Sign in to use this feature.

Years

Between: -

Subjects

remove_circle_outline
remove_circle_outline
remove_circle_outline
remove_circle_outline

Journals

Article Types

Countries / Regions

Search Results (5)

Search Parameters:
Keywords = variable area flowmeters

Order results
Result details
Results per page
Select all
Export citation of selected articles as:
14 pages, 4236 KB  
Communication
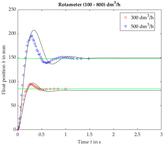
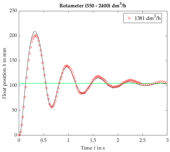
Assessment of Dynamic Properties of Variable Area Flowmeters
by Mateusz Turkowski, Artur Szczecki, Maciej Szudarek and Krzysztof Janiszowski
Sensors 2021, 21(9), 2917; https://doi.org/10.3390/s21092917 - 21 Apr 2021
Viewed by 2745
Abstract
In previous works, a non-linear equation describing variable area (VA) flowmeters in transient was presented. The use of a full nonlinear equation, despite giving accurate results, can be difficult and time-consuming and it requires having specific software and knowledge at one’s disposal. The [...] Read more.
In previous works, a non-linear equation describing variable area (VA) flowmeters in transient was presented. The use of a full nonlinear equation, despite giving accurate results, can be difficult and time-consuming and it requires having specific software and knowledge at one’s disposal. The goal of this paper was to simplify the existing model so that it could be used in applications where ease of use and ease of implementation are more important than accuracy. The existing model was linearized and simple formulae describing natural frequency and damping coefficients were derived. With these parameters, it is possible to assess the dynamic properties of a variable area flowmeter. The step response form can be identified and natural frequency and settling time can be estimated. The linearized model and the experiment were in reasonable agreement. The step response type was captured correctly for each of the six VA meter types. The error in the undamped natural frequency was not larger than 15%, which means that the VA meter sensor’s dynamic properties can be predicted at the design stage with sufficient precision. Full article
(This article belongs to the Special Issue Special Applications of Microsensors)
Show Figures

Figure 1

16 pages, 5813 KB  
Article
Physical Modelling of the Effect on the Wave Field of the WaveCat Wave Energy Converter
by James Allen, Gregorio Iglesias, Deborah Greaves and Jon Miles
J. Mar. Sci. Eng. 2021, 9(3), 309; https://doi.org/10.3390/jmse9030309 - 11 Mar 2021
Cited by 5 | Viewed by 3105
Abstract
The WaveCat is a moored Wave Energy Converter design which uses wave overtopping discharge into a variable v-shaped hull, to generate electricity through low head turbines. Physical model tests of WaveCat WEC were carried out to determine the device reflection, transmission, absorption and [...] Read more.
The WaveCat is a moored Wave Energy Converter design which uses wave overtopping discharge into a variable v-shaped hull, to generate electricity through low head turbines. Physical model tests of WaveCat WEC were carried out to determine the device reflection, transmission, absorption and capture coefficients based on selected wave conditions. The model scale was 1:30, with hulls of 3 m in length, 0.4 m in height and a freeboard of 0.2 m. Wave gauges monitored the surface elevation at discrete points around the experimental area, and level sensors and flowmeters recorded the amount of water captured and released by the model. Random waves of significant wave height between 0.03 m and 0.12 m and peak wave periods of 0.91 s to 2.37 s at model scale were tested. The wedge angle of the device was set to 60°. A reflection analysis was carried out using a revised three probe method and spectral analysis of the surface elevation to determine the incident, reflected and transmitted energy. The results show that the reflection coefficient is highest (0.79) at low significant wave height and low peak wave period, the transmission coefficient is highest (0.98) at low significant wave height and high peak wave period, and absorption coefficient is highest (0.78) when significant wave height is high and peak wave period is low. The model also shows the highest Capture Width Ratio (0.015) at wavelengths on the order of model length. The results have particular implications for wave energy conversion prediction potential using this design of device. Full article
(This article belongs to the Special Issue Selected Papers from the 7th PRIMaRE Conference 2020)
Show Figures

Figure 1

19 pages, 7533 KB  
Article
A Borehole-Based Approach for Seawater Intrusion in Heterogeneous Coastal Aquifers, Eastern Part of Jeju Island, Korea
by Jehyun Shin and Seho Hwang
Water 2020, 12(2), 609; https://doi.org/10.3390/w12020609 - 24 Feb 2020
Cited by 19 | Viewed by 6098
Abstract
Understanding the basaltic aquifer system and seawater intrusion on the volcanic island of Jeju, Korea, has received significant attention over the years, and various methodologies have been suggested in the contributions. Nevertheless, it is still difficult to effectively characterize groundwater systems due to [...] Read more.
Understanding the basaltic aquifer system and seawater intrusion on the volcanic island of Jeju, Korea, has received significant attention over the years, and various methodologies have been suggested in the contributions. Nevertheless, it is still difficult to effectively characterize groundwater systems due to the long period of volcanic activity and the lithological variability of basalt. In this study, geophysical well logging in seawater intrusion monitoring boreholes detected a sudden decrease of electrical conductivity within the saltwater zone in the eastern part of Jeju Island. This anomalous condition cannot be explained by the Ghyben-Herzberg model, which has historically been considered as the basic groundwater model of Jeju Island. This paper focuses on fine-scale temporal and spatial variability of groundwater flow using electrical conductivity and temperature logs and borehole temperature monitoring by a thermal line sensor. On the basis of the results, we evaluate an alternative model to replace the traditional conceptual model in the eastern part of Jeju Island. It is revealed that the area consists of heterogeneous aquifer systems, and the behavior of freshwater and saltwater is understood by temperature monitoring over the entire depth of boreholes. Coastal aquifers flow through two or more independent channels with weak vertical connections. In addition, seawater intrusion does not occur continuously in the vertical direction from the bottom depth, but instead occurs through these multilayered aquifers. In particular, the multilayered aquifers that are responsible for flow pathway, as well as the freshwater–saltwater interface form mainly at lithological boundaries. Our preliminary conceptual model is expected to be improved and revised by various measurements of hydrodynamic parameters such as flowmeter or packer test. Full article
(This article belongs to the Section Hydrology)
Show Figures

Figure 1

16 pages, 4738 KB  
Article
Minimization of the Settling Time of Variable Area Flowmeters
by Mateusz Turkowski, Artur Szczecki and Maciej Szudarek
Sensors 2019, 19(3), 530; https://doi.org/10.3390/s19030530 - 27 Jan 2019
Cited by 4 | Viewed by 3781
Abstract
In the article a differential equation describing transient behavior of variable area (VA) meters has been developed and validated experimentally for air as a measured fluid and for two float shapes—plumb bob and sphere. A modified version of simplex algorithm adapted for nonlinear [...] Read more.
In the article a differential equation describing transient behavior of variable area (VA) meters has been developed and validated experimentally for air as a measured fluid and for two float shapes—plumb bob and sphere. A modified version of simplex algorithm adapted for nonlinear constraint optimization problems was applied to minimize the settling time of VA meters in two cases. In the first case both the float and tube geometry were altered. In the second case only the float geometry was modified. The second case has been validated experimentally. The theory and experiment is in reasonable agreement (under 5% of full scale), which is satisfactory for the purposes of optimization of VA flowmeters dynamic performance. Analytical model of VA flowmeter has been proven to be a proper tool for optimization. Settling times obtained during the optimization process were several times shorter than these of commercially manufactured instruments. Overshoot has not exceeded the assumed value of 3%. Full article
(This article belongs to the Section Physical Sensors)
Show Figures

Graphical abstract

15 pages, 3644 KB  
Article
The Development of a Methodology for Calibrating a Large-Scale Laboratory Rainfall Simulator
by Haksoo Kim, Teakjo Ko, Hyangseon Jeong and Sungje Ye
Atmosphere 2018, 9(11), 427; https://doi.org/10.3390/atmos9110427 - 2 Nov 2018
Cited by 19 | Viewed by 4394
Abstract
The objective of this study was to establish a method to calibrate a large-scale laboratory rainfall simulator through developing and implementing an automated rainfall collection system to assess the reliability and accuracy of a rainfall simulator. The automated rainfall collection system was designed [...] Read more.
The objective of this study was to establish a method to calibrate a large-scale laboratory rainfall simulator through developing and implementing an automated rainfall collection system to assess the reliability and accuracy of a rainfall simulator. The automated rainfall collection system was designed to overcome the limitations caused by the traditional manual measurement for obtaining the rainfall intensity and the spatial rainfall distribution in a large experimental area. The developed automated rainfall collection system was implemented to calibrate a large-scale laboratory rainfall simulator. The adequacy of average rainfall intensities automatically collected from the miniature tipping bucket rain gauges was assessed by comparison with those based on the volumetric method using the flowmeter. The functional relationships between the system variables of the rainfall simulator and the simulated intensity and uniformity distribution of rainfall (i.e., operation models) were derived based on a multiple regression approach incorporating correlation analysis on linear and logarithm scales, with consideration of a significance level. The operation models exhibited high accuracy with respect to both the rainfall intensity and the uniformity coefficients. Full article
(This article belongs to the Section Meteorology)
Show Figures

Figure 1

Back to TopTop