Abstract
The widespread use of data in e-commerce has facilitated the implementation of different pricing strategies for platforms and merchants. However, the excessive use of algorithms for differential pricing has sparked discussions about fairness and price discrimination, disrupting the platform trading system. To address this challenge, we adopt an evolutionary game approach to analyze the evolutionary strategies of all parties from the perspective of platform CSR. It is based on a special type of e-commerce platform trading in which major merchants have data analytics capabilities. We construct an evolutionary game model considering reputation and punishment, explore the impact of different situations and factors on the system’s evolutionary stability strategy, and conduct its verification via simulation experiments. The results show that long-term reputation is the internal driving force for platforms to fulfill responsibilities. The joint punishment of collusion is the external binding force. Consumer complaints are key to restricting merchants’ integrity operation. Moreover, penalties imposed by e-commerce platforms can help eradicate price discrimination. This study provides a new perspective to solve price discrimination in the digital era. Measures based on reputation and punishment can guide platforms to fulfill other social responsibilities.
1. Introduction
In the context of the platform economy, multi-sided network interaction is increasingly focused on consumer demand and is becoming more data-driven. The process of value creation is rapidly shifting from a product- and firm-centric view to a personalized and interactive customer experience [1]. In interactive marketing, marketing strategies integrate digital technologies, powerful AI tools, and mobile devices to build meaningful interactions with customers [1,2]. In previous decades, modern recommender systems used to determine user preferences have helped e-commerce to provide customers with more personalized experiences, positively impacted sales and customer retention, and provided value to users [2,3,4,5]. However, the rapid development and application of these technologies have increased the potential risks and ethical considerations. Due to the complexity of AI and the increasing amount of transaction data, these recommender systems have often become black boxes for users [6]. Overly personalized recommendations and differential pricing raised discussions about fairness and cloud the value co-creation in the platform economy [7]. This behavior, which excessively uses consumer data for personalized pricing based on different groups, is referred to as behavior-based price discrimination (BBPD) or algorithm-based price discrimination (APB) [8,9].
Price discrimination in e-commerce platform trading is a prevalent phenomenon observed globally. Amazon differentially priced DVDs based on users’ demographics, shopping histories, and online behaviors, which pioneered behavior-based price discrimination [10]. In China, E-commerce platforms (such as Tmall and JD.COM), travel platforms (such as Ctrip and Didi), and life service platforms (such as Meituan and Eleme) have been exposed to price discrimination; some platforms even differentiated pricing according to the device used. To solve this problem, the European Union has introduced the General Data Protection Regulation (GDPR), China implemented the Data Security Law and the Personal Information Protection Law to try to curb price discrimination through legal means [11], but the effect is not satisfactory. On the Black Cat complaints platform, there were still 692 complaints about price discrimination in 2022 [10].
In academia, related literature explains why price discrimination in e-commerce platform transactions is difficult to control from the perspective of legal logic. Firstly, because the subjective tendency of merchants is difficult to determine, there is a certain difference between price discrimination and price fraud [12]. Secondly, operators can always excuse price discrimination with “justifiable reasons”. Therefore, it is hard to use the Pricing Law and Anti-Monopoly Law to restrain price discrimination [13]. This is the main reason why, even if consumers actively defend their rights against price discrimination, they still fail.
To solve this problem theoretically, existing studies have discussed the formation, evolution, and governance of price discrimination behavior from the perspective of management. They believe that price discrimination is a contest between multiple subjects about benefits and costs in e-commerce platform transactions. There is an interactive game among the pricing strategy of platform enterprises, consumer choice, and government regulation [8,14]. In the study of price discrimination governance, scholars put forward governance ideas from the aspects of legal improvement [11], government regulation [14], and technical supervision. However, few studies have discussed price discrimination from the perspective of long-term value co-creation and relationship embedding and a lack of governance measures from the aspects of social responsibility, ethical risk, and consumer interaction.
In summary, from the perspective of platform corporate social responsibility, this paper brings platform, merchants, consumers, and government into the same analytical framework. Then, we analyze the influence of consumer complaint behavior and government regulation on e-commerce platforms and merchants’ game strategies. This study will enrich the theoretical research on the cooperative behavior of market players in the platform economy and provide policy suggestions for standardizing the trading order of platforms and promoting the development of the digital economy.
2. Literature Review
2.1. Price Discrimination in E-Commerce Platform Trading
Price discrimination in e-commerce platform trading is a differentiated pricing strategy based on algorithm technology, which is made according to market supply and demand and consumer characteristics [15]. This pricing strategy, which solely emphasizes economic efficiency and a competition-oriented approach, risks fostering opportunism, ethical concerns, and a preference for defaults, ultimately contributing to a severe manifestation of the “Tragedy of the Commons” [16,17].
As for the main responsibility of price discrimination in e-commerce platform trading, most studies agreed with the viewpoint that platforms should be the first responsible person for price discrimination. Gonçalves et al. [18] believed that in the context of the digital economy, e-commerce platforms provide data to support the use of algorithms for price discrimination. Yu and Jia [19] pointed out that the use of big data algorithms by e-commerce platforms to implement “big data killing” is not only rejected by regular customers but also introduces many difficulties to the supervision of relevant government departments. Chen et al. [20] argued that a typical example of a platform’s use of digital power is algorithmic price discrimination against different consumers.
To sum up, previous studies that explored price discrimination have not specifically addressed the responsibility of merchants and platforms, which is an important issue that should not be overlooked [21]. Therefore, this study will focus on the responsibility of merchants in price discrimination, especially those who possess formidable data analysis capabilities and substantial pricing power.
2.2. Price Discrimination and Value Co-Creation
Value co-creation refers to the interactive process of multiple actors who are willing to integrate resources and cooperate for mutual benefit in a specific form to create value for these actors [22]. In the process of value co-creation, price discrimination is always a controversial issue that has attracted much attention [1]. Value co-creation underscores the importance of user participation and consumer interaction, where consumers are no longer merely passive recipients of products but actively seek to embody their personalized characteristics within them. Simultaneously, recommender systems empower e-commerce platforms to offer a heightened level of personalization to customers, thereby fostering a positive impact on both sales and customer retention [6]. However, during the process of user engagement and personalized recommendation, there is a risk that the company may track and analyze customers’ online browsing history data without obtaining their prior consent and explicit authorization [1]. This practice inevitably leads consumers to perceive their privacy as being compromised, fostering a profound sense of betrayal and mistrust [10]. Consequently, it undermines their willingness to engage further and diminishes the overall trust they place in the recommender system service [2].
In the process of platform value co-creation, facing controversial issues, Wang [1] emphasized the importance of leveraging the strengths of users. Xiao [23] agreed that value co-creation requires strong relationship embeddedness among members. At the same time, managers should design user incentive mechanisms to improve the activity and cohesion of users and platforms. Zhang et al. [24] pointed out that image enhancement can affect consumers’ attitudes towards product recommendations. Jin et al. [25] demonstrated that during the process of product recommendation, when the user’s personality aligns with that of the chatbot, there is a notable enhancement in the user’s satisfaction and a favorable attitude towards the recommended product. Zimmermann et al. [2] found a positive impact of an augmented reality shopping assistant application on customers’ perception of brick-and-mortar shopping experiences.
Therefore, an innovation of this study lies in its governance of price discrimination, which is grounded in the concept of value co-creation and formulated from the consumer/user perspective.
2.3. Price Discrimination and Platform Corporate Social Responsibility
In the research on the governance of price discrimination, scholars emphasized laws and regulations and put forward countermeasures and governance suggestions from the aspects of privacy protection, technology, and government supervision.
In recent years, the concept of corporate social responsibility (CSR) has been extended, and scholars have begun to pay attention to a platform’s CSR. They agreed that the topic of platforms CSR encompasses various issues, including but not limited to “privacy protection”, “platform monopolies”, and “customer data screening” [26]. Price discrimination and other data abuse are typical manifestations of a lack of platform CSR [27]. Han et al. [28] believed that platform self-governance is positive in reducing the negative spillover effects of the sharing economy, ensuring user safety, and increasing social welfare. He and Zhang [29] pointed out that platforms play the “gatekeeper” role of the Internet and have obvious flexible management constraints on merchants. Platforms should focus on regulating merchants’ bottom-line responsibility behaviors, building responsible rules, and encouraging them to act responsibly to consumers and society. However, Lin et al. [30] pointed out that mutualism and risk sharing among niche members are needed in terms of the governance of absence and alienation of platforms’ CSR. Since the goals and responsibilities of each subject are not invariably congruent, the pursuit of self-interest may impede platforms from fully performing their CSR [29].
To sum up, it is novel and significant to explore the governance of price discrimination from the perspective of a platform’s CSR. The different objectives and responsibilities of multiple subjects will affect the platform to perform its CSR. Designing an incentive mechanism for consumers is conducive to enhancing the vitality of the platform to fulfill its CSR.
3. Materials and Methods
3.1. Study Design
This research takes an evolutionary game approach to analyze three main reasons. Firstly, evolutionary game theory is based on the bounded rationality of decision-makers. Secondly, in the evolutionary game, the strategy of each agent is dynamically adjusted, and the individual adjusts the strategy through continuous learning and imitation to obtain the maximum profit. Finally, in the process of the game, the strategies of all parties will reach a stable state, and it is beneficial to all parties [31,32,33].
Following the normative research process of evolutionary games:
Firstly, by describing the problem of price discrimination in e-commerce platform trading, we determine the players of the game, analyze the costs and benefits under different strategies, and finally construct the game payoff matrix.
Secondly, by examining the payoff matrix, we identify the equilibrium point through the application of the replicator dynamic equation. As a dynamic differential method, replication dynamic analysis is often used to analyze the stability of evolutionary game strategies. For example, according to the Malthusian equation, the growth rate of the number of merchants who choose integrity is expressed by the difference between the expected payoff from the integrity and its average payoff.
Finally, we delve into the analysis of strategic stability across various equilibrium points. Since the equilibrium point computed by the replicator dynamic equation is not necessarily the evolutionarily stable strategy of the system. We calculate the partial derivatives of variables x and y within the replicator dynamic system, utilizing the Jacobian matrix, as suggested by Friedman. Specifically, if the local equilibrium point of the system satisfies the two conditions DetJ > 0 and TrJ < 0, it is deemed an evolutionarily stable strategy.
3.2. Problem Description and Conceptual Model
According to a previous literature review on subject responsibility in price discrimination and the positive role of consumers, this paper describes the problem of the multi-agent game relationship and builds a conceptual model.
As for price discrimination, in the game process between e-commerce platforms and merchants, their strategies are restricted by multiple rational factors and tend to be stable after continuous adjustment in the evolution process. According to the rational choice hypothesis, the utility function of boundedly rational individuals is determined by their expected revenue.
For merchants, their strategic choices include “discrimination” and “integrity”. Excess grey revenue is the main reason for merchants to adopt price discrimination, but at the same time, they also need to pay certain fees for data use and analysis to the platform. Due to the strong concealment and information asymmetry of platform trading, it is difficult for consumers to discover and protect their rights; therefore, merchants only pay relatively small risk costs while pursuing high grey revenue. However, identification of price discrimination will result in facing dual punishments from the government and the e-commerce platform, as well as damage to its reputation.
For e-commerce platforms, their strategies include “collusion” and “supervision”. When e-commerce platforms allow merchants to engage in price discrimination, which enables them to extract a certain proportion of grey profits, it also makes platforms share risks, which may lead to joint punishment by the government and a platform brand crisis. If the e-commerce platforms strictly supervise price discrimination, the scale of users will be expanded and the brand value of the platform will also be improved, thereby obtaining long-term reputational benefits. However, strict supervision also requires a lot of regulatory costs. Therefore, e-commerce platforms will make a trade-off between collusion and supervision.
To sum up, this study builds a game model for the price discrimination between e-commerce platforms and merchants. The logical relationship between game subjects is shown in Figure 1.
Figure 1.
Logic diagram of price discrimination between e-commerce platform and merchant.
3.3. Model Assumptions
Based on the dynamic game relationship analysis between the e-commerce platforms and merchants, the following assumptions were proposed for the model’s development:
Assumption 1.
E-commerce platforms and merchants are selected as the game subjects. The proportion of merchants who choose to operate with integrity is denoted as x (0 ≤ x ≤ 1), with a corresponding probability (1 − x) for choosing price discrimination.; the proportion of e-commerce platforms to strictly supervise is represented as y (0 ≤ y ≤ 1), with a corresponding probability (1 − y) for choosing collusion.
Assumption 2.
The benefit of the integrity operation of the merchant is R1. When the merchants choose price discrimination, although it can obtain a high benefit denoted as R2, they may also suffer some punishments from the government and platform, denoted as P1 and P2, respectively. At the same time, their reputation will suffer, which is denoted as L1.
Assumption 3.
When the e-commerce platforms implement strict supervision, it can bring long-term reputation benefits such as user scale growth and brand value enhancement, expressed as R3, but additional regulatory costs are needed, which is denoted as C2; in addition, strict supervision will increase the threshold of seller entry and cause the loss of merchants, expressed as C3. When the e-commerce platforms choose to collude discrimination and provide a large amount of user data for merchants, they will share part of the grey revenue, expressed as R4, and also pay a certain cost in terms of data collection, denoted as C4.
Assumption 4.
When the e-commerce platforms implement strict supervision but the merchants still choose price discrimination, the e-commerce platforms will also bear the joint punishment P3 from the government. Its reputation will also suffer losses, expressed as L2.
Assumption 5.
When the e-commerce platforms implement collusion, consumers can protect their rights through complaints, exposure, and other ways. Assuming that the probability that consumers successfully defend their rights is α, the e-commerce platforms will suffer certain losses, expressed as α(P3 + L2 − P2). The merchants’ loss is expressed as α(P1 + P2 + L1).
According to the above strategy analysis and parameter settings, the payoff matrix of the evolutionary game between merchant and e-commerce platform is constructed, as shown in Table 1.
Table 1.
Payoff matrix of e-commerce platform and merchant.
3.4. Model Analysis
In the game of price discrimination, each subject expresses bounded rationality. Due to information asymmetry and interactive effects, individuals need to continuously try and learn to improve their strategy. The dynamic adjustment process embodies the dynamic replication process in evolutionary game theory [33,34]. According to the payoff matrix, we can obtain the expected revenue of merchants and e-commerce platforms as well as the replication dynamic equation.
When the merchants choose price discrimination and integrity operation strategies, the expected revenues are U1 and U2, respectively, and the average revenue is , which is defined as follows:
When the e-commerce platforms employ strict supervision and collusion strategies, the expected revenues are V1 and V2, respectively, and the average revenue is , which is defined as follows:
According to the expected revenue and average expected revenue of merchants and e-commerce platforms, the replication dynamic equations can be determined, as shown in Equations (3) and (4).
Based on the stability theorem of differential equations, when the replication dynamic equation F(x) = 0 and F(y) = 0, the strategies of all parties remain at a stable and unchanged level, and the game equilibrium is reached. The equilibrium points can be calculated as O (0,0), A (1,0), B (0,1), C (1,1), and E (x*, y*), where x*, y* as follows:
4. Results
4.1. Stability Analysis of Evolution Strategies
Evolutionarily stable strategy (ESS) refers to the long-term equilibrium strategy of each game agent and the whole system. According to the method proposed by Friedman, the ESS can be obtained from the Jacobian matrix of the system, which can be obtained from the replication dynamic Equations (3) and (4) as follows:
where a11, a12, a21, and a22 are as follows:
Further, the determinant (Det J) and trace (Tr J) of the matrix can be obtained as follows:
If the local equilibrium point of the system satisfies the conditions DetJ > 0 and TrJ < 0, it is called an ESS. The values of the five local equilibrium points at a11, a12, a21, and a22 are shown in Table 2.
Table 2.
Values of a11, a12, a21, and a22 at the equilibrium point.
When the TrJ value of the equilibrium point E (x*, y*) is 0, this point is not an ESS. It is only necessary to analyze the stability of the other four equilibrium points. According to the equilibrium points, it can be defined as four evolution scenarios.
Scenario 1: Collude in price discrimination (0,0): When R2 − R1 > α*(P1 + P2 + L1) and R4 − C4 − α*(P3 + L2 − P2) > R3 − (C2 + C3) − (P3 + L2 − P2), a11 and a22 are both less than zero, it means that equilibrium point O (0,0) is an ESS. Specifically, if the merchant is not sensitive to the risk of reputation and punishment, the different payoff (R2 − R1) between price discrimination and integrity operation is much higher than the sum of reputation risk (αL1) and double punishments (α(P1 + P2)) caused by price discrimination. Driven by speculative psychology, the merchant will implement price discrimination. As for the e-commerce platform, if the e-commerce platform is not sensitive to the long-term reputation benefits, such as user scale and brand value, that is, after deducting the supervision cost (C2 + C3), the e-commerce platform’s long-term reputation benefit (R3) of strict supervision is much lower than the benefit (R4 − C4) of collusion and discrimination with merchants. Considering short-term benefits, although joint penalties will be imposed, the e-commerce platform will still firmly choose to collude price discrimination with merchants. The evolution strategy of the two is “discrimination, collusion”, which is defined as “collude in price discrimination” in this paper.
Scenario 2: Merchant integrity operation (1,0): When R2 − α(P1 + P2 + L1) < R1 and R4 − C4 > R3 − (C2 + C3), a11 and a22 are both less than 0, it means that equilibrium point A (1,0) is an ESS. Specifically, when the merchant is sensitive to the risk of reputation and punishment, that is, after deducting the risk of reputation and double punishments (α(L1 + P1 + P2)), the merchant’s benefit obtained from price discrimination (R2) is less than the benefit of an integrity operation (R1). Under the influence of risk aversion, merchants will reduce price discrimination and operate with integrity. When the e-commerce platform has a large user scale and has formed a certain monopoly in the market, it believes that the long-term reputation benefits are lower than the net benefit colluded with the merchant (R4 − C4). Considering the vested benefit, the e-commerce platform will choose collusion and provide merchants with a large amount of user data. The evolution strategy of the two is “integrity, collusion”, which is defined as “merchant integrity operation” in this paper.
Scenario 3: E-commerce platform supervision (0,1): When R2 − R1 > P1 + P2 + L1 and R4 − C4 − α*(P3 + L2 − P2) < R3 − (C2 + C3) − (P3 + L2 − P2), a11 and a22 are both less than 0, it means equilibrium point B (0,1) is an ESS. Specifically, when the e-commerce platform is in the rapid growth stage of expanding its user scale, it is highly sensitive to its reputation. The long-term reputational net benefit of strict supervision (R3 − C2 − C3) will be higher than the grey revenue obtained in the case of collusion (R4 − C4). At this point, the e-commerce platform will refuse to collude and strictly supervise price discrimination. As for the merchant, under the strict supervision of the e-commerce platform, if the merchant is not sensitive to the punishments and reputation loss, that is, after deducting punishments (P1 + P2 + L1), the merchant’s profit of price discrimination (R2) is still higher than the profit of integrity operation (R1). The merchant will ignore punishments and firmly choose price discrimination. The evolution strategy of the two is “discrimination, supervision”, which is defined as “e-commerce platform supervision” in this paper.
Scenario 4: Cooperative governance (1,1): When R2 − R1 < P1 + P2 + L1 and R4 − C4 < R3 − (C2 + C3), a11 and a22 are both less than 0, it means equilibrium point C (0,1) is an ESS. Specifically, if the merchant and e-commerce platform have a strong sense of social responsibility, they will be sensitive to reputation and punishment. As for merchants, according to the cost–benefit principle, they will refuse to discriminate on price. And for the e-commerce platform, considering their long-term reputation, they will choose strict supervision. The evolution strategy of the two is “Integrity, Supervision”, which is defined as “cooperative governance” in this paper.
4.2. Evolutionary Simulation Analysis
To assess the reliability of the above results and more clearly illustrate the influence of key factors in the dynamic system, according to Zu et al.’s [35] research on reward and punishment mechanism, Xiao’s [14] and Li et al.’s [8] parameter setting of price discrimination, Li et al.’s [36] parameter setting of consumer co-governance, and Qiu et al.’s [37] research on the credit regulation mechanism of e-commerce platform, this paper assigns values to fixed parameters such as benefits and costs so that R1 = 50, R2 = 100, R4 = 20, C2 = 10, C3 =10, and C4 = 5. Since this paper focuses on the impact of reputation and punishment on price discrimination, we take reputation gain, loss, and punishments as variable parameters for analysis. The numerical simulation was carried out using MATLAB2019a.
4.2.1. Low Reputational Losses and Punishments for Both Players
Firstly, as for benefits and losses in terms of reputation. The merchant believes that the reputational loss caused by price discrimination is lower than the grey revenue, so let L1 = 10. The e-commerce platform believes that long-term reputational benefits, such as user scale and brand value obtained from strict supervision, are abstract and difficult to realize, so let R3 = 30. The e-commerce platform is often considered to be the main agent responsible for price discrimination, so its reputational loss is relatively large, let L2 = 20.
Secondly, for punishments, since the government’s main punishment for merchants and joint punishment for e-commerce platforms are relatively low, let P1 = 20 and P3 = 20.
In addition, the e-commerce platform will penalize merchants for engaging in price discrimination, which can also offset part of the punishment incurred, so let P2 = 30.
To observe the impact of consumer complaints on the strategy evolution of both parties, let α = 0.3, α = 0.8, and α = 0.9, respectively, as shown in Figure 2.
Figure 2.
Evolution of the strategies of both players when the reputational losses and punishments are low: (a) probability of consumer complaint α = 0.3; (b) probability of consumer complaint α = 0.8; and (c) probability of consumer complaint α = 0.9.
As shown in Figure 2a,b, in the evolution of price discrimination, when the reputational losses and penalties for both players are low, the parameters meet the constraints of “discrimination, collusion”. The system may enter a high-incidence period of price discrimination.
Comparing Figure 2a,b, it can be found that the probability of consumer complaints has an impact on the rate of strategy evolution. When the probability of consumer complaints is relatively low (α = 0.3), the strategy probability of the e-commerce platform tends to 0 monotonically, while the merchant tends to 0 after a short rise. When the probability of consumer complaints increases to α = 0.8, the strategy evolution of the e-commerce platform remains unchanged compared with before, while merchants rise for a long time and then decline, finally reaching 0.
When α reaches 0.9, as shown in Figure 2c, the merchant’s strategy probability consistently approaches 1, while the e-commerce platform’s strategy evolution remains unchanged. It means that even if reputational loss and punishment are low, the high complaint probability of consumers will increase its risk and promote its integrity operation; however, this condition does not affect the strategy evolution of the e-commerce platform.
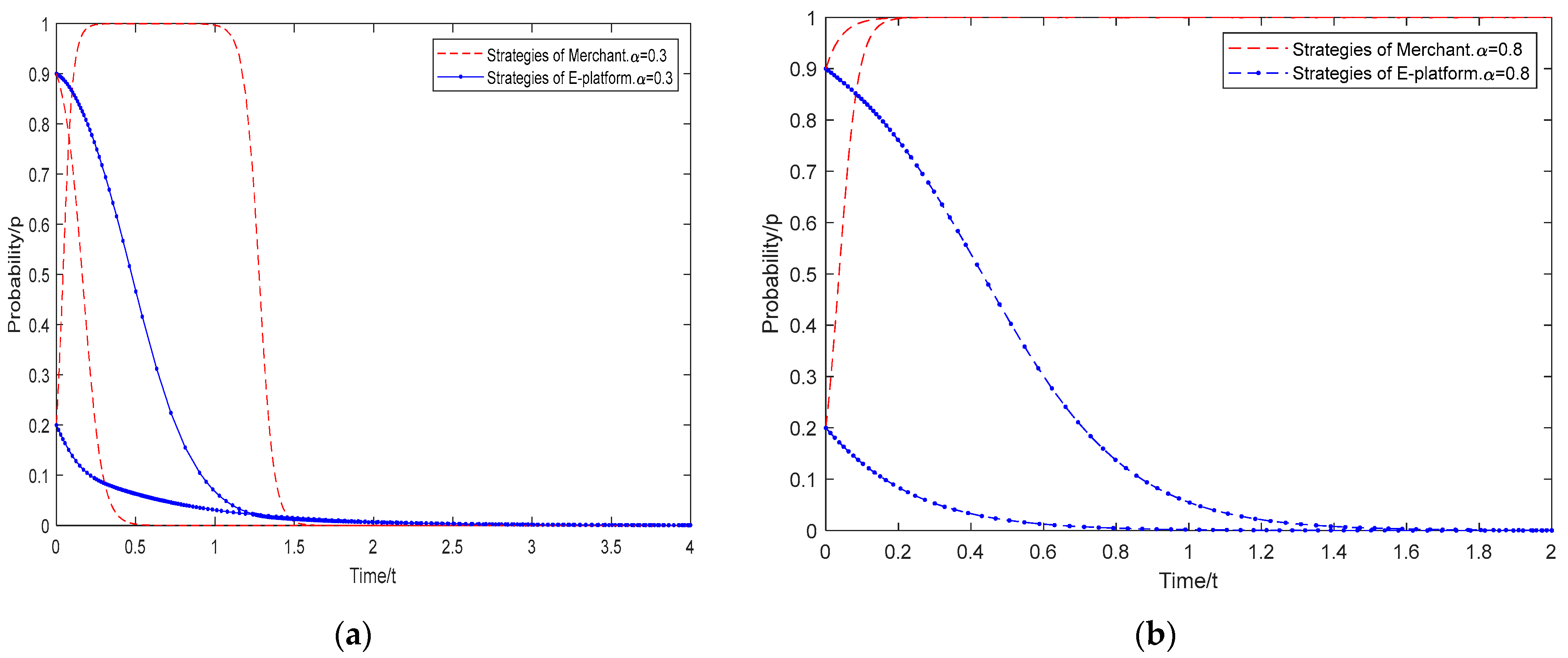
4.2.2. High Reputational Losses and Punishments for Merchants
The merchant believes that product and brand image are their most important intangible assets, and price discrimination will cause significant damage to their reputation, so let L1 = 15. At the same time, the dual punishments from the government and the e-commerce platform will further increase the operating costs of merchants, so let P1 = 30 and P2 = 45. As for the e-commerce platform, the relevant parameters of reputation loss and punishment remain unchanged. To observe the impact of consumer complaints on the strategy evolution of both parties, let α = 0.3 and α = 0.8, respectively, as shown in Figure 3.
Figure 3.
Evolution of the strategies of high reputational losses and punishments for merchant: (a) probability of consumer complaint α = 0.3; (b) probability of consumer complaint α = 0.8.
As shown in Figure 3a,b, the e-commerce platform’s reputational loss and punishment remain unchanged, so its evolutionary strategy still tends to collude. As for merchants, although their reputational loss and punishment are high, the evolution strategy is also related to consumer complaints. Specifically, when the probability of consumer complaints is low (α = 0.3), the merchant’s evolutionary strategy tends towards integrity operation (p→1); as time goes on, it eventually tends to price discrimination (p→0). When the probability of consumer complaints is high (α = 0.8), the evolutionary strategy of the merchant tends towards integrity operation (p→1). This means that consumer complaints are key to the extinction of price discrimination.
4.2.3. High Reputational Losses and Punishments for E-Commerce Platform
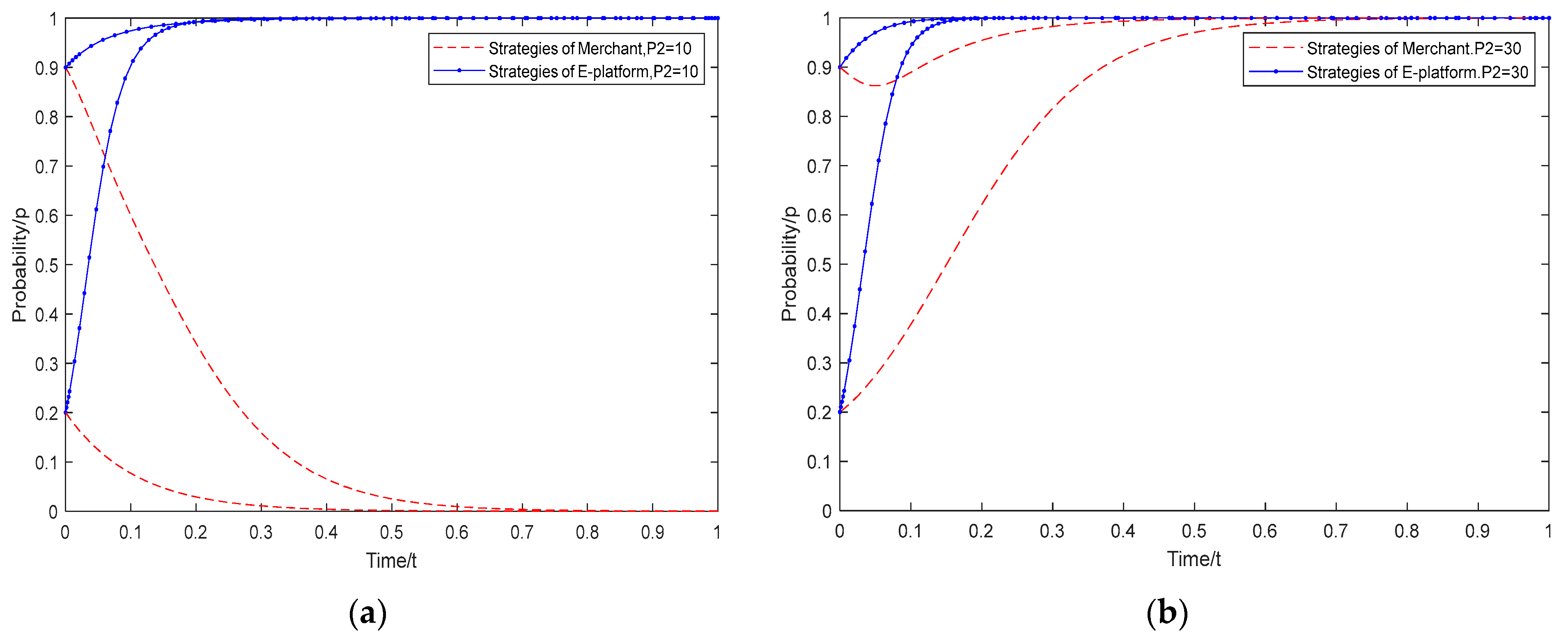
The e-commerce platform believes that it is in a stage of rapid development and expansion. It pays attention to expanding user scale and maintaining brand image and is sensitive to reputational risk and punishments, so let R3 = 80, L2 = 40, and P3 = 40. At the same time, the e-commerce platform will adjust the punishment intensity of the price discrimination of the merchant. Therefore, to observe the impact of the punishment of the e-commerce platform on the strategy evolution of both parties, let P2 = 10 and P2 = 30, respectively, as shown in Figure 4. According to the above research, the probability of consumer complaints will not have an impact on the evolution strategies of e-commerce platforms, so let α = 0.5.
Figure 4.
Evolution of the strategies of high reputational losses and punishments for e-commerce platforms: (a) the degree of punishment imposed by e-commerce platform on merchant P2 = 10; (b) the degree of punishment imposed by e-commerce platform on merchant P2 = 30.
As shown in Figure 4a,b, when the e-commerce platform highlights long-term reputational benefits such as user scale and brand value and pays attention to government punishment, its evolution strategy tends toward strict supervision. It also means that long-term reputation benefits and joint punishment together constitute the internal and external binding force of e-commerce platforms’ strict supervision. As for the merchant, its evolution strategy is also related to the degree of punishment imposed by the platform. When the punishment of e-commerce platforms on merchants is relatively low (P2 = 10), the evolution of merchants’ strategies tends toward price discrimination (p→0), while when the punishment is high (P2 = 30), the evolution of merchants’ strategies tends towards integrity operation (p→1). It also means that the double punishments of the government and e-commerce platform will be conducive to the integrity operation of merchants.
4.2.4. High Reputational Losses and Punishments for Both Players
When the merchant and e-commerce platform have a strong sense of social responsibility and are sensitive to reputation and punishment, let the relevant parameters of the merchant be L1 = 15, P1 = 30, and P2 = 45. At the same time, let the relevant parameters of the e-commerce platform be R3 = 80, P3 = 40, and L2 = 40. The strategy evolution of both parties is shown in Figure 5.
Figure 5.
The evolution of the strategies of both players when the reputational losses and punishments are high.
As shown in Figure 5, in the evolution process of discrimination, when the merchant and e-commerce platform both pay attention to their reputation and are sensitive to the loss of reputation and punishment, their evolutionary strategies will eventually move towards “Integrity, Supervision”. The price discrimination behavior has finally subsided.
5. Discussion
5.1. Theoretical Contributions
Price discrimination has a destructive impact on social competition, consumer trust, and platform transaction orders. It is an ethical risk that must be faced in the development and application of technology, and also a controversial issue in interactive marketing and personalized recommendation. This research has three main theoretical contributions.
The first theoretical contribution lies in its consideration of the different types of price discrimination within e-commerce platform trading. To our knowledge, few studies have considered the differences in transaction types, which lie in merchants’ data analysis capabilities and pricing power over products. It also determines who is primarily responsible for price discrimination. Unlike previous studies on price discrimination, which mainly focus on punishing and restraining platforms [10,20], this paper examines the responsibilities merchants should bear in price discrimination, thereby broadening the research boundaries of price discrimination.
Next, we extend the literature on the governance of price discrimination from a novel perspective: platform corporate social responsibility. Different from previous studies that focused on the “hard” measures, such as improving laws [11,38] and strengthening government supervision [8], this paper is based on the perspective of platform CSR and explores the “soft” measures of governance. Specifically, we fill this gap by introducing the mechanism of reputation and punishment and explain how to promote e-commerce platforms to fulfill social responsibility. This finding is also helpful in analyzing and coping with other problems that lack platform corporate social responsibility.
Finally, we explore the positive role of consumers or users in the governance of price discrimination. Specifically, in the process of an evolutionary game, this paper discusses the restraint effect of consumer complaints on the platform to fulfill CSR and the merchant to operate with integrity. This conclusion provides specific guidance for exerting the role of multiple agents to restrain price discrimination. At the same time, this discovery is also conducive to enriching the theoretical content of value co-creation and interactive influence.
5.2. Practical Implications
This study provides some practical implications for price discrimination in e-commerce platform governance.
Foremost, for e-commerce platforms, long-term reputation, such as user scale and brand image, is the key factor that affects the fulfillment of social responsibility by e-commerce platforms. Official media can be used to guide public opinion, form an atmosphere of appreciation for platforms’ CSR behavior, and make platforms realize that the reputational benefits of actively performing responsibilities are far higher than the short-term financial benefits of colluding in discrimination. Furthermore, e-commerce platforms should make use of their Internet advantages to publicize their CSR deeds through news media, social media, and video platforms to rebuild user trust, improve brand reputation, and expand user scale.
More importantly, when the potential excess grey income exceeds a certain threshold, merchants and e-commerce platforms will adopt the strategy of “discrimination-collusion” for short-term gains, thereby ignoring long-term gains such as user scale and brand reputation. Therefore, the government needs to quantify the losses caused by the short-sighted behavior of the platforms and to make the platforms aware of their social responsibilities
In addition, for merchants, consumer complaints can effectively reduce price discrimination. Thus, the government should improve the mechanism for consumers to complain about price discrimination. E-commerce platforms should optimize the management of complaint and feedback functions through prominent signs, simple complaint processes, and real and reliable manual services to solve consumer complaints.
5.3. Limitations and Future Research
Our research has several limitations, which can be improved in the future. First, this paper discusses a special type of price discrimination in e-commerce platform trading in which some major merchants have both data analysis ability and product pricing power. But for the other types of e-commerce platform trading, such as JD.COM’s self-operating mode and Pinduoduo’s group purchase mode, the game strategy of this paper is no longer applicable. Therefore, we will continue to explore price discrimination in different types of platforms in the future.
Furthermore, we will improve the evolutionary game model from two aspects in the future. On the one hand, we plan to add media to the original model and explore the influence of related factors on the evolution strategy. On the other hand, in addition to reputational and punishment mechanisms, we will explore the impact of other mechanisms on the game strategies of each agent.
Lastly, in recent years, the mortality salience of COVID-19 has attracted a lot of attention from different studies, but they have different views on the mortality salience effect. This indicates that the effect of mortality salience is also influenced by other factors, such as policy, culture, and region. Therefore, the influence of other factors on the effect of mortality salience can be explored in future studies.
6. Conclusions
This research adopted an evolutionary game approach to analyze the strategic behaviors and decision-making processes of e-commerce platforms and merchants in price discrimination from the perspective of platform corporate social responsibility. Through constructing an evolutionary game model considering reputation and punishment, we analyze the optimal equilibrium decision-making of the e-commerce platform and merchant under the four scenarios and examine the impacts of several key parameters (e.g., reputation loss, reputation benefits, punishment, and the probability of consumer complaints) on equilibrium outcomes.
Our results demonstrate that compared with punishment, e-commerce platforms pay more attention to the benefits of responsibilities. Long-term reputational benefits are an inherent motivation for the strict supervision of platforms. This is especially true for e-commerce platforms in the rapid growth stage, as they are not willing to collude in price discrimination at the cost of user loss.
In addition, it is found that consumer complaints are the key to restraining merchants operating in good faith. When the probability of consumer complaints is high, it will increase the risk cost caused by price discrimination, thus prompting merchants to operate with integrity.
Moreover, we demonstrate increasing the punishment of e-commerce platforms to merchants for price discrimination has a dual effect. It can not only enable the e-commerce platform to perform regulatory responsibility driven by regulatory revenue but also restrain merchant behavior under potential threats, ultimately reducing the problem of price discrimination in society.
Author Contributions
Conceptualization, Y.M. and X.G.; methodology, W.S.; software, W.S.; validation, X.G.; formal analysis, X.G.; model construction, W.S.; resources, X.G. and G.F.; data curation, X.G.; writing—original draft preparation, X.G.; writing—review and editing, X.G. and G.F.; supervision, W.S. and G.F.; project administration, Y.M. All authors have read and agreed to the published version of the manuscript.
Funding
This research was funded by The Ministry of Education of Humanities and Social Science project, grant number 23YJAZH098.
Institutional Review Board Statement
Not applicable.
Informed Consent Statement
Not applicable.
Data Availability Statement
The data that support the findings of this study are available from the corresponding author upon reasonable request.
Conflicts of Interest
The authors declare no conflicts of interest.
References
- Wang, C.L. Editorial—What is an interactive marketing perspective and what are emerging research areas? J. Res. Interact. Mark. 2024, 18, 161–165. [Google Scholar] [CrossRef]
- Zimmermann, R.; Mora, D.; Cirqueira, D.; Helfert, M.; Bezbradica, M.; Werth, D.; Weitzl, W.J.; Riedl, R.; Auinger, A. Enhancing brick-and-mortar store shopping experience with an augmented reality shopping assistant application using personalized recommendations and explainable artificial intelligence. J. Res. Interact. Mark. 2023, 17, 273–298. [Google Scholar] [CrossRef]
- Kim, J.; He, N.; Miles, I. Live Commerce Platforms: A New Paradigm for E-Commerce Platform Economy. J. Theor. Appl. Electron. Commer. Res. 2023, 18, 959–975. [Google Scholar] [CrossRef]
- Cao, G.; Tian, N.; Blankson, C. Big Data, Marketing Analytics, and Firm Marketing Capabilities. J. Comput. Inf. Syst. 2022, 62, 442–451. [Google Scholar] [CrossRef]
- Li, R.; Rao, J.; Wan, L.Y. The digital economy, enterprise digital transformation, and enterprise innovation. Manag. Decis. Econ. 2022, 43, 2875–2886. [Google Scholar] [CrossRef]
- Lee, J.J.; Ma, Z. How do consumers choose offline shops on online platforms? An investigation of interactive consumer decision processing in diagnosis-and-cure markets. J. Res. Interact. Mark. 2022, 16, 277–291. [Google Scholar] [CrossRef]
- Moriarty, J. Why online personalized pricing is unfair. Ethics Inf. Technol. 2021, 23, 495–503. [Google Scholar] [CrossRef]
- Li, J.; Xu, X.; Yang, Y. Research on the Regulation of Algorithmic Price Discrimination Behaviour of E-Commerce Platform Based on Tripartite Evolutionary Game. Sustainability 2023, 15, 8294. [Google Scholar] [CrossRef]
- Shrivastav, S. Profitability of behavior-based price discrimination. Mark. Lett. 2023, 34, 535–547. [Google Scholar] [CrossRef]
- Wu, Z.; Yang, Y.; Zhao, J.; Wu, Y. The Impact of Algorithmic Price Discrimination on Consumers’ Perceived Betrayal. Front. Psychol. 2022, 13, 825420. [Google Scholar]
- Steppe, R. Online price discrimination and personal data: A General Data Protection Regulation perspective. Comput. Law Secur. Rev. 2017, 33, 768–785. [Google Scholar] [CrossRef]
- Zwolinski, M. Dialogue on Price Gouging: Price Gouging, Non-Worseness, and Distributive Justice. Bus. Ethics Q. 2009, 19, 295–306. [Google Scholar] [CrossRef]
- Wu, L. Research on Anti-Monopoly Regulations Against Algorithmic Price Discrimination. J. Educ. Humanit. Soc. Sci. 2023, 14, 157–165. [Google Scholar] [CrossRef]
- Xiao, M. Supervision Strategy Analysis on Price Discrimination of E-Commerce Company in the Context of Big Data Based on Four-Party Evolutionary Game. Comput. Intell. Neurosci. 2022, 2022, 2900286. [Google Scholar] [CrossRef] [PubMed]
- Choi, S.; Song, M.; Jing, L. Let your algorithm shine: The impact of algorithmic cues on consumer perceptions of price discrimination. Tour. Manag. 2023, 99, 104792. [Google Scholar] [CrossRef]
- Xiao, M.; Gu, Q.; He, X. Selection of Sales Mode for E-Commerce Platform Considering Corporate Social Responsibility. Systems 2023, 11, 543. [Google Scholar] [CrossRef]
- Liu, W.; Wang, C.; Ding, L.; Wang, C. Research on the Influence Mechanism of Platform Corporate Social Responsibility on Customer Extra-Role Behavior. Discret. Dyn. Nat. Soc. 2021, 2021, 1895598. [Google Scholar] [CrossRef]
- Gonçalves, M.J.A.; Pereira, R.H.; Coelho, M.A.G.M. User Reputation on E-Commerce: Blockchain-Based Approaches. J. Cybersecur. Priv. 2022, 2, 907–923. [Google Scholar] [CrossRef]
- Yu, J.; Jia, W. Research on Price Discrimination Behavior Governance of E-Commerce Platforms—A Bayesian Game Model Based on the Right to Data Portability. Axioms 2023, 12, 919. [Google Scholar] [CrossRef]
- Chen, Q.; Wang, Y.; Gong, Y.; Liu, S. Ripping off regular consumers? The antecedents and consequences of consumers’ perceptions of e-commerce platforms’ digital power abuse. J. Bus. Res. 2023, 166, 114123. [Google Scholar] [CrossRef]
- Wang, C.L. Editorial—The misassumptions about contributions. J. Res. Interact. Mark. 2022, 16, 1–2. [Google Scholar] [CrossRef]
- Chandna, V.; Salimath, M.S. Co-creation of value in Platform-Dependent Entrepreneurial Ventures. Electron. Commer. Res. 2022, 11, 1–30. [Google Scholar] [CrossRef]
- Xiao, L.; Wang, J.; Wei, X. Effects of relational embeddedness on users’ intention to participate in value co-creation of social e-commerce platforms. J. Res. Interact. Mark. 2024, 18, 410–429. [Google Scholar] [CrossRef]
- Zhang, Y.; Shao, Z.; Zhang, J.; Wu, B.; Zhou, L. The effect of image enhancement on influencer’s product recommendation effectiveness: The roles of perceived influencer authenticity and post type. J. Res. Interact. Mark. 2024, 18, 166–181. [Google Scholar] [CrossRef]
- Jin, E.; Eastin, M.S. Birds of a feather flock together: Matched personality effects of product recommendation chatbots and users. J. Res. Interact. Mark. 2023, 17, 416–433. [Google Scholar] [CrossRef]
- Wang, M.; Yuan, R.; Guan, X.; Wang, Z.; Zeng, Y.; Liu, T. The influence of digital platform on the implementation of corporate social responsibility: From the perspective of environmental science development to explore its potential role in public health. Front. Public Health 2024, 12, 1343546. [Google Scholar] [CrossRef]
- Lyu, T.; Shen, Q. A fuzzy-set qualitative comparative analysis (fsQCA) study on the formation mechanism of Internet platform companies’ social responsibility risks. Electron. Mark. 2024, 34, 5. [Google Scholar] [CrossRef]
- Han, W.; Wang, X.; Ahsen, M.E.; Wattal, S. The Societal Impact of Sharing Economy Platform Self-Regulations—An Empirical Investigation. Inf. Syst. Res. 2022, 33, 1303–1323. [Google Scholar] [CrossRef]
- He, H.; Zhang, B. Strategy Analysis of Multi-Agent Governance on the E-Commerce Platform. J. Theor. Appl. Electron. Commer. Res. 2023, 18, 1–18. [Google Scholar] [CrossRef]
- Lin, W.; Wang, Y.; Samara, G.; Lu, J. Governance of corporate social responsibility: A platform ecosystem perspective. Manag. Decis. 2024; ahead-of-print. [Google Scholar] [CrossRef]
- Yu, Z.; Tianshan, M.; Rehman, S.A.; Sharif, A.; Janjua, L. Evolutionary game of end-of-life vehicle recycling groups under government regulation. Clean Technol. Environ. Policy 2023, 25, 1473–1484. [Google Scholar] [CrossRef]
- Nałęcz-Jawecki, P.; Miękisz, J. Mean-Potential Law in Evolutionary Games. Phys. Rev. Lett. 2018, 120, 028101. [Google Scholar] [CrossRef] [PubMed]
- Vrankić, I.; Herceg, T.; Pejić Bach, M. Dynamics and stability of evolutionary optimal strategies in duopoly. Cent. Eur. J. Oper. Res. 2021, 29, 1001–1019. [Google Scholar] [CrossRef]
- Tuyls, K.; Nowé, A. Evolutionary game theory and multi-agent reinforcement learning. Knowl. Eng. Rev. 2005, 20, 63–90. [Google Scholar] [CrossRef]
- Zu, J.; Xu, F.; Jin, T.; Xiang, W. Reward and Punishment Mechanism with weighting enhances cooperation in evolutionary games. Phys. A Stat. Mech. Appl. 2022, 607, 128165. [Google Scholar] [CrossRef]
- Li, C.; Li, H.; Tao, C. Evolutionary game of platform enterprises, government and consumers in the context of digital economy. J. Bus. Res. 2023, 167, 113858. [Google Scholar] [CrossRef]
- Qiu, Z.; Yin, Y.; Yuan, Y.; Chen, Y. Research on Credit Regulation Mechanism of E-commerce Platform Based on Evolutionary Game Theory. J. Syst. Sci. Syst. Eng. 2024, 33, 330–359. [Google Scholar] [CrossRef]
- Zuiderveen Borgesius, F.; Poort, J. Online Price Discrimination and EU Data Privacy Law. J. Consum. Policy 2017, 40, 347–366. [Google Scholar] [CrossRef]
Disclaimer/Publisher’s Note: The statements, opinions and data contained in all publications are solely those of the individual author(s) and contributor(s) and not of MDPI and/or the editor(s). MDPI and/or the editor(s) disclaim responsibility for any injury to people or property resulting from any ideas, methods, instructions or products referred to in the content. |
© 2024 by the authors. Licensee MDPI, Basel, Switzerland. This article is an open access article distributed under the terms and conditions of the Creative Commons Attribution (CC BY) license (https://creativecommons.org/licenses/by/4.0/).




