)
If k 2.4886 , α 5 α < α 4 , t min { t 10 , t 11 } , and 2 > 0 , then the manufacturer chooses the mode RR, which is a four-win for the manufacturer, online platform, new retailer, and environment at the expense of the consumer market.
(iii)
Under the other conditions, the manufacturer chooses the mode RR, which is beneficial to the manufacturer and is disadvantageous to the new retailer and consumers. Simultaneously, this choice may be beneficial or disadvantageous to the online platform and environment.

5. Conclusions

This paper investigates a manufacturer’s green contract design and mode selection under the competition between an online platform and a new retailer offering omni-channel services from the view of channel shopping selection behavior of green consumers. Distinct from relevant research, the OSEF and GPU are defined to characterize the omni-channel services and the fusion of green product innovation difficulty and consumer eco-awareness, respectively. Based on these configurations, we develop the models under the RR and PR modes, leading to the following primary conclusions. First, under the complex interaction of GPU, OSEF, and PFR, even if the relationship between the manufacturer and new retailer has changed from cooperation to competition and cooperation under the mode PR, manufacturers still prefer dual-channel sales over single-channel sales. This preference stems from the ability to differentiate product services, thereby influencing consumer channel choices and adjusting market shares through mode selection.
The impacts of GPU, OSEF, and PFR on the manufacturer, downstream e-commerce platform retailers, and environment are intricate and nuanced. Under the mode RR, higher GPUs always benefit the manufacturer, online platform, new retailer, and environment. However, under the mode PR, increasing the GPU may hurt the new retailer due to the manufacturer’s contract design (when the product of the OSEF and PFR is small). While raising the omni-channel service level (increasing OSEF) enhances profitability in the new retailer across both modes, its environmental impacts differ significantly between them. Additionally, it can harm the online platform in some cases. Nevertheless, in a ceratin condition, the manufacturer, online platform and new retailer favor higher OSEFs under both modes. Increasing the PFR has negative environmental consequences and may even harm the online platform herself when the GPU is medium.
Third, comparing the conclusions under the modes RR and PR, we indicate that in some cases, the manufacturer chooses the mode PR, which is a triple-win for the manufacturer, consumers, and environment at the expense of the online platform and new retailer’s part profit. However, the manufacturer chooses the mode RR in most cases, and a four-win condition for the manufacturer, online platform, new retailer, and environment is provided by attracting the high-end consumers through green contract design. This indicates that, under specific conditions, the manufacturer, online platform, and new retailer all prefer the mode RR, which simultaneously benefits the environment and leads to a Pareto optimal outcome.
Finally, our findings, along with the parametric analyses, indicate that promoting green products necessitates the full collaboration of manufacturers, retailers, and consumers to achieve the objective of low-carbon environmental protection, and the concrete cooperation mechanisms derived from quantitative insights have been proposed. It should be noted that the characterization of new retailer features in the process of model establishment is simplified appropriately, and the OSEF is used to distinguish new retailers from online platforms, which has certain limitations. Incorporating the features of offline shopping stores and contemporary logistics enables a more precise characterization of new retailers, leading to a model that more closely reflects actual scenarios.
The study investigates the issue of green contract design and mode selection for a manufacturer in the context of competition between an online platform and a new retailer, focusing exclusively on the economic and managerial dimensions. Researching the operational strategies of manufacturers for green products under new retail competition, considering various government policies or institutions such as green subsidy policies and extended producer responsibility, is of great significance. This can provide robust decision-making support for macro-level government green initiatives. In addition, we specifically focus on the green product operations of manufacturers competing in the new retail sector within the same country, and it is also of great theoretical and practical significance to further consider such issues under cross-border e-commerce competition because it is the current research hotspot.

Author Contributions

Conceptualization, Z.L. and C.Z.; methodology, C.Z.; formal analysis, Z.L.; investigation, Z.L.; resources, C.Z.; data curation, Z.L.; writing—original draft preparation, C.Z.; writing—review and editing, Z.L.; visualization, C.Z.; project administration, Z.L.; funding acquisition, C.Z. All authors have read and agreed to the published version of the manuscript.

Funding

This work is supported by National Natural Science Foundation of China (No. 72071092), the Humanity and Social Science Foundation of Ministry of Education of China (No. 23YJA630147), Tianjin Philosophy and Social Science Planning Project (No. TJGL22-013), and Key Research Project on Open Topics of the Beijing Urban Governance Research Base (No. 2024CSZL04).

Institutional Review Board Statement

Not applicable.

Informed Consent Statement

Not applicable.

Data Availability Statement

The authors confirm that the data supporting the findings of this study are available within the article.

Conflicts of Interest

The authors declare that they have no conflicts of interest.

Appendix A

Proof of Proposition 1.
The profits of manufacturer, online platform, and new retailer are expressed as π m r r = w p D p + w n D n 1 / 2 h θ 2 , π p r r = ( p p w p ) D p , and π n r r = ( p n w n ) D n F . According to Lemma 1, we solve the model under the mode RR from the following cases under the conditions p p 1 + r θ , p n k + r θ , p p < p n :
(i) When p n p p ( k 1 ) ( p p r θ ) (the new retailer monopolizes the market), D p = 0 , D n = 1 ( p n r θ ) / k , and we solve the model by using backward induction.
(ia) The price decision of new retailer in stage III
Since the first-order condition for π n r r about p n is p n = k / 2 + w n / 2 + r θ / 2 and p n > p p r θ , we obtain the following subcases:
  • (iaa) If k / 2 + w n / 2 + r θ / 2 r θ , i.e., w n r θ k , then p n = k / 2 + w n / 2 + r θ / 2 , and π n = ( k w n + r θ ) 2 / ( 4 k ) F .
  • (iab) If w n r θ k and r θ k , then p n = r θ , and π n = r θ w n F .
(ib) The price decision of manufacturer in stage II
  • (iba) When p n = k / 2 + w n / 2 + r θ / 2 , the first-order condition for π m r r about w n is w n = k / 2 + r θ / 2 , and we obtain the following subcases:
    -
    (ibaa) If k / 2 + r θ / 2 r θ k , i.e., r θ 3 k , then w n = k / 2 + r θ / 2 , and π m = [ ( 4 h k r 2 ) θ 2 + 2 k r θ + k 2 ] / ( 8 k ) .
    -
    (ibab) If r θ 3 k , then w n = r θ k , and π m = h θ 2 / 2 + r θ k .
  • (ibb) When p n = r θ ( r θ k ), we have w n = r θ k and π m = r θ k h θ 2 / 2 .
Compare the above two subcases, where both the profits of the manufacturer in subcases (ibaa) and (ibab) are greater than that in subcase (ibb). Therefore, the results in subcase (iba) are the optimal price decision of manufacturer in stage II.
(ic) The green strategy of manufacturer in stage I
  • (ica) When w n = k / 2 + r θ / 2 , the first-order condition for π m r r about θ is θ = ( k r ) / ( r 2 + 4 h k ) , we have the following subcases:
    -
    (icaa) If r ( k r ) / ( r 2 + 4 h k ) 3 k , i.e., t = r 2 / h 3 k , then θ = ( k r ) / ( r 2 + 4 h k ) , and π m = k 2 / ( 8 k 2 t ) .
    -
    (icab) If t 3 k , then θ = 3 k / r , and π m = 2 k 9 k 2 / ( 2 t ) .
  • (icb) When w n = r θ k , the stationary point for π m r r about θ is r / h , and we have the following subcases:
    -
    (icba) If r / h 3 k / r , i.e., t 3 k , then θ = r / h , and π m = t / 2 k .
    -
    (icbb) If t 3 k , then θ = 3 k / r , and π m = 2 k 9 k 2 / ( 2 t ) .
Compare the above two subcases, where the profit of manufacturer in subcase (icaa) is greater than that in subcase (icbb), and his profit in subcase (icba) is greater than that in subcase (icab). Therefore, we have the final conclusions in case (i).
  • If t 3 k and [ 3 h k + ( k 1 ) r 2 ] / ( 4 h k r 2 ) p p min { 3 h k 2 , ( 4 h k + k r 2 r 2 ) } / ( 4 h k r 2 ) , then
    w n = 2 h k 2 / ( 4 h k r 2 ) , θ = k r / ( 4 h k r 2 ) , p n = 3 h k 2 / ( 4 h k r 2 ) , π m r r = h k 2 / ( 8 h k 2 r 2 ) , π p r r = 0 , π n r r = h 2 k 3 / ( 4 h k r 2 ) 2 F .
  • If t 3 k and p p = t , then
    w n = t k , θ = t / r , p n = t , π m r r = t / 2 k , π p r r = 0 , π n r r = k F .
(ii) When p n p p k 1 , the online platform monopolizes the market, and backward induction is used to solve the model.
(iia) The price decision of online platform in stage III
  • (1a) If p p r θ , then D p = 1 ( p p r θ ) , D n = 0 . Since the first-order condition for π p r r about p p is p p = 1 / 2 + w p / 2 + r θ / 2 , we have the following conclusions:
    -
    (1aa) If 1 / 2 + w p / 2 + r θ / 2 > r θ , i.e., w p > r θ 1 , then p p = 1 / 2 + w p / 2 + r θ / 2 , and π p = ( r θ w p + 1 ) 2 / 4 .
    -
    (1ab) If w p r θ 1 and r θ 1 , then p p = r θ , and π p = r θ w p .
  • (2a) If p p r θ , then D p = 1 , D n = 0 , p p = r θ , and π p = r θ w p .
Compare the above two conclusions, where both the profits of the online platform in subcases (1aa) and (1ab) are greater than that in subcase (2a). Therefore, the results in subcase (1a) are the optimal price decision of the online platform in stage III.
(iib) The price decision of manufacturer in stage II
  • (1b) When p p = 1 / 2 + w p / 2 + r θ / 2 , the first-order condition for π m r r about w p is w p = 1 / 2 + r θ / 2 , and we have the following conclusions:
    -
    (1ba) If 1 / 2 + r θ / 2 > r θ 1 , i.e., r θ < 3 , then w p = 1 / 2 + r θ / 2 , and π m = [ ( 4 h r 2 ) θ 2 + 2 r θ + 1 ] / 8 .
    -
    (1bb) If r θ 3 , then w p = r θ 1 , and π m = r θ 1 h θ 2 / 2 .
  • (2b) When p p = r θ ( r θ 1 ), w p = r θ 1 , and π m = r θ 1 h θ 2 / 2 .
Compare the above conclusions, where both the profits of the manufacturer in subcase (1ba) and (1bb) are greater than that in subcase (2b). Therefore, the results in subcase (1b) are the optimal price decision of the manufacturer in stage II.
(iic) The green strategy of manufacturer in stage I
  • (1c) When w p = 1 / 2 + r θ / 2 , the first-order condition for π m r r about θ is θ = r / ( 4 h r 2 ) , we have the following conditions:
    -
    (1ca) If r 2 / ( 4 h r 2 ) < 3 , i.e., t < 3 , then θ = r / ( 4 h r 2 ) , and π m = 1 / ( 8 2 t ) .
    -
    (1cb) If t 3 , then θ = 3 / r , and π m = 2 9 / ( 2 t ) .
  • (2c) When w p = r θ 1 , the first-order condition for π m r r about θ is θ = r / h , and we have the following conditions:
    -
    (2ca) If r / h 3 / r , i.e., t 3 , then θ = r / h , and π m = t / 2 1 .
    -
    (2cb) If t < 3 , then θ = 3 / r , and π m = 2 9 / ( 2 t ) .
Compare the above two conclusions, where the profit of the manufacturer in subcase (1ca) is greater than those in subcases (2ca) and (2cb), and his profit in subcase (2ca) is greater than that in subcase (1cb). Therefore, we have the final conclusions in case (ii):
  • If t < 3 and [ ( 4 k 1 ) h ( k 1 ) r 2 ] / ( 4 h r 2 ) p n [ 4 h k ( k 1 ) r 2 ] / ( 4 h r 2 ) , then
    w p = 2 h / ( 4 h r 2 ) , θ = r / ( 4 h r 2 ) , p p = 3 h / ( 4 h r 2 ) , π m r r = h / ( 8 h 2 r 2 ) , π p r r = h 2 / ( 4 h r 2 ) 2 , π n r r = F .
  • If t 3 and t + k 1 p n t + k , then
    w p = t 1 , θ = t / r , p p = t , π m r r = t / 2 1 , π p r r = 1 , π n r r = F .
(iii) When ( k 1 ) ( p p r θ ) < p n p p k 1 and p p r θ , D p = ( p n p p ) / ( k 1 ) ( p p r θ ) , D n = 1 ( p n p p ) / ( k 1 ) . Using backward induction, we first solve the optimal solutions for π p r r , π n r r about p p , p n and for π m r r about w p , w n , and then substituting them into all the constraints leads to the condition θ ( 5 k 2 ) / [ r ( 2 k + 1 ) ] . Since the first-order condition for π m r r about θ is θ = 3 k r / [ ( 8 k 2 ) h ( 2 k + 1 ) r 2 ] , we have the following conclusions in case (iii):
  • (iiia) If t ( 5 k 2 ) / ( 2 k + 1 ) , then
    w p = [ ( 8 k 2 ) h + ( k 1 ) r 2 ] / [ ( 16 k 4 ) h ( 4 k + 2 ) r 2 ] , w n = k [ ( 4 k 1 ) h ( k 1 ) r 2 ] / [ ( 8 k 2 ) h ( 2 k + 1 ) r 2 ] , θ = 3 k r / [ ( 8 k 2 ) h ( 2 k + 1 ) r 2 ] , p p = [ ( 5 k 2 ) h + ( k 1 ) r 2 ) ] / [ ( 8 k 2 ) h ( 2 k + 1 ) r 2 ] , p n = 3 k [ ( 4 k 2 ) h ( k 1 ) r 2 ] / [ ( 16 k 4 ) h ( 4 k + 2 ) r 2 ] , π m r r = k [ ( 4 k + 2 ) h ( k 1 ) r 2 ] / [ ( 32 k 8 ) h ( 8 k + 4 ) r 2 ] , π p r r = k ( k 1 ) ( 2 h + r 2 ) 2 / [ ( 16 k 4 ) h ( 4 k + 2 ) r 2 ] 2 , π n r r = k 2 ( k 1 ) ( 4 h r 2 ) 2 / [ ( 16 k 4 ) h ( 4 k + 2 ) r 2 ] 2 F .
  • (iiib) If ( 5 k 2 ) / ( 2 k + 1 ) < t < ( 8 k 2 ) / ( 2 k + 1 ) , then the optimal is attained at the boundary, and
    w p = ( 7 k 1 ) / ( 4 k + 2 ) , w n = ( k 2 + 3 k 1 ) / ( 2 k + 1 ) , θ = ( 5 k 2 ) / [ r ( 2 k + 1 ) ] , p p = ( 5 k 2 ) / ( 2 k + 1 ) , p n = ( 3 k 2 + 7 k 4 ) / ( 4 k + 2 ) , π m r r = [ ( 50 k 2 40 k + 8 ) h + ( 2 k 3 + 31 k 2 + 7 k 4 ) r 2 ] / [ 4 r 2 ( 2 k + 1 ) 2 ] , π p r r = 9 ( k 1 ) k / [ 4 ( 2 k + 1 ) 2 ] , π n r r = ( k 1 ) ( k + 2 ) 2 / [ 4 ( 2 k + 1 ) 2 ] F .
  • (iiic) If t ( 8 k 2 ) / ( 2 k + 1 ) , the results are the same as those in subcase (ib).
(iv) When p n p p + k 1 and p p r θ , D p = ( p n p p ) / ( k 1 ) , D n = 1 ( p n p p ) / ( k 1 ) . Using backward induction, the stationary point for π p r r , π n r r about p p , p n is p p = k / 3 + w n / 3 + 2 w p / 3 1 / 3 , p n = 2 k / 3 + 2 w n / 3 + w p / 3 2 / 3 . Thus, π m r r = 2 w n / 3 + w p / 3 ( w n w p ) 2 / ( 3 k 3 ) h θ 2 / 2 . Because there is no stationary point for this case, the optimal solution is attained on the boundary, and the three following subcases are obtained:
  • (iva) If w n = k 2 w p + 3 r θ + 1 , the optimal solution for π m r r about w p is r θ k / 2 + 1 / 2 , and then substituting them into all the constraints leads to the condition θ ( k 1 ) / ( 2 r ) . Since the first-order condition for π m r r about θ is θ = r / h , we have the following conclusions.
    -
    (ivaa) If r / h ( k 1 ) / ( 2 r ) , i.e., t ( k 1 ) / 2 , then
    w p = r 2 / h ( k 1 ) / 2 , w n = r 2 / h , θ = r / h , p p = r 2 / h , p n = r 2 / h + k / 2 1 / 2 , π m = r 2 / ( 2 h ) ( k 1 ) / 4 , π p = ( k 1 ) / 4 , π n = ( k 1 ) / 4 F .
    -
    (ivab) If t < ( k 1 ) / 2 , then
    w p = 0 , w n = ( k 1 ) / 2 , θ = ( k 1 ) / ( 2 r ) , p p = ( k 1 ) / 2 , p n = k 1 , π m = ( k 1 ) [ 2 r 2 ( k 1 ) h ] / ( 8 r 2 ) , π p = ( k 1 ) / 4 , π n = ( k 1 ) / 4 F .
  • (ivb) If w n = 2 k + w p 2 , then substituting it into all the constraints leads to the condition 0 w p r θ ( k 1 ) , meaning that θ ( k 1 ) / r . Since the first-order condition for π m r r about θ is θ = r / h , we have the following conclusions:
    -
    (ivba) If r / h ( k 1 ) / r , i.e., t ( k 1 ) , then
    w p = r 2 / h ( k 1 ) , w n = r 2 / h + ( k 1 ) , θ = r / h , p p = r 2 / h , p n = r 2 / h + ( k 1 ) , π m = r 2 / ( 2 h ) ( k 1 ) , π p = k 1 , π n = F .
    -
    (ivbb) If t < k 1 , then
    w p = 0 , w n = 2 k 2 , θ = ( k 1 ) / r , p p = k 1 , p n = 2 k 2 , π m = ( k 1 ) 2 h / ( 2 r 2 ) , π p = k 1 , π n = F .
Compare the above two conclusions, where the profit of the manufacturer in subcase (ivaa) is greater than those in subcase (ivba) and (ivbb), and his profit in subcase (ivab) is greater than that in subcase (ivbb). Therefore, the results in subcase (iva) are optimal in case (iv).
We compare the profits of the manufacturer in cases (iii) and (iv) as follows:
  • (1) When k ( 97 n + 11 ) / 4 5.2122 , we obtain ( k 1 ) / 2 ( 5 k 2 ) ( 2 k + 1 ) and compare the profits from the following three subcases:
    (1a) If t ( k 1 ) / 2 , the profit of the manufacturer in case (iiia) is greater than that in case (ivab) because
    k [ 4 k + 2 ( k 1 ) t ] 4 [ ( 8 k 2 ) ( 2 k + 1 ) t ] 0 ( k 1 ) [ t ( k 1 ) / 2 ) ] 4 t .
    (1b) If ( k 1 ) / 2 < t t 1 , where t 1 = ( 5 k 2 ) / ( 2 k + 1 ) , the difference between the profits of the manufacturer in cases (iiia) and (ivaa) is
    2 ( 2 k + 1 ) t 2 ( k + 5 ) ( 3 k 1 ) t + 2 ( 6 k 2 4 k + 1 ) 4 [ ( 8 k 2 ) ( 2 k + 1 ) t ] 0 ,
    and the reason is as follows. This is because the numerator is a quadratic function about t whose discriminant 9 ( k 2 10 k + 1 ) ( k 1 ) 2 < 0 if k 5.2122 and the quadratic coefficient is positive, meaning that the numerator is positive.
    (1c) If t > t 1 , the difference between the profits of the manufacturer in cases (iiib) and (ivaa) is
    ( 8 k 2 8 k 2 ) t 2 + ( 6 k 3 + 31 k 2 + 4 k 5 ) t 50 k 2 + 40 k 8 4 t ( 2 k + 1 ) 2 0
    if t t 2 ; otherwise, it is smaller than zero. This is because the numerator is a quadratic function about t, and it is ( 8 k 2 8 k 2 ) ( t t 2 ) ( t t 11 ) , where t 2 = [ 14 k + 3 k 2 5 + ( k 1 ) 3 ( 3 k 2 + 34 k 13 ) ] / ( 4 k + 2 ) , t 11 = [ 14 k + 3 k 2 5 ( k 1 ) 3 ( 3 k 2 + 34 k 13 ) ] / ( 4 k + 2 ) , and t 11 < t 1 < t 2 .
  • (2) When k > 5.2122 , the results are the same as those in case (1) by using the similar method.
Therefore, if t t 1 , the profit of the manufacturer in case (iiia) is greater; if t 1 < t t 2 , the profit of the manufacturer in case (iiib) is greater; the profit of the manufacturer in case (ivaa) is greater if t > t 2 . The comparisons of other cases can be similarly proved. □
Proof of Corollary 1.
We only prove the monotonicity of p n r r * with t and the other conclusions are similar to be proved. As per Proposition 1, we have d p n r r * / d t = 3 k ( 5 k 2 ) / [ 8 k 2 ( 2 k + 1 ) t ] 2 > 0 because k > 1 . Therefore, p n r r * increases with t. □
Proof of Corollary 2.
We only demonstrate the sensitivity of manufacturer’s profit about k, and the others are similar to be proved. According to Proposition 1, we obtain d π m r r * / d t = ( 2 k 2 + 2 k 1 ) t 2 + ( 16 k 2 4 k 4 ) t + 32 k 2 16 k 4 = ( 2 k 2 + 2 k 1 ) ( t t 21 ) ( t t 4 ) , where t 4 = ( 8 k 2 + 2 k + 2 6 3 k ) / ( 2 k 2 + 2 k 1 ) , t 21 = ( 8 k 2 + 2 k + 2 + 6 3 k ) / ( 2 k 2 + 2 k 1 ) , t 1 < t 21 , t 4 < t 21 and t 1 < t 4 if k > 3 3 / 2 + 1 / 2 2.0981 ; otherwise, t 1 t 4 .
Because d π m r r * / d t is a quadratic function about t, when k > 2.0981 , d π m r r * / d t > 0 , and then π m r r * increases with k. When k 2.0981 , we have d π m r r * / d t 0 if t t 4 ; otherwise, d π m r r * / d t < 0 . The corollary is proved. □
Proof of Proposition 2.
The profits of the manufacturer, online platform, and new retailer are expressed as π m p r = ( 1 α ) p p D p + w n D n 1 / 2 h θ 2 , π p p r = α p p D p , and π n p r = ( p n w n ) D n F under the mode PR. We assume that p p 1 + r θ , p n k + r θ , p p < p n , and the existence case of a unique solution is as follows similar to the proof of Proposition 1.
When ( k 1 ) ( p p r θ ) < p n p p k 1 and p p r θ , we have D p = ( p n p p ) / ( k 1 ) ( p p r θ ) , D n = 1 ( p n p p ) / ( k 1 ) . Using backward induction, we first solve the optimal solutions for π p p r , π n p r about p p , p n and for π m p r about w p , w n , and then substituting them into all the constraints leads to the condition θ 2 ( 3 k 1 ) ( k 1 ) / [ r ( 2 k α 3 k + 8 k 2 1 ) ] . Since the stationary point for π m p r about θ is 2 k r ( k 1 ) ( 4 3 α ) / [ 2 h ( k α 7 k + 8 k 2 + 1 ) r 2 ( k 1 ) ( 8 k 8 k α + 1 ) ] , we obtain the following conclusion according to the above condition on θ .
If t t 5 , where t 5 = ( 6 k 2 ) / ( 7 k 6 k α + 1 ) , there exist a unique equilibrium
w n p r * = 2 k ( k 1 ) [ ( 4 k α ) 2 ( 1 α ) ( k 1 ) t ] / B , θ p r * = 2 k ( k 1 ) ( 4 3 α ) t / ( r B ) , p p p r * = ( k 1 ) [ 2 ( 3 k 1 ) + ( k 1 ) t ] / B , p n p r * = 2 k ( k 1 ) [ 2 ( 3 k 1 ) 3 ( 1 α ) ( k 1 ) t ] / B , D p p r * = k [ 2 ( 3 k 1 ) + ( k 1 ) t ] / B , D n p r * = 2 k [ ( α + 2 k 2 ) ( 1 α ) ( k 1 ) t ] / B , π m p r * = k ( k 1 ) [ 2 ( α + k + 1 ) ( 1 α ) ( k 1 ) t ] / B , π p p r * = α k ( k 1 ) [ 2 ( 3 k 1 ) + ( k 1 ) t ] 2 / B 2 , π n p r * = 4 k 2 ( k 1 ) [ ( α + 2 k 2 ) ( 1 α ) ( k 1 ) t ] 2 / B 2 F ,
where B = ( 2 α k 14 k + 16 k 2 + 2 ) ( k 1 ) ( 8 k 8 α k + 1 ) t . Moreover, we obtain D p p r * D n p r * > 0 ; D p p r * + D n p r * < 1 and p p p r * r θ p r * by comparing the above results, meaning that the proposition is true. □
Proof of Corollary 4.
We only prove the monotonicity of new retailer’s profit about t and the other conclusions are similar. According to Proposition 2, we have d π n p r * / d t = 8 k 2 ( k 1 ) 2 ( 3 α 4 ) ( 2 k α 1 ) [ α + 2 k 2 t ( k 1 ) ( 1 α ) ] / B 3 . Therefore, when t t 5 and α 1 / 2 , we obtain d π n p r * / d t > 0 if k α > 1 / 2 ; otherwise, d π n p r * / d t 0 if k α 1 / 2 , meaning that the new retailer’s profit increases with t if k α > 1 / 2 and decreases with it otherwise. □
Proof of Corollary 5.
We only prove the monotonicity of online platform’s profit about α and the other conclusions are similar. Based on Proposition 2, we have d π p p r * / d α = k ( k 1 ) ( 6 k t + k t 2 ) 2 [ ( k 1 ) ( 8 k + 8 k α + 1 ) t + 16 k 2 2 k α 14 k + 2 ] / B 3 . Therefore, because t t 5 , we obtain when α α 1 , d π p p r * / d α > 0 . When α > α 1 , d π p p r * / d α 0 if t t 6 ; otherwise, d π n p r * / d α < 0 if t > t 6 , where α 1 = ( 72 k 2 67 k + 15 5184 k 4 10416 k 3 + 6937 k 2 1914 k + 225 ) / ( 12 k ) and t 6 = ( 16 k 2 2 α k 14 k + 2 ) / [ ( k 1 ) ( 8 k + 8 α k + 1 ) ] . □
Proof of Corollary 6.
We only prove the monotonicity of new retailer’s demand about k and the other conclusions are similar. Based on Proposition 2, we have
d D n p r * / d k = [ 2 ( k 1 ) 2 ( 1 α ) t 2 + ( 12 k 2 α 2 + ( 16 k 2 + 8 k 2 ) α 8 k 2 ) t ( 4 + 24 k 2 ) α + 8 k 2 + 16 k 8 ] / B 2 .
When the discriminant of the numerator of d D n p r * / d k with respect to t is 1 less than 0, we obtain d D n p r * / d k > 0 . When 1 0 , we obtain d D n p r * / d k 0 if t min { t 5 , t 7 } ; otherwise d D n p r * / d k < 0 . Here, 1 = 12 k 4 α 3 + ( 16 k 4 + 16 k 3 4 k 2 ) α 2 + ( 32 k 3 + 8 k 2 + 8 k 3 ) α + 16 k 2 16 k + 4 , and t 7 = [ 6 k 2 α 2 ( 8 k 2 + 4 k 1 ) α + 4 k 2 ( 4 3 α ) ( 12 k 4 α 3 + ( 16 k 4 + 16 k 3 4 k 2 ) α 2 + ( 32 k 3 + 8 k 2 + 8 k 3 ) α + 16 k 2 16 k + 4 ) ] / [ 2 ( k 1 ) 2 ( 1 α ) ] which is a solution of the equation d D n p r * / d k = 0 . Similarly, the monotonicity of online platform’s profit about k is proved, where t 8 = ( 14 k 7 α k 6 α k 2 + 12 k 2 2 k ( 3 α 4 ) [ ( 52 k 2 + 60 k + 27 ) α 16 k 2 176 k + 12 ] ) / [ ( 8 k 2 + 8 k ) α + 10 k 2 11 k + 1 ] . □
Proof of Proposition 3.
We only prove the manufacturer profit comparison and the other conclusions are similar. Based on Propositions 1 and 2, we have
π m r r * π m p r * = k ( k 1 ) 2 ( 4 α 3 ) ( t t 11 ) ( t t m 2 ) / ( 4 A B ) ,
where t 11 = ( 19 α k 11 k 8 α + 6 + k ( 73 α 97 ) ( α 1 ) ) / [ ( k 1 ) ( 3 4 α ) ] and t m 2 = ( 19 α k 11 k 8 α + 6 k ( 73 α 97 ) ( α 1 ) ) / [ ( k 1 ) ( 3 4 α ) ] .
Because k ( k 1 ) 2 ( 4 α 3 ) / ( 4 A B ) < 0 and t m 2 0 , we obtain π m r r * π m p r * when t 5 t 11 . When t 5 > t 11 , we obtain π m r r * π m p r * if t t 11 , otherwise π m r r * < π m p r * . The judgment conditions for the magnitude relationship between t 5 and t 11 are given below, and the difference of t 5 and t 11
t 5 t 11 = k t s / [ ( k 1 ) ( 4 α 3 ) ( 6 k α 7 k 1 ) ] ,
where t s = ( 114 k 48 ) α 2 + ( 105 223 k ) α + 95 k 55 ( 6 k α + 7 k + 1 ) ( 73 α 97 ) ( α 1 ) and k / [ ( k 1 ) ( 4 α 3 ) ( 6 k α 7 k 1 ) ] > 0 . Because
t s 1 = [ ( 114 k 48 ) α 2 + ( 105 223 k ) α + 95 k 55 ] 2 [ ( 6 k α + 7 k + 1 ) ( 73 α 97 ) ( α 1 ) ] 2 = 4 ( 4 α 3 ) ( 3 α 4 ) ( 216 k 2 228 k + 48 ) ( α α m 1 ) ( α α 5 ) , where 4 ( 4 α 3 ) ( 3 α 4 ) ( 216 k 2 228 k + 48 ) > 0 , α 5 = [ 1345 k 2 542 k + 97 ( 3 k 1 ) 244 k + 177 k 2 + 55 ] / [ 12 ( 18 k 2 19 k + 4 ) ] , α m 1 = [ 1345 k 2 542 k + 97 ( 3 k 1 ) 244 k + 177 k 2 + 55 ] / [ 12 ( 18 k 2 19 k + 4 ) ] > 1 / 2 ,
we obtain when k > 10 97 / 89 + 123 / 89 2.4886 , t 5 t 11 ( t s 1 0 meaning that t s 0 ) if α α 5 ; otherwise, t 5 > t 11 if α < α 5 . When k 2.4886 , t 5 t 11 . To sum up, the conclusion of manufacturer profit comparison is proved.
Note: The expressions for 2 , t 9 t 11 and α 2 α 5 are as follows,
  • t 9 = ( 26 α k 14 k 10 α + 7 +
  • ( 292 k 2 168 k + 36 ) α 2 + ( 568 k 2 + 284 k 60 ) α + 292 k 2 124 k + 25 ) / [ 2 ( k 1 ) ( 3 4 α ) ] ,
  • t 10 = [ ( 48 k 2 54 k + 12 ) α 16 k 2 + 38 k 10 ] / [ ( k 1 ) ( α ( 6 12 k ) + 8 k 5 ) ] ,
  • t 11 = ( 19 α k 11 k 8 α + 6 + k ( 73 α 97 ) ( α 1 ) ) / [ ( k 1 ) ( 3 4 α ) ] ,
  • 2 = 68 k 4 t 4 + 144 k 4 t 3 432 k 4 t 2 896 k 4 t + 2304 k 4 124 k 3 t 4 184 k 3 t 3 + 816 k 3 t 2 32 k 3 t 2816 k 3 + 45 k 2 t 4 + 2 k 2 t 3 212 k 2 t 2 + 568 k 2 t + 1280 k 2 + 10 k t 4 + 30 k t 3 60 k t 2 280 k t 240 k + t 4 + 8 t 3 + 24 t 2 + 32 t + 16 ,
  • α 2 = [ 63 k 3 97 k 2 + 31 k 3 ( 3 k 1 ) 289 k 4 182 k 3 + 175 k 2 66 k + 9 ] / [ 6 k ( 4 k 1 ) ( 3 k 2 ) ] ,
  • α 3 = ( 20 k 2 43 k + 11 ) / ( 48 k 2 54 k + 12 ) ,
  • α 4 = ( 32 t 232 k 38 k 2 t 2 23 k 2 t 3 + 560 k 3 t 2 + 21 k 2 t 4 72 k 3 t 3 304 k 4 t 2 64 k 3 t 4 + 80 k 4 t 3 + 36 k 4 t 4 + 16 + 1224 k 2 2752 k 3 + 2304 k 4 + 24 t 2 + 8 t 3 + t 4 300 k t 102 k t 2 + 796 k 2 t + 7 k t 3 480 k 3 t + 6 k t 4 640 k 4 t ( 6 k t + k t 2 ) ( 8 k t 2 k t 2 ) ( 68 k 4 t 4 + 144 k 4 t 3 432 k 4 t 2 896 k 4 t + 2304 k 4 124 k 3 t 4 184 k 3 t 3 + 816 k 3 t 2 32 k 3 t 2816 k 3 + 45 k 2 t 4 + 2 k 2 t 3 212 k 2 t 2 + 568 k 2 t + 1280 k 2 + 10 k t 4 + 30 k t 3 60 k t 2 280 k t 240 k + t 4 + 8 t 3 + 24 t 2 + 32 t + 16 ) ( 1 / 2 ) ) / ( 2 k 2 ( t + 2 ) 2 ( 4 k t 4 t + 1 ) 2 ) ,
  • α 5 = [ 177 k 2 244 k + 55 ( 3 k 1 ) 1345 k 2 542 k + 97 ] / [ 12 ( 18 k 2 19 k + 4 ) ] .

References

  1. Zolfagharinia, H.; Zangiabadi, M.; Hafezi, M. How much is enough? Government subsidies in supporting green product development. Eur. J. Oper. Res. 2023, 309, 1316–1333. [Google Scholar] [CrossRef]
  2. Xu, C.; Jing, Y.; Shen, B.; Zhou, Y.; Zhao, Q. Cost-sharing contract design between manufacturer and dealership considering the customer low-carbon preferences. Expert Syst. Appl. 2023, 213, 118877. [Google Scholar] [CrossRef]
  3. Hafezi, M.; Zhao, X.; Zolfagharinia, H. Together we stand? Co-opetition for the development of green products. Eur. J. Oper. Res. 2023, 306, 1417–1438. [Google Scholar] [CrossRef]
  4. Zhou, H.; Duan, Y. Online channel structures for green products with reference greenness effect and consumer environmental awareness (CEA). Comput. Ind. Eng. 2022, 170, 108350. [Google Scholar] [CrossRef]
  5. Cui, X.; Zhou, C.; Yu, J.; Khan, A.N. Interaction between manufacturer’s recycling strategy and e-commerce platform’s extended warranty service. J. Clean. Prod. 2023, 399, 136659. [Google Scholar] [CrossRef]
  6. Qin, X.; Liu, Z.; Tian, L. The optimal combination between selling mode and logistics service strategy in an e-commerce market. Eur. J. Oper. Res. 2021, 289, 639–651. [Google Scholar] [CrossRef]
  7. Tian, L.; Vakharia, A.; Tan, Y.; Xu, Y. Marketplace, reseller, or hybrid: Strategic analysis of an emerging e-commerce model. Prod. Oper. Manag. 2018, 27, 1595–1610. [Google Scholar] [CrossRef]
  8. Zhou, C.; Li, H.; Leng, M.; Yu, J. To adopt an online recommender system? A manufacturer’s strategic choice in a dual-channel setting. Int. J. Prod. Econ. 2025, 287, 109677. [Google Scholar] [CrossRef]
  9. Zhou, C.; Li, H.; Zhang, L.; Ren, Y. Optimal recommendation strategies for AI-powered e-commerce platforms: A study of duopoly manufacturers and market competition. J. Theor. Appl. Electron. Commer. Res. 2023, 18, 1086–1106. [Google Scholar] [CrossRef]
  10. Yao, F.; Parilina, E.; Zaccour, G.; Gao, H. Accounting for consumers’ environmental concern in supply chain contracts. Eur. J. Oper. Res. 2022, 301, 987–1006. [Google Scholar] [CrossRef]
  11. Li, J.; Wang, H.; Shi, V.; Sun, Q. Manufacturer’s choice of online selling format in a dual-channel supply chain with green products. Eur. J. Oper. Res. 2024, 318, 131–142. [Google Scholar] [CrossRef]
  12. Liu, Z.; Anderson, T.; Cruz, J. Consumer environmental awareness and competition in two-stage supply chains. Eur. J. Oper. Res. 2012, 218, 602–613. [Google Scholar] [CrossRef]
  13. Sengupta, A. Competitive investment in clean technology and uninformed green consumers. J. Environ. Econ. Manag. 2015, 71, 125–141. [Google Scholar] [CrossRef]
  14. Meng, Q.; Li, M.; Liu, W.; Li, Z.; Zhang, J. Pricing policies of dual-channel green supply chain: Considering government subsidies and consumers’ dual preferences. Sustain. Prod. Consum. 2021, 26, 1021–1030. [Google Scholar] [CrossRef]
  15. Liu, Z.; Zhou, C.; Chen, H.; Zhao, R. Impact of cost uncertainty on supply chain competition under different confidence levels. Int. Trans. Oper. Res. 2021, 28, 1465–1504. [Google Scholar] [CrossRef]
  16. Ha, A.; Tong, S.; Wang, Y. Channel structures of online retail platforms. Manuf. Serv. Oper. Manag. 2022, 24, 1547–1561. [Google Scholar] [CrossRef]
  17. Hagiu, A.; Wright, J. Marketplace or reseller? Manag. Sci. 2015, 61, 184–203. [Google Scholar] [CrossRef]
  18. Liu, Z.; Zhou, C.; Liu, J.; Zhou, X. Revelation for green product operation strategy of a retailer under different reliability levels of servicing the market. Comput. Ind. Eng. 2021, 160, 107594. [Google Scholar] [CrossRef]
  19. Shen, Y.; Willems, S.; Dai, Y. Channel selection and contracting in the presence of a retail platform. Prod. Oper. Manag. 2019, 28, 1173–1185. [Google Scholar] [CrossRef]
  20. Yu, J.; Zhao, J.; Zhou, C.; Ren, Y. Strategic business mode choices for e-commerce platforms under brand competition. J. Theor. Appl. Electron. Commer. Res. 2022, 17, 1769–1790. [Google Scholar] [CrossRef]
  21. Abhishek, V.; Jerath, K.; Zhang, Z. Agency selling or reselling? Channel structures in electronic retailing. Manag. Sci. 2016, 62, 2259–2280. [Google Scholar] [CrossRef]
  22. Chen, P.; Zhao, R.; Yan, Y.; Zhou, C. Promoting end-of-season product through online channel in an uncertain market. Eur. J. Oper. Res. 2021, 295, 935–948. [Google Scholar] [CrossRef]
  23. Liu, B.; Guo, X.; Yu, Y.; Tian, L. Manufacturer’s contract choice facing competing downstream online retail platforms. Int. J. Prod. Res. 2020, 59, 101325. [Google Scholar] [CrossRef]
  24. Liu, Y.; Lu, J.; Yan, N. Agency or reselling? Supplier’s online channel strategies with platform financing. Eur. J. Oper. Res. 2024, 318, 1014–1027. [Google Scholar] [CrossRef]
  25. Hemmati, M.; Ghomi, S.M.T.F.; Sajadieh, M.S. The impact of advertising and product quality on sales mode choice in the presence of private label. Int. J. Prod. Econ. 2024, 269, 109164. [Google Scholar] [CrossRef]
  26. Hao, L.; Tan, Y. Who wants consumers to be informed? Facilitating information disclosure in a distribution channel. Inf. Syst. Res. 2018, 30, 34–49. [Google Scholar] [CrossRef]
  27. Nawaz, R.R.; Wagner, R. Disclosing transparency: A review of B2B marketing and supply chain research. Ind. Mark. Manag. 2025, 124, 73–94. [Google Scholar] [CrossRef]
  28. Liu, W.; Yan, X.; Li, X.; Wei, W. The impacts of market size and data-driven marketing on the sales mode selection in an Internet platform based supply chain. Transp. Res. Part E Logist. Transp. Rev. 2020, 136, 101914. [Google Scholar] [CrossRef]
  29. Pisoni, G.; Molnár, B.; Tarcsi, Á. Knowledge management and data analysis techniques for data-driven financial companies. J. Knowl. Econ. 2024, 15, 13374–13393. [Google Scholar] [CrossRef]
  30. Li, D.; Liu, Y.; Hu, J.; Chen, X. Private-brand introduction and investment effect on online platform-based supply chains. Transp. Res. Part E Logist. Transp. Rev. 2021, 155, 102494. [Google Scholar] [CrossRef]
  31. Yu, J.; Ren, Y.; Zhou, C. Strategic interactions in omnichannel retailing: Analyzing brand competition and optimal strategy selection. J. Theor. Appl. Electron. Commer. Res. 2024, 19, 2557–2581. [Google Scholar] [CrossRef]
  32. Sari, R.P.; Santoso, B. The influence of service quality in increasing J&T express customer satisfaction. Int. J. Account. Bus. Adm. 2025, 1, 639–651. [Google Scholar]
  33. Huo, P.; Wang, Y.; Chu, Q. Agency or reselling? multi-product sales mode selection on e-Commerce platform. J. Theor. Appl. Electron. Commer. Res. 2025, 20, 178. [Google Scholar] [CrossRef]
  34. Xu, X.; Guo, S.; Cheng, T.; Du, P. The choice between the agency and reselling modes considering green technology with the cap-and-trade scheme. Int. J. Prod. Econ. 2023, 260, 108839. [Google Scholar] [CrossRef]
  35. Gilbert, S.M.; Hotkar, P.; Liu, C. Channel Choice via On-Line Platform. Prod. Oper. Manag. 2024, 33, 1373–1392. [Google Scholar] [CrossRef]
  36. Lin, F.; Shi, Y.; Xie, J.; Wu, P.; Li, T. Effects of the green manufacturer’s distribution channel selection on green dilemma: Reselling, direct selling, or agency selling? Electron. Commer. Res. Appl. 2023, 62, 101325. [Google Scholar] [CrossRef]
  37. Ghosh, D.; Shah, J. A comparative analysis of greening policies across supply chain structures. Int. J. Prod. Econ. 2012, 135, 568–583. [Google Scholar] [CrossRef]
  38. Yenipazarli, A. Managing new and remanufactured products to mitigate environmental damage under emissions regulation. Eur. J. Oper. Res. 2016, 249, 117–130. [Google Scholar] [CrossRef]
  39. Hong, Z.; Wang, H.; Gong, Y. Green product design considering functional-product reference. Int. J. Prod. Econ. 2019, 210, 155–168. [Google Scholar] [CrossRef]
  40. Yalabik, B.; Fairchild, R.J. Customer, regulatory, and competitive pressure as drivers of environmental innovation. Int. J. Prod. Econ. 2011, 131, 519–527. [Google Scholar] [CrossRef]
Figure 1. Three-level supply chain structure. (a) Mode RR. (b) Mode PR.
Figure 1. Three-level supply chain structure. (a) Mode RR. (b) Mode PR.
Jtaer 20 00265 g001
Figure 2. Effect of GPU on demands under the mode RR.
Figure 2. Effect of GPU on demands under the mode RR.
Jtaer 20 00265 g002
Figure 3. Effect of GPU on decision variables.
Figure 3. Effect of GPU on decision variables.
Jtaer 20 00265 g003
Figure 4. Effect of GPU on profits.
Figure 4. Effect of GPU on profits.
Jtaer 20 00265 g004
Figure 5. Effect of OSEF on demands and greenness.
Figure 5. Effect of OSEF on demands and greenness.
Jtaer 20 00265 g005
Figure 6. Effect of OSEF on profits.
Figure 6. Effect of OSEF on profits.
Jtaer 20 00265 g006
Figure 7. Triple-win conditions of manufacturer and two retailers with the increase in k.
Figure 7. Triple-win conditions of manufacturer and two retailers with the increase in k.
Jtaer 20 00265 g007
Figure 8. GPU’s effect on demands and greenness.
Figure 8. GPU’s effect on demands and greenness.
Jtaer 20 00265 g008
Figure 9. GPU’s effect on profits.
Figure 9. GPU’s effect on profits.
Jtaer 20 00265 g009
Figure 10. PFR’s effect on demands and greenness.
Figure 10. PFR’s effect on demands and greenness.
Jtaer 20 00265 g010
Figure 11. PFR’s effect on profits.
Figure 11. PFR’s effect on profits.
Jtaer 20 00265 g011
Figure 12. Case of online platform’s profit decreasing with PFR.
Figure 12. Case of online platform’s profit decreasing with PFR.
Jtaer 20 00265 g012
Figure 13. Effect of OSEF on demands and greenness.
Figure 13. Effect of OSEF on demands and greenness.
Jtaer 20 00265 g013
Figure 14. Effect of OSEF on profits.
Figure 14. Effect of OSEF on profits.
Jtaer 20 00265 g014
Figure 15. Effect of OSEF on online platform’s profit.
Figure 15. Effect of OSEF on online platform’s profit.
Jtaer 20 00265 g015
Figure 16. Four-win condition of manufacturer, two retailers, and environment. (a) α = 0.1 . (b) α = 0.15 .
Figure 16. Four-win condition of manufacturer, two retailers, and environment. (a) α = 0.1 . (b) α = 0.15 .
Jtaer 20 00265 g016
Figure 17. Comparison of greenness.
Figure 17. Comparison of greenness.
Jtaer 20 00265 g017
Figure 18. Comparison of online platform’s profit.
Figure 18. Comparison of online platform’s profit.
Jtaer 20 00265 g018
Figure 19. Comparison of manufacturer’s profit.
Figure 19. Comparison of manufacturer’s profit.
Jtaer 20 00265 g019
Figure 20. Comparison of greenness, demands, and profits. Note: In the entire shaded area, D p r r * + D n r r * D p p r * + D n p r * , and π n r r * π n p r * .
Figure 20. Comparison of greenness, demands, and profits. Note: In the entire shaded area, D p r r * + D n r r * D p p r * + D n p r * , and π n r r * π n p r * .
Jtaer 20 00265 g020
Table 1. Main parameter list.
Table 1. Main parameter list.
Main parameters
FFixed investment cost of new retailer
α Proportion fee rate (PFR)
hCost coefficient of green innovation of product
kOmni-channel shopping experience factor (OSEF) of consumers from new retailer
rConsumer sensitivity to product greenness
tGreen product utility (GPU), t = r 2 / h
D p , D n Demands for online platform and new retailer
π m , π p , π n Profits of manufacturer, online platform, and new retailer
Decision variables
w p , w n Wholesale prices of manufacturer to online platform and new retailer
p p , p n Retail prices of green product sold through online platform and new retailer
θ Product greenness
Disclaimer/Publisher’s Note: The statements, opinions and data contained in all publications are solely those of the individual author(s) and contributor(s) and not of MDPI and/or the editor(s). MDPI and/or the editor(s) disclaim responsibility for any injury to people or property resulting from any ideas, methods, instructions or products referred to in the content.

Share and Cite

MDPI and ACS Style

Liu, Z.; Zhou, C. Strategic Interactions in Omni-Channel Retailing: Analyzing Manufacturer’s Green Contract Design and Mode Selection. J. Theor. Appl. Electron. Commer. Res. 2025, 20, 265. https://doi.org/10.3390/jtaer20040265

AMA Style

Liu Z, Zhou C. Strategic Interactions in Omni-Channel Retailing: Analyzing Manufacturer’s Green Contract Design and Mode Selection. Journal of Theoretical and Applied Electronic Commerce Research. 2025; 20(4):265. https://doi.org/10.3390/jtaer20040265

Chicago/Turabian Style

Liu, Zhibing, and Chi Zhou. 2025. "Strategic Interactions in Omni-Channel Retailing: Analyzing Manufacturer’s Green Contract Design and Mode Selection" Journal of Theoretical and Applied Electronic Commerce Research 20, no. 4: 265. https://doi.org/10.3390/jtaer20040265

APA Style

Liu, Z., & Zhou, C. (2025). Strategic Interactions in Omni-Channel Retailing: Analyzing Manufacturer’s Green Contract Design and Mode Selection. Journal of Theoretical and Applied Electronic Commerce Research, 20(4), 265. https://doi.org/10.3390/jtaer20040265

Article Metrics

Article metric data becomes available approximately 24 hours after publication online.
Back to TopTop