Sign in to use this feature.

Years

Between: -

Subjects

remove_circle_outline
remove_circle_outline
remove_circle_outline
remove_circle_outline

Journals

Article Types

Countries / Regions

Search Results (6)

Search Parameters:
Keywords = xanthoxylin

Order results
Result details
Results per page
Select all
Export citation of selected articles as:
14 pages, 16273 KB  
Article
Xanthoxylin Attenuates Lipopolysaccharide-Induced Lung Injury through Modulation of Akt/HIF-1α/NF-κB and Nrf2 Pathways
by Fu-Chao Liu, Yuan-Han Yang, Chia-Chih Liao and Hung-Chen Lee
Int. J. Mol. Sci. 2024, 25(16), 8742; https://doi.org/10.3390/ijms25168742 - 10 Aug 2024
Cited by 10 | Viewed by 2625
Abstract
Xanthoxylin, a bioactive phenolic compound extracted from the traditional herbal medicine Penthorum Chinense Pursh, is renowned for its anti-inflammatory effects. While previous studies have highlighted the anti-inflammatory and antioxidant properties of Xanthoxylin, its precise mechanisms, particularly concerning immune response and organ protection, [...] Read more.
Xanthoxylin, a bioactive phenolic compound extracted from the traditional herbal medicine Penthorum Chinense Pursh, is renowned for its anti-inflammatory effects. While previous studies have highlighted the anti-inflammatory and antioxidant properties of Xanthoxylin, its precise mechanisms, particularly concerning immune response and organ protection, remain underexplored. This study aimed to elucidate the effects of Xanthoxylin on inflammation and associated signaling pathways in a mouse model of lipopolysaccharide (LPS)-induced acute lung injury (ALI). ALI was induced via intratracheal administration of LPS, followed by intraperitoneal injections of Xanthoxylin at doses of 1, 2.5, 5, and 10 mg/kg, administered 30 min post-LPS exposure. Lung tissues were harvested for analysis 6 h after LPS challenge. Xanthoxylin treatment significantly mitigated lung tissue damage, pathological alterations, immune cell infiltration, and the production of pro-inflammatory cytokines, including tumor necrosis factor-alpha (TNF-α) and interleukin-6 (IL-6). Additionally, Xanthoxylin modulated the expression of key proteins in the protein kinase B (Akt)/hypoxia-inducible factor 1-alpha (HIF-1α)/nuclear factor-kappa B (NF-κB) signaling pathway, as well as nuclear factor erythroid 2-related factor 2 (Nrf2) and oxidative markers such as superoxide dismutase (SOD) and malondialdehyde (MDA) in the context of LPS-induced injury. This study demonstrates that Xanthoxylin exerts protective and anti-inflammatory effects by down-regulating and inhibiting the Akt/HIF-1α/NF-κB pathways, suggesting its potential as a therapeutic target for the prevention and treatment of ALI or acute respiratory distress syndrome (ARDS). Full article
(This article belongs to the Special Issue New Insights in Natural Bioactive Compounds: 3rd Edition)
Show Figures

Figure 1

20 pages, 676 KB  
Article
Characterization of Triadica sebifera (L.) Small Extracts, Antifeedant Activities of Extracts, Fractions, Seed Oil and Isolated Compounds against Plutella xylostella (L.) and Their Effect on Detoxification Enzymes
by Shudh Kirti Dolma and S. G. Eswara Reddy
Molecules 2022, 27(19), 6239; https://doi.org/10.3390/molecules27196239 - 22 Sep 2022
Cited by 9 | Viewed by 2799
Abstract
Plutella xylostella L. is one of the world’s major pests of cruciferous crops. The indiscriminate use of synthetic insecticides has led to insecticide resistance and resurgence, and has been harmful to non-target organisms and the environment. Botanical insecticides are the best alternatives to [...] Read more.
Plutella xylostella L. is one of the world’s major pests of cruciferous crops. The indiscriminate use of synthetic insecticides has led to insecticide resistance and resurgence, and has been harmful to non-target organisms and the environment. Botanical insecticides are the best alternatives to synthetic pesticides for the management of pests in organic agriculture and integrated management. T. sebifera is an invasive species and has good potential as an insecticide due to the availability of plant material in some parts of India. The antifeedant activities of T. sebifera have not been reported against P. xylostella and other lepidopteron insects to date. Therefore, the current study targeted the characterization of leaf and bark extracts, feeding deterrence, synergistic and detoxification enzyme activities of leaf/bark ethanolic extracts/fractions, seed oil, and isolated compounds. UHPLC-QTOF-IMS analysis showed that shikimic acid, xanthoxylin, quercetin, kaempferol, methyl gallate, and stigmasterol are common metabolites identified in leaf and bark extracts. The combination of seed oil with bark extract showed higher deterrence (DC50 = 317.10 mg/L) as compared to leaf/bark extracts alone. Gallic acid showed higher deterrence (67.48%) than kaempferol and quercetin. The n-butanol fraction of bark was more repellent (RC50 = 414.61 mg/L). Based on DC50, the seed oil with leaf extract (1:1 ratio) alone with choice and seed oil with leaf and bark extract without choice showed synergistic interaction, but seed oil with bark extract with choice showed additive interaction. The ethanol extract of leaf, bark, and seed oil inhibited GST and AChE in P. xylostella. The leaf extract and seed oil or their combinations may be recommended as antifeedants to reduce damage by P. xylostella based on persistence, antifeedant, phytotoxicity, safety to predators/parasitoids, etc., under field conditions. Full article
(This article belongs to the Special Issue Characterization, Properties and Applications of Natural Products)
Show Figures

Graphical abstract

17 pages, 1901 KB  
Article
Neutrophil Immunomodulatory Activity of Farnesene, a Component of Artemisia dracunculus Essential Oils
by Igor A. Schepetkin, Gulmira Özek, Temel Özek, Liliya N. Kirpotina, Andrei I. Khlebnikov, Robyn A. Klein and Mark T. Quinn
Pharmaceuticals 2022, 15(5), 642; https://doi.org/10.3390/ph15050642 - 23 May 2022
Cited by 24 | Viewed by 4949
Abstract
Despite their reported therapeutic properties, not much is known about the immunomodulatory activity of essential oils present in Artemisia species. We isolated essential oils from the flowers and leaves of five Artemisia species: A. tridentata, A. ludoviciana, A. dracunculus, A. [...] Read more.
Despite their reported therapeutic properties, not much is known about the immunomodulatory activity of essential oils present in Artemisia species. We isolated essential oils from the flowers and leaves of five Artemisia species: A. tridentata, A. ludoviciana, A. dracunculus, A. frigida, and A. cana. The chemical composition of the Artemisia essential oil samples had similarities and differences as compared to those previously reported in the literature. The main components of essential oils obtained from A. tridentata, A. ludoviciana, A. frigida, and A. cana were camphor (23.0–51.3%), 1,8-cineole (5.7–30.0%), camphene (1.6–7.7%), borneol (2.3–14.6%), artemisiole (1.2–7.5%), terpinen-4-ol (2.0–6.9%), α-pinene (0.8–3.9%), and santolinatriene (0.7–3.5%). Essential oils from A. dracunculus were enriched in methyl chavicol (38.8–42.9%), methyl eugenol (26.1–26.4%), terpinolene (5.5–8.8%), (E/Z)-β-ocimene (7.3–16.0%), β-phellandrene (1.3–2.2%), p-cymen-8-ol (0.9–2.3%), and xanthoxylin (1.2–2.2%). A comparison across species also demonstrated that some compounds were present in only one Artemisia species. Although Artemisia essential oils were weak activators of human neutrophils, they were relatively more potent in inhibiting subsequent neutrophil Ca2+ mobilization with N-formyl peptide receptor 1 (FPR1) agonist fMLF- and FPR2 agonist WKYMVM, with the most potent being essential oils from A. dracunculus. Further analysis of unique compounds found in A. dracunculus showed that farnesene, a compound with a similar hydrocarbon structure as lipoxin A4, inhibited Ca2+ influx induced in human neutrophils by fMLF (IC50 = 1.2 μM), WKYMVM (IC50 = 1.4 μM), or interleukin 8 (IC50 = 2.6 μM). Pretreatment with A. dracunculus essential oils and farnesene also inhibited human neutrophil chemotaxis induced by fMLF, suggesting these treatments down-regulated human neutrophil responses to inflammatory chemoattractants. Thus, our studies have identified farnesene as a potential anti-inflammatory modulator of human neutrophils. Full article
(This article belongs to the Special Issue Prospects of Essential Oils in Drug Discovery)
Show Figures

Graphical abstract

22 pages, 9974 KB  
Article
VEGFR-Mediated Cytotoxic Activity of Pulicaria undulata Isolated Metabolites: A Biological Evaluation and In Silico Study
by Sameh S. Elhady, Reda F. A. Abdelhameed, Salwa H. Zekry, Amany K. Ibrahim, Eman S. Habib, Khaled M. Darwish, Reem M. Hazem, Khadijah A. Mohammad, Hashim A. Hassanean and Safwat A. Ahmed
Life 2021, 11(8), 759; https://doi.org/10.3390/life11080759 - 28 Jul 2021
Cited by 11 | Viewed by 3016
Abstract
Natural products play a remarkable role not only in the synthesis, design, and discovery of new drugs but also as the most prominent source of drugs and bioactive substances. Adding to the search for new sources of safe innovative antitumor drugs, here we [...] Read more.
Natural products play a remarkable role not only in the synthesis, design, and discovery of new drugs but also as the most prominent source of drugs and bioactive substances. Adding to the search for new sources of safe innovative antitumor drugs, here we reported a phytochemical study on Pulicaria undulata which revealed promising antiangiogenic agents. Six compounds were isolated and identified as xanthoxyline (1), stigmasterol (2), oleanolic acid (3), salvigenin (4), rhamnetin (5) and dihydroquercetin-4′-methyl ether (6) using nuclear magnetic resonance (NMR) spectroscopic techniques. Compound 3 and 4 are first reported in Pulicaria genus. Both the extract and isolated compounds were evaluated for in vitro antiproliferative activity against breast cancer cell line (MCF-7). In vivo antiproliferative activity against Ehrlich’s ascites carcinoma (EAC) were also assessed. The P. undulata extract and isolates showed significant reduction in tumor weight, decreased both serum vascular endothelial growth factor B (VEGF-B) levels and vascular endothelial growth factor receptor 2 (VEGFR-2) expression significantly compared to the control EAC group, suggesting an antiangiogenic activity through the inhibition of VEGF signaling. Besides, they displayed reduction in CD34 expression, confirming their antiangiogenic effect. Moreover, the potential affinity of isolated compounds to human estrogen nuclear receptor-alpha (hER-α), the most recognized modulator of VEGFR-2 expression, was virtually estimated through molecular modeling studies. The most promising activity profiles were assigned to the investigated flavonoids, compounds 46, as well as the alkyl-phenylketone, compound 1. Additionally, these four top active compounds showed respective high to intermediate docking scores while possessing preferential binding with hER-α critical pocket residues. Based on the provided data, these isolated compounds illustrated promising inhibitors of VEGF-stimulated angiogenesis, which could be a possible mechanism for their anticancer activity. Full article
(This article belongs to the Section Plant Science)
Show Figures

Figure 1

18 pages, 11299 KB  
Article
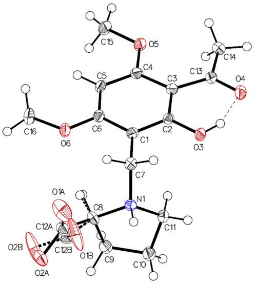
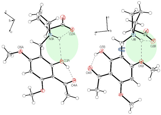
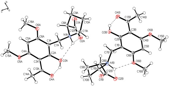
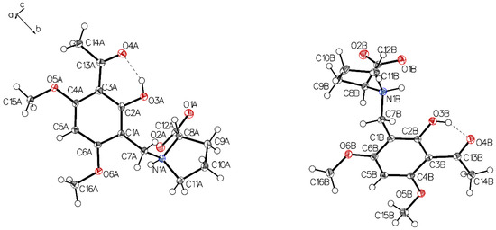
A Many-Faced Alkaloid: Polymorphism of (–)-Monophyllidin
by Christian Dank, Richard Wurzer, Susanne Felsinger, Ricarda Bugl, Hanspeter Kählig, Wolfgang Hela, Alexander Roller and Hubert Gstach
Molecules 2020, 25(3), 449; https://doi.org/10.3390/molecules25030449 - 21 Jan 2020
Cited by 2 | Viewed by 3628
Abstract
The synthesis of the alkaloid (–)-monophyllidin is described. The molecule is a hybrid of xanthoxyline and (S)-proline, accessible in one-step through a Mannich reaction. In the solid-state, defined structural arrangements with different physical properties are formed. Single crystal X-ray diffraction revealed [...] Read more.
The synthesis of the alkaloid (–)-monophyllidin is described. The molecule is a hybrid of xanthoxyline and (S)-proline, accessible in one-step through a Mannich reaction. In the solid-state, defined structural arrangements with different physical properties are formed. Single crystal X-ray diffraction revealed structures of six distinct polymorphs. In the crystalline state, the alkaloid can host small polar molecules (preferably water), while the (S)-proline moiety is present in the zwitterionic state. Combined with the chelate, which is already present in the xanthoxyline substructure, an ideal disposition for multiple hydrogen bond networks evolve. Therefore, highly water-soluble polymorphs of monophyllidin can form. This structural flexibility explains the many faces of the molecule in terms of structure as well as analytical data. Furthermore, speculations about the biological role of the molecule, with regard to the manifold interactions with water, are presented. Full article
(This article belongs to the Section Natural Products Chemistry)
Show Figures

Figure 1

16 pages, 3529 KB  
Article
Herbicidal Activities of Some Allelochemicals and Their Synergistic Behaviors toward Amaranthus tricolor L.
by Nawasit Chotsaeng, Chamroon Laosinwattana and Patchanee Charoenying
Molecules 2017, 22(11), 1841; https://doi.org/10.3390/molecules22111841 - 27 Oct 2017
Cited by 51 | Viewed by 6971
Abstract
Seven allelochemicals, namely R-(+)-limonene (A), vanillin (B), xanthoxyline (C), vanillic acid (D), linoleic acid (E), methyl linoleate (F), and (±)-odorine (G), were investigated for their herbicidal activities on [...] Read more.
Seven allelochemicals, namely R-(+)-limonene (A), vanillin (B), xanthoxyline (C), vanillic acid (D), linoleic acid (E), methyl linoleate (F), and (±)-odorine (G), were investigated for their herbicidal activities on Chinese amaranth (Amaranthus tricolor L.). At 400 μM, xanthoxyline (C) showed the greatest inhibitory activity on seed germination and seedling growth of the tested plant. Both vanillic acid (D) and (±)-odorine (G) inhibited shoot growth, however, apart from xanthoxyline (C), only vanillic acid (D) could inhibit root growth. Interestingly, R-(+)-limonene (A) lightly promoted root length. Other substances had no allelopathic effect on seed germination and seedling growth of the tested plant. To better understand and optimize the inhibitory effects of these natural herbicides, 21 samples of binary mixtures of these seven compounds were tested at 400 μM using 0.25% (v/v) Tween® 80 as a control treatment. The results showed that binary mixtures of R-(+)-limonene:xanthoxyline (A:C), vanillin:xanthoxyline (B:C), and xanthoxyline:linoleic acid (C:E) exhibited strong allelopathic activities on germination and seedling growth of the tested plant, and the level of inhibition was close to the effect of xanthoxyline (C) at 400 µM and was better than the effect of xanthoxyline (C) at 200 µM. The inhibition was hypothesized to be from a synergistic interaction of each pair of alleochemicals. Mole ratios of each pair of allelochemicals ((A:C), (B:C), and (C:E)) were then evaluated, and the best ratios of the binary mixtures A:C, B:C and C:E were found to be 2:8, 2:8, and 4:6 respectively. These binary mixtures significantly inhibited germination and shoot and root growth of Chinese amaranth at low concentrations. The results reported here highlight a synergistic behavior of some allelochemicals which could be applied in the development of potential herbicides. Full article
Show Figures

Figure 1

Back to TopTop