Platforms’ Cross-Border Competition and Innovation Are Driven by Data Elements: A Two-Stage Evolutionary Game Analysis
Abstract
1. Introduction
2. Literature Review
2.1. Cross-Border Competition
2.2. Cross-Border Innovation
2.3. Evolutionary Game Theory
3. Core Market: Expansion of HPs and Exit of SMPs
3.1. Model Parameters for Core Market
3.2. Replication Dynamic Analysis in the Core Market
- (i)
- For the HPs, (1) when and , both the expansion and non-expansion strategies are equilibrium points. (2) When , , and , the expansion strategy is locally stable. (3) When , , and , the non-expansion strategy is locally stable
- (ii)
- For the SMPs, (1) when and , both the exit and non-exit strategies are equilibrium points. (2) When , , and , the exit strategy is locally stable. (3) When , , and , the non-exit strategy is locally stable.
3.3. Stability Analysis in the Core Market
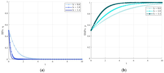
3.4. Sensitivity Analysis in the Core Market
4. Competition and Innovation Strategies Under the Cross-Border Expansion of Platforms
4.1. Model Parameters for Related Markets
4.2. Replication Dynamic Analysis in Competitive Related Markets
- (i)
- For the HPs, (1) when and , both cross-border competition and cross-border innovation strategies are equilibrium points. (2) When , , and , the cross-border competition strategy is locally stable. (3) When , , and , the cross-border innovation strategy is locally stable.
- (ii)
- For the SMPs, (1) when and , both the innovation and non-innovation strategies are equilibrium points. (2) When , , and , the non-innovation strategy is locally stable. (3) When , , and , the innovation strategy is locally stable.
- (i)
- If , then and ; the system converges to (0, 0), indicating an equilibrium of {cross-border innovation, non-innovation}.
- (ii)
- If and is small, then and ; the system converges to (1, 1), indicating an equilibrium of {cross-border competition, innovation}.
- (iii)
- If and cannot be ignored, then ; the system diverges with no definite equilibrium state.
4.3. Sensitivity Analysis in Competitive Related Markets
5. Monopoly and Innovation Strategies Under the Cross-Border Expansion of Platforms
5.1. Replication Dynamic Analysis in Monopolistic Related Markets
- (i)
- For the HPs, (1) when and , both the cross-border monopoly and the cross-border innovation strategies are equilibrium points. (2) When , , and , the cross-border innovation strategy is locally stable. (3) When , , and , the cross-border monopoly strategy is locally stable.
- (ii)
- For the SMPs, (1) when and , both the innovation and non-innovation strategies are equilibrium points. (2) When , , and , the non-innovation strategy is locally stable. (3) When , , and , the innovation strategy is locally stable.
5.2. Stability Analysis in Monopolistic Related Markets
- (i)
- If , the system converges to (0, 1), meaning {cross-border innovation, innovation}.
- (ii)
- If and , the system converges to (0, 1), meaning {cross-border innovation, innovation}. If , the system may converge to (1, 0), meaning {cross-border monopoly, non-innovation}.
- (i)
- If and , the system converges to (0, 1), meaning {cross-border innovation, innovation}. If , the system may converge to (1, 0), meaning {cross-border monopoly, non-innovation}.
- (ii)
- If , regardless of the value of the innovation cost, , the system always converges to (0, 1), meaning {cross-border innovation, innovation}.
- (1)
- When , if , then and ; if , then and .
- (2)
- When , if , then and ; if , then and .
5.3. Sensitivity Analysis in Monopolistic Related Markets
6. Conclusions
6.1. Findings
6.2. Research Contributions
6.3. Managerial Insights
6.4. Limitations and Future Research
Author Contributions
Funding
Institutional Review Board Statement
Informed Consent Statement
Data Availability Statement
Acknowledgments
Conflicts of Interest
Appendix A
References
- Nuccio, M.; Guerzoni, M. Big data: Hell or heaven? Digital platforms and market power in the data-driven economy. Comp. Change 2019, 23, 312–328. [Google Scholar] [CrossRef]
- Parker, G.G. Platform Revolution: How Networked Markets Are Transforming the Economy and How to Make Them Work for You; WW Norton & Company: New York, NY, USA, 2016. [Google Scholar]
- Evans, D.S. Matchmakers: The New Economics of Multisided Platforms; Harvard Business Review Press: Brighton, MA, USA, 2016. [Google Scholar]
- Qiu, Z.; Yin, Y.; Yuan, Y.; Chen, Y. Research on credit regulation mechanism of e-commerce platform based on evolutionary game theory. J. Syst. Sci. Syst. Eng. 2024, 33, 330–359. [Google Scholar] [CrossRef]
- Deng, Z.; Wang, Z. Early-mover advantages at cross-border business-to-business e-commerce portals. J. Bus. Res. 2016, 69, 6002–6011. [Google Scholar] [CrossRef]
- Gawer, A.; Cusumano, M.A. Industry platforms and ecosystem innovation. J. Prod. Innov. Manag. 2014, 31, 417–433. [Google Scholar] [CrossRef]
- Cutolo, D.; Kenney, M. Platform-dependent entrepreneurs: Power asymmetries, risks, and strategies in the platform economy. Acad. Manag. Perspect. 2021, 35, 584–605. [Google Scholar] [CrossRef]
- Varga, S.; Cholakova, M.; Jansen, J.J.; Mom, T.J.; Kok, G.J. From platform growth to platform scaling: The role of decision rules and network effects over time. J. Bus. Ventur. 2023, 38, 106346. [Google Scholar] [CrossRef]
- Cennamo, C. Competing in digital markets: A platform-based perspective. Acad. Manag. Perspect. 2021, 35, 265–291. [Google Scholar] [CrossRef]
- Ritala, P.; Golnam, A.; Wegmann, A. Coopetition-based business models: The case of Amazon.com. Ind. Mark. Manag. 2014, 43, 236–249. [Google Scholar] [CrossRef]
- De Cornière, A.; Taylor, G. Data-driven mergers. Manag. Sci. 2024, 70, 6473–6482. [Google Scholar] [CrossRef]
- Lee, R.S. Vertical integration and exclusivity in platform and two-sided markets. Am. Econ. Rev. 2013, 103, 2960–3000. [Google Scholar] [CrossRef]
- Zhang, X.; Gao, C.; Zhang, S. The niche evolution of cross-boundary innovation for Chinese SMEs in the context of digital transformation—Case study based on dynamic capability. Technol. Soc. 2022, 68, 101870. [Google Scholar] [CrossRef]
- Chan, C.M.; Teoh, S.Y.; Yeow, A.; Pan, G. Agility in responding to disruptive digital innovation: Case study of an SME. Inf. Syst. J. 2019, 29, 436–455. [Google Scholar] [CrossRef]
- Alghamdi, O.; Agag, G. Competitive advantage: A longitudinal analysis of the roles of data-driven innovation capabilities, marketing agility, and market turbulence. J. Retail. Consum. Serv. 2024, 76, 103547. [Google Scholar] [CrossRef]
- Carroni, E.; Madio, L.; Shekhar, S. Superstar exclusivity in two-sided markets. Manag. Sci. 2024, 70, 991–1011. [Google Scholar] [CrossRef]
- Cozzolino, A.; Corbo, L.; Aversa, P. Digital platform-based ecosystems: The evolution of collaboration and competition between incumbent producers and entrant platforms. J. Bus. Res. 2021, 126, 385–400. [Google Scholar] [CrossRef]
- Shi, R.; Aaltonen, A.; Henfridsson, O.; Gopal, R.D. Comparing Platform Owners’ Early and Late Entry into Complementary Markets. MIS Q. 2023, 47, 1727–1744. [Google Scholar] [CrossRef]
- Feng, Y.; Hu, M. Market Entry and Competition Under Network Effects. Oper. Res. 2024, 72, 2467–2487. [Google Scholar] [CrossRef]
- Rietveld, J.; Schilling, M.A. Platform competition: A systematic and interdisciplinary review of the literature. J. Manag. 2021, 47, 1528–1563. [Google Scholar] [CrossRef]
- Liu, Q.; Serfes, K. Price discrimination in two-sided markets. J. Econ. Manag. Strat. 2013, 22, 768–786. [Google Scholar] [CrossRef]
- Grover, V.; Chiang, R.H.; Liang, T.P.; Zhang, D. Creating strategic business value from big data analytics: A research framework. J. Manag. Inf. Syst. 2018, 35, 388–423. [Google Scholar] [CrossRef]
- Halberstadt, J.; Kollhoff, S.; Kraus, S.; Dhir, A. Early bird or early worm? First-mover (dis) advantages and the success of web-based social enterprises. Technol. Forecast. Soc. Change 2022, 181, 121784. [Google Scholar] [CrossRef]
- Cennamo, C.; Santalo, J. Platform competition: Strategic trade-offs in platform markets. Strateg. Manag. J. 2013, 34, 1331–1350. [Google Scholar] [CrossRef]
- Eisenmann, T.; Parker, G.; Van Alstyne, M. Platform envelopment. Strateg. Manag. J. 2011, 32, 1270–1285. [Google Scholar] [CrossRef]
- Eisenmann, T. Strategies for Two-Sided Markets; Harvard Business Review Press: Brighton, MA, USA, 2006. [Google Scholar]
- Enkel, E.; Gassmann, O. Creative imitation: Exploring the case of cross-industry innovation. R&D Manag. 2010, 40, 256–270. [Google Scholar] [CrossRef]
- Bond III, E.U.; Houston, M.B. Barriers to matching new technologies and market opportunities in established firms. J. Prod. Innov. Manag. 2003, 20, 120–135. [Google Scholar] [CrossRef]
- Chen, T.Y.; Chang, H.F. Critical success factors and architecture of innovation services models in data industry. Expert Syst. Appl. 2023, 213, 119014. [Google Scholar] [CrossRef]
- Jia, Y.; Su, J.; Cui, L.; Wu, L.; Tan, K.H. Platform business model innovation in the digitalization era: A “driver-process-result” perspective. J. Bus. Res. 2023, 160, 113818. [Google Scholar] [CrossRef]
- Wen, W.; Zhu, F. Threat of platform-owner entry and complementor responses: Evidence from the mobile app market. Strateg. Manag. J. 2019, 40, 1336–1367. [Google Scholar] [CrossRef]
- Markides, C. Disruptive innovation: In need of better theory. J. Prod. Innov. Manag. 2006, 23, 19–25. [Google Scholar] [CrossRef]
- McIntyre, D.; Srinivasan, A.; Afuah, A.; Gawer, A.; Kretschmer, T. Multisided platforms as new organizational forms. Acad. Manag. Perspect. 2021, 35, 566–583. [Google Scholar] [CrossRef]
- Gebauer, H.; Paiola, M.; Saccani, N.; Rapaccini, M. Digital servitization: Crossing the perspectives of digitization and servitization. Ind. Mark. Manag. 2021, 93, 382–388. [Google Scholar] [CrossRef]
- Aral, S.; Brynjolfsson, E.; Van Alstyne, M. Information, technology, and information worker productivity. Inf. Syst. Res. 2012, 23, 849–867. [Google Scholar] [CrossRef]
- Li, J.; Chen, L.; Yi, J.; Mao, J.; Liao, J. Ecosystem-specific advantages in international digital commerce. J. Int. Bus. Stud. 2019, 50, 1448–1463. [Google Scholar] [CrossRef]
- Siaw, C.A.; Sarpong, D. Dynamic exchange capabilities for value co-creation in ecosystems. J. Bus. Res. 2021, 134, 493–506. [Google Scholar] [CrossRef]
- Ferrigno, G.; Barabuffi, S.; Marcazzan, E.; Piccaluga, A. What “V” of the big data influence SMEs’ open innovation breadth and depth? An empirical analysis. R&D Manag. 2024. [Google Scholar] [CrossRef]
- Smith, J.M. The theory of games and the evolution of animal conflicts. J. Theor. Biol. 1974, 47, 209–221. [Google Scholar] [CrossRef]
- Taylor, P.D.; Jonker, L.B. Evolutionary stable strategies and game dynamics. Math. Biosci. 1978, 40, 145–156. [Google Scholar] [CrossRef]
- Du, J.; Li, J.; Li, J.; Li, W. Competition–cooperation mechanism of online supply chain finance based on a stochastic evolutionary game. Oper. Res. 2023, 23, 55. [Google Scholar] [CrossRef]
- Liu, W.; Long, S.; Wei, S.; Xie, D.; Wang, J.; Liu, X. Smart logistics ecological cooperation with data sharing and platform empowerment: An examination with evolutionary game model. Int. J. Prod. Res. 2022, 60, 4295–4315. [Google Scholar] [CrossRef]
- Li, F.; Qian, X.; Kong, J.; Luo, Z. Evolutionary game analysis of information sharing among closed-loop supply chain members in cloud environment. Arab. J. Sci. Eng. 2022, 47, 3945–3961. [Google Scholar] [CrossRef]
- Tao, Z.; Wang, B.; Shu, L. Analysis on the procurement cost of construction supply chain based on evolutionary game theory. Arab. J. Sci. Eng. 2021, 46, 1925–1940. [Google Scholar] [CrossRef]
- Yang, Y.; Chen, N.; Chen, H. The digital platform, enterprise digital transformation, and enterprise performance of cross-border e-commerce—From the perspective of digital transformation and data elements. J. Theor. Appl. Electron. Commer. Res. 2023, 18, 777–794. [Google Scholar] [CrossRef]
- Zhang, R.; Sun, B. A competitive dynamics perspective on evolutionary game theory, agent-based modeling, and innovation in high-tech firms. Manag. Decis. 2019, 58, 948–966. [Google Scholar] [CrossRef]
- Fuentelsaz, L.; Garrido, E.; Maicas, J.P. Incumbents, technological change and institutions: How the value of complementary resources varies across markets. Strateg. Manag. J. 2015, 36, 1778–1801. [Google Scholar] [CrossRef]







| HP | SMP | |
|---|---|---|
| Exit () | ||
| Expansion () | 0 | |
0 | ||
| Equilibrium Point | Equilibrium Result | ||
|---|---|---|---|
| (0, 0) | + | − | ESS |
| (0, 1) | + | + | Unstable point |
| (1, 0) | + | + | Unstable point |
| (1, 1) | + | − | ESS |
| ) | + | 0 | Saddle point |
| HP | SMP | |
|---|---|---|
| Innovation () | Non-Innovation () | |
| Cross-border competition () | ||
| HP | SMP | |
|---|---|---|
| Innovation () | Non-Innovation () | |
| Cross-border monopoly () | ||
Disclaimer/Publisher’s Note: The statements, opinions and data contained in all publications are solely those of the individual author(s) and contributor(s) and not of MDPI and/or the editor(s). MDPI and/or the editor(s) disclaim responsibility for any injury to people or property resulting from any ideas, methods, instructions or products referred to in the content. |
© 2025 by the authors. Licensee MDPI, Basel, Switzerland. This article is an open access article distributed under the terms and conditions of the Creative Commons Attribution (CC BY) license (https://creativecommons.org/licenses/by/4.0/).
Share and Cite
Li, M.; Yao, Z.; Kong, M. Platforms’ Cross-Border Competition and Innovation Are Driven by Data Elements: A Two-Stage Evolutionary Game Analysis. J. Theor. Appl. Electron. Commer. Res. 2025, 20, 75. https://doi.org/10.3390/jtaer20020075
Li M, Yao Z, Kong M. Platforms’ Cross-Border Competition and Innovation Are Driven by Data Elements: A Two-Stage Evolutionary Game Analysis. Journal of Theoretical and Applied Electronic Commerce Research. 2025; 20(2):75. https://doi.org/10.3390/jtaer20020075
Chicago/Turabian StyleLi, Meixuan, Zhong Yao, and Menglei Kong. 2025. "Platforms’ Cross-Border Competition and Innovation Are Driven by Data Elements: A Two-Stage Evolutionary Game Analysis" Journal of Theoretical and Applied Electronic Commerce Research 20, no. 2: 75. https://doi.org/10.3390/jtaer20020075
APA StyleLi, M., Yao, Z., & Kong, M. (2025). Platforms’ Cross-Border Competition and Innovation Are Driven by Data Elements: A Two-Stage Evolutionary Game Analysis. Journal of Theoretical and Applied Electronic Commerce Research, 20(2), 75. https://doi.org/10.3390/jtaer20020075

