Sign in to use this feature.

Years

Between: -

Subjects

remove_circle_outline
remove_circle_outline
remove_circle_outline
remove_circle_outline

Journals

Article Types

Countries / Regions

Search Results (8)

Search Parameters:
Keywords = urinary bladder trigone

Order results
Result details
Results per page
Select all
Export citation of selected articles as:
20 pages, 1936 KB  
Review
Intravesical Onabotulinum Toxin A Injection Paradigms for Idiopathic Overactive Bladder: A Scoping Review of Clinical Outcomes, Techniques, and Implications for Practice and Future Research
by Ekene Enemchukwu, Hodan Mohamud, Shada Sinclair, Victoria Harbour, Raveen Syan, Michael Kennelly and Susanna Gunamany
Toxins 2025, 17(5), 211; https://doi.org/10.3390/toxins17050211 - 23 Apr 2025
Cited by 2 | Viewed by 2345
Abstract
Introduction and Objectives: Onabotulinum toxin A (BTXA) is an effective treatment for refractory idiopathic overactive bladder (iOAB). Given the wide spectrum of patient factors and combination of symptoms, a tailored approach to management is needed. This scoping review assesses injection paradigms for iOAB. [...] Read more.
Introduction and Objectives: Onabotulinum toxin A (BTXA) is an effective treatment for refractory idiopathic overactive bladder (iOAB). Given the wide spectrum of patient factors and combination of symptoms, a tailored approach to management is needed. This scoping review assesses injection paradigms for iOAB. Prior studies have established the safety and efficacy of BTXA injections, and this review focuses on exploring variations in injection techniques that may inform more tailored approaches and support future research toward optimizing patient outcomes. Methods: We conducted a systematic literature search. Inclusion criteria included full-text English language and primary research studies assessing outcomes in adults undergoing BTXA for iOAB. Findings are summarized using narrative synthesis. Results: Forty-three articles were identified. Key findings include fewer injections (1–10 vs. 20–40) maintains efficacy while reducing procedure time, discomfort, and retreatment hesitancy. Durability appears to be lower with suburothelial and bladder base injections and higher with detrusor and bladder body injections, though these may carry an increased risk of urinary retention requiring clean intermittent catheterization. Trigone inclusion appears safe and effective without increased vesicoureteral reflux risk. Conclusions: Study heterogeneity and inconsistent reporting limit strong conclusions. Included injection paradigms demonstrated efficacy, high tolerability, symptom relief, and quality-of-life improvements with few adverse events. Further research is needed to refine optimal injection strategies to enhance patient comfort, maximize efficacy, and minimize adverse events. Future studies should ensure comprehensive data collection to clarify these associations. Full article
Show Figures

Figure 1

22 pages, 6784 KB  
Article
Transcriptomic Characterization of the Porcine Urinary Bladder Trigone Following Intravesical Administration of Resiniferatoxin: Insights from High-Throughput Sequencing
by Ewa Lepiarczyk, Mateusz Maździarz, Łukasz Paukszto, Agnieszka Bossowska, Mariusz Majewski, Jerzy Kaleczyc, Elżbieta Łopieńska-Biernat, Łukasz Jaśkiewicz, Agnieszka Skowrońska, Mariusz T. Skowroński and Marta Majewska
Toxins 2025, 17(3), 127; https://doi.org/10.3390/toxins17030127 - 9 Mar 2025
Cited by 1 | Viewed by 1533
Abstract
Resiniferatoxin (RTX), a potent capsaicin analog, is being investigated as a therapeutic agent for neurogenic conditions, particularly those affecting bladder control. However, the transcriptomic effects of RTX on the urinary bladder remain largely unexplored. This study aimed to characterize the transcriptomic changes in [...] Read more.
Resiniferatoxin (RTX), a potent capsaicin analog, is being investigated as a therapeutic agent for neurogenic conditions, particularly those affecting bladder control. However, the transcriptomic effects of RTX on the urinary bladder remain largely unexplored. This study aimed to characterize the transcriptomic changes in the porcine urinary bladder trigone region removed seven days post-treatment with intravesical RTX administration (500 nmol per animal in 60 mL of 5% aqueous solution of ethyl alcohol). High-throughput sequencing identified 126 differentially expressed genes (DEGs; 66 downregulated, 60 upregulated), 5 differentially expressed long non-coding RNAs (DELs), and 22 other RNAs, collectively involved in 175 gene ontology (GO) processes. Additionally, differential alternative splicing events (DASes) and single nucleotide variants (SNVs) were detected. RTX significantly modulated signaling pathways related to nerve growth and myelination. Changes in genes associated with synaptic plasticity and neuromodulation were observed, particularly within serotoninergic and cholinergic signaling. RTX altered the expression of immune-related genes, particularly those involved in chemokine signaling and immune regulation. Notably, altered gene expression patterns suggest a potential anti-cancer role for RTX. These findings provide new insights into RTX’s therapeutic effects beyond TRPV1 receptor interactions, filling a critical gap in our understanding of its molecular impact on bladder tissue. Full article
Show Figures

Figure 1

13 pages, 6872 KB  
Article
Bisphenol A Effects on Neurons’ Neurochemical Character in the Urinary Bladder Intramural Ganglia of Domestic Pigs
by Krystyna Makowska, Piotr Lech and Sławomir Gonkowski
Int. J. Mol. Sci. 2023, 24(23), 16792; https://doi.org/10.3390/ijms242316792 - 27 Nov 2023
Cited by 1 | Viewed by 1511
Abstract
Bisphenol A (BPA), a substance globally used to produce plastics, is part of many everyday items, including bottles, food containers, electronic elements, and others. It may penetrate the environment and living organisms, negatively affecting, among others, the nervous, immune, endocrine, and cardiovascular systems. [...] Read more.
Bisphenol A (BPA), a substance globally used to produce plastics, is part of many everyday items, including bottles, food containers, electronic elements, and others. It may penetrate the environment and living organisms, negatively affecting, among others, the nervous, immune, endocrine, and cardiovascular systems. Knowledge of the impact of BPA on the urinary bladder is extremely scarce. This study investigated the influence of two doses of BPA (0.05 mg/kg body weight (b.w.)/day and 0.5 mg/kg b.w./day) given orally for 28 days on the neurons situated in the ganglia located in the urinary bladder trigone using the typical double immunofluorescence method. In the study, an increase in the percentage of neurons containing substance P (SP), galanin (GAL), a neuronal isoform of nitric oxide synthase (nNOS—used as the marker of nitrergic neurons), and/or cocaine- and amphetamine-regulated transcript (CART) peptide was noted after BPA administration. The severity of these changes depended on the dose of BPA and the type of neuronal factors studied. The most visible changes were noted in the cases of SP- and/or GAL-positive neurons after administering a higher dose of BPA. The results have shown that oral exposure to BPA, lasting even for a short time, affects the intramural neurons in the urinary bladder wall, and changes in the neurochemical characterisation of these neurons may be the first signs of BPA-induced pathological processes in this organ. Full article
(This article belongs to the Special Issue The Plasticity of the Innervation of the Urogenital System)
Show Figures

Figure 1

12 pages, 2705 KB  
Article
Neuroendocrine Carcinoma of the Urinary Bladder: CT Findings and Radiomics Signature
by Andrea Coppola, Tonia Gatta, Giacomo Maria Pini, Giorgia Scordi, Federico Fontana, Filippo Piacentino, Roberto Minici, Domenico Laganà, Antonio Basile, Federico Dehò, Giulio Carcano, Francesca Franzi, Silvia Uccella, Fausto Sessa and Massimo Venturini
J. Clin. Med. 2023, 12(20), 6510; https://doi.org/10.3390/jcm12206510 - 13 Oct 2023
Cited by 3 | Viewed by 3194
Abstract
Background: We present a case series of Neuroendocrine Carcinoma of the Urinary Bladder (NECB) to analyse their radiologic appearance on CT, find a “Radiomic signature”, and review the current literature. Methods: 14 CT cases of NECB were reviewed and compared with [...] Read more.
Background: We present a case series of Neuroendocrine Carcinoma of the Urinary Bladder (NECB) to analyse their radiologic appearance on CT, find a “Radiomic signature”, and review the current literature. Methods: 14 CT cases of NECB were reviewed and compared with a control group of 42 patients with high-grade non-neuroendocrine bladder neoplasm for the following parameters: ring enhancement; implantation site; dimensions; density; margins; central necrosis; calcifications; number of lesions; wall thickness; depth of invasion in the soft tissue; invasion of fat tissue; invasion of adjacent organs; lymph-node involvement; abdominal organ metastasis. To extract radiomic features, volumes of interest of bladder lesions were manually delineated on the portal-venous phase. The radiomic features of the two groups were identified and compared. Results: Statistical differences among NECB and control group were found in the prevalence of male sex (100% vs. 69.0%), hydronephrosis (71.4% vs. 33.3%), mean density of the mass (51.01 ± 15.48 vs. 76.27 ± 22.26 HU); product of the maximum diameters on the axial plane (38.1 ± 59.3 vs. 14.44 ± 12.98 cm2) in the control group, trigonal region involvement (78.57% vs. 19.05%). About the radiomic features, Student’s t-test showed significant correlation for the variables: “DependenceNonUniformity” (p: 0.048), “JointAverage” (p: 0.013), “LargeAreaLowGrayLevelEmphasis” (p: 0.014), “Maximum2DDiameterColumn” (p: 0.04), “Maximum 2DDiameterSlice” (p: 0.007), “MeanAbsoluteDeviation” (p: 0.021), “BoundingBoxA” (p: 0.022) and “CenterOfMassB” (p: 0.007). Conclusions: There is a typical pattern (male patient, large mass, trigonal area involvement) of NECB presentation on contrast-enhanced CT. Certain morphological characteristics and encouraging results about Radiomic features can help define the diagnosis. Full article
Show Figures

Figure 1

10 pages, 2881 KB  
Case Report
Gynecological Diagnosis and Treatment of Ectopic Ureter Insertion into Vagina: Analysis of Five Cases and a Literature Review
by Qijing Wang, Zaigui Wu, Fengbin Zhang, Rubab Akbar, Yiyun Lou, Jianhong Zhou and Fei Ruan
J. Clin. Med. 2022, 11(21), 6267; https://doi.org/10.3390/jcm11216267 - 24 Oct 2022
Cited by 5 | Viewed by 4867
Abstract
An ectopic ureter is a ureter that does not correctly connect to the trigone of the bladder and drains outside of the bladder. Here, we presented five cases of ectopic ureter opening into the vagina, whose clinical symptoms and malformations were rarely described [...] Read more.
An ectopic ureter is a ureter that does not correctly connect to the trigone of the bladder and drains outside of the bladder. Here, we presented five cases of ectopic ureter opening into the vagina, whose clinical symptoms and malformations were rarely described in previous case reports. All five patients were hospitalized with complaints of gynecologic disease. Three of the five cases did not present the typical symptoms of urinary incontinence. Three of these cases showed congenital malformations of the female genital tract. Four cases were diagnosed in adulthood. All patients were analyzed using various imaging examinations. This study suggests that the ectopic ureter should be considered in the differential diagnosis of a pelvic mass in a patient with urinary and reproductive system abnormalities. It is essential to comprehensively evaluate complex malformations of the genitourinary system with multiple imaging tests. Full article
(This article belongs to the Special Issue Clinical Management in Female Urology)
Show Figures

Figure 1

12 pages, 44242 KB  
Review
The Effect of Castration on Peripheral Autonomic Neurons Supplying Mammalian Male Genitourinary System
by Jerzy Kaleczyc and Ewa Lepiarczyk
Int. J. Mol. Sci. 2021, 22(14), 7632; https://doi.org/10.3390/ijms22147632 - 16 Jul 2021
Cited by 1 | Viewed by 3416
Abstract
This review paper deals with the influence of androgens (testosterone) on pelvic autonomic pathways in male mammals. The vast majority of the relevant information has been gained in experiments involving castration (testosterone deprivation) performed in male rats, and recently, in male pigs. In [...] Read more.
This review paper deals with the influence of androgens (testosterone) on pelvic autonomic pathways in male mammals. The vast majority of the relevant information has been gained in experiments involving castration (testosterone deprivation) performed in male rats, and recently, in male pigs. In both species, testosterone significantly affects the biology of the pathway components, including the pelvic neurons. However, there are great differences between rats and pigs in this respect. The most significant alteration is that testosterone deprivation accomplished a few days after birth results some months later in the excessive loss (approximately 90%) of pelvic and urinary bladder trigone intramural neurons in the male pig, while no changes in the number of pelvic neurons are observed in male rats (rats do not have the intramural ganglia). In the castrated pigs, much greater numbers of pelvic neurons than in the non-castrated animals express CGRP, GAL, VIP (peptides known to have neuroprotective properties), and caspase 3, suggesting that neurons die due to apoptosis triggered by androgen deprivation. In contrast, only some morpho-electrophysiological changes affecting neurons following castration are found in male rats. Certain clinicopathological consequences of testosterone deprivation for the functioning of urogenital organs are also discussed. Full article
(This article belongs to the Special Issue Steroid Hormones and Sex Difference in Diseases)
Show Figures

Figure 1

22 pages, 10532 KB  
Article
Changes in the Neurochemical Coding of the Anterior Pelvic Ganglion Neurons Supplying the Male Pig Urinary Bladder Trigone after One-Sided Axotomy of Their Nerve Fibers
by Żaneta Listowska and Zenon Pidsudko
Int. J. Mol. Sci. 2021, 22(5), 2231; https://doi.org/10.3390/ijms22052231 - 24 Feb 2021
Cited by 4 | Viewed by 2452
Abstract
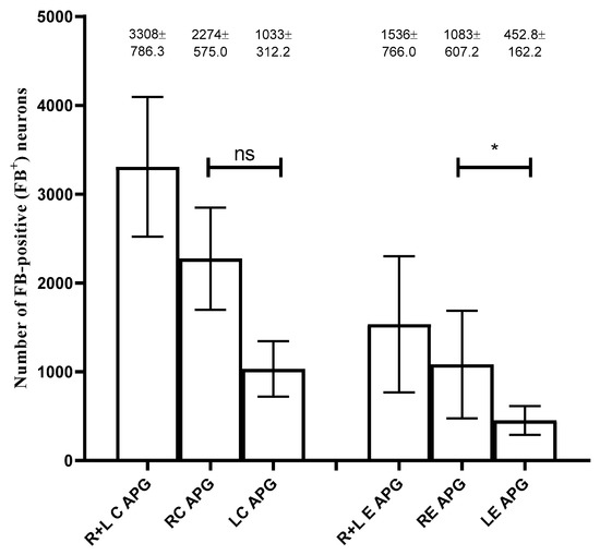
The present study investigated the effect of unilateral axotomy of urinary bladder trigone (UBT)-projecting nerve fibers from the right anterior pelvic ganglion (APG) on changes in the chemical coding of their neuronal bodies. The study was performed using male pigs with immunohistochemistry and [...] Read more.
The present study investigated the effect of unilateral axotomy of urinary bladder trigone (UBT)-projecting nerve fibers from the right anterior pelvic ganglion (APG) on changes in the chemical coding of their neuronal bodies. The study was performed using male pigs with immunohistochemistry and quantitative real-time PCR (qPCR). The animals were divided into a control (C), a morphological (MG) or a molecular biology group (MBG). APG neurons supplying UBT were revealed using the retrograde tracing technique with Fast Blue (FB). Unilateral axotomy resulted in an over 50% decrease in the number of FB+ neurons in both APG ganglia. Immunohistochemistry revealed significant changes in the chemical coding of FB+ cells only in the right ganglion: decreased expression of dopamine-B-hydroxylase (DBH)/tyrosine hydroxylase (TH) and up-regulation of the vesicular acetylcholine transporter (VAChT)/choline acetyltransferase (ChAT), galanin (GAL), vasoactive intestinal polypeptide (VIP) and brain nitric oxide synthase (bNOS). The qPCR results partly corresponded with immunofluorescence findings. In the APGs, genes for VAChT and ChAT, TH and DBH, VIP, and NOS were distinctly down-regulated, while the expression of GAL was up-regulated. Such data may be the basis for further studies concerning the plasticity of these ganglia under experimental or pathological conditions. Full article
(This article belongs to the Section Biochemistry)
Show Figures

Figure 1

10 pages, 1307 KB  
Article
Sex-Sparing Robot-Assisted Radical Cystectomy with Intracorporeal Padua Ileal Neobladder in Female: Surgical Technique, Perioperative, Oncologic and Functional Outcomes
by Gabriele Tuderti, Riccardo Mastroianni, Simone Flammia, Mariaconsiglia Ferriero, Costantino Leonardo, Umberto Anceschi, Aldo Brassetti, Salvatore Guaglianone, Michele Gallucci and Giuseppe Simone
J. Clin. Med. 2020, 9(2), 577; https://doi.org/10.3390/jcm9020577 - 20 Feb 2020
Cited by 33 | Viewed by 3891
Abstract
Our aim was to illustrate our technique of sex-sparing (SS)-robot-assisted radical cystectomy (RARC) in female patients receiving an intracorporeal neobladder (iN). From January 2013 to June 2018, 11 female patients underwent SS-RARC-iN at a single tertiary referral center. Inclusion criteria were a cT [...] Read more.
Our aim was to illustrate our technique of sex-sparing (SS)-robot-assisted radical cystectomy (RARC) in female patients receiving an intracorporeal neobladder (iN). From January 2013 to June 2018, 11 female patients underwent SS-RARC-iN at a single tertiary referral center. Inclusion criteria were a cT ≤ 2 N0 M0 bladder tumor at baseline imaging (CT or MRI) and an absence of tumors in the bladder neck, trigone and urethra at TURB. Baseline, perioperative, and outcomes at one year were reported. The median operative time was 255 min and the median hospital stay was seven days. Low-grade Clavien complications occurred in four patients (36.3%), while high-grade complications were not observed in any. Seven patients (63.7%) had an organ-confined disease at the pathologic specimen; nodal involvement and positive surgical margins were not detected in any of the cases. At a median follow-up of 28 months (IQR 14–51), no patients developed new onset of chronic kidney disease stage 3b. After one year, daytime and nighttime continence rates were 90.9% and 86.4% respectively. Quality of life as well as physical and emotional functioning improved significantly over time (all p ≤ 0.04), while urinary symptoms and sexual function worsened at three months with a significant recovery taking place at one year (all p ≤ 0.04). Overall, 8 out of 11 patients (72.7%) were sexually active at the 12-month evaluation. In select female patients, SS-RARC-iN is an oncologically sound procedure associated with favorable perioperative and functional outcomes. Full article
(This article belongs to the Special Issue Outcomes and Therapeutic Management of Bladder Cancer)
Show Figures

Figure 1

Back to TopTop