Sign in to use this feature.

Years

Between: -

Subjects

remove_circle_outline
remove_circle_outline
remove_circle_outline
remove_circle_outline
remove_circle_outline
remove_circle_outline
remove_circle_outline

Journals

Article Types

Countries / Regions

Search Results (3)

Search Parameters:
Keywords = updated bayesian deduction

Order results
Result details
Results per page
Select all
Export citation of selected articles as:
18 pages, 1273 KB  
Article
Potential Impact of Updated Bayesian Deduction in Medicine: Application to Colonoscopy Prioritization
by Pierre Collet, Felipe Quezada-Diaz and Carla Taramasco
Cancers 2025, 17(23), 3845; https://doi.org/10.3390/cancers17233845 - 29 Nov 2025
Viewed by 384
Abstract
Background/Objectives: This study presents and explores the potential of Updated Bayesian Deduction (UBD) using colorectal cancer (CRC) detection and prioritisation as a case example. Colorectal cancer (CRC) is a leading cause of cancer-related mortality worldwide, and its prognosis strongly depends on early detection [...] Read more.
Background/Objectives: This study presents and explores the potential of Updated Bayesian Deduction (UBD) using colorectal cancer (CRC) detection and prioritisation as a case example. Colorectal cancer (CRC) is a leading cause of cancer-related mortality worldwide, and its prognosis strongly depends on early detection and timely treatment. In Chile, colonoscopy waiting lists for symptomatic patients in public hospitals can exceed one year, limiting access to early diagnosis and reducing survival rates. Traditional single-test screening strategies, such as a single faecal immunochemical test (FIT), often yield uncertain results, contributing to inefficiencies in resource allocation. Methods: We propose a deductive approach that integrates evidence from multiple sequential and independent FITs to dynamically update the posterior probability of CRC. A case study is analysed with this Updated Bayesian Deduction over a four-round FIT protocol to assess how this could improve risk stratification compared to standard symptoms-based screening. Results: Our mathematical model shows that over 85% of colonoscopies for symptomatic patients were not urgent. We then demonstrate that, if 4-FIT UBD were used to screen Chile’s Metropolitan Region population, only 96 out of 100,000 people would require an urgent colonoscopy to detect the 19.6 out of 100,000 individuals with CRC in this region. Many countries cannot afford a colonoscopy-based population screening, such as what is performed in Germany. Performing 4x FITs + a very small number of colonoscopies would be much more affordable and would get more countries to adopt general CRC screening. Conclusions: In countries with limited colonoscopy availability, such as Chile, where symptomatic patients can wait over a year for treatment in public hospitals, implementing a UBD-based strategy could drastically reduce costs and optimise the use of resources. This would improve access to colonoscopies for critical cases and ultimately enhance five-year survival rates. These findings highlight UBD as a promising approach for evidence-based precision medicine in CRC screening and prioritisation that is both explainable and adaptable. Full article
(This article belongs to the Special Issue Recent Advances in Diagnosis and Management of Colorectal Cancer)
Show Figures

Figure 1

15 pages, 317 KB  
Article
A Journey Through Philosophy and Medicine: From Aristotle to Evidence-Based Decisions
by José Nunes de Alencar, Marcio Henrique de Jesus Oliveira, Maria Catarina Nunes Sampaio, Maria Francisca Rego and Rui Nunes
Philosophies 2024, 9(6), 189; https://doi.org/10.3390/philosophies9060189 - 23 Dec 2024
Cited by 2 | Viewed by 5603
Abstract
The evolution of medical reasoning is deeply intertwined with philosophical thought, beginning with Aristotle’s foundational work in deductive logic. Aristotle’s principles significantly influenced early medical practice, shaping the works of Galen and Avicenna, who made empirical observations that expanded clinical knowledge. During the [...] Read more.
The evolution of medical reasoning is deeply intertwined with philosophical thought, beginning with Aristotle’s foundational work in deductive logic. Aristotle’s principles significantly influenced early medical practice, shaping the works of Galen and Avicenna, who made empirical observations that expanded clinical knowledge. During the Enlightenment, both inductive reasoning, as advocated by Francis Bacon, and deductive methods, as stressed by René Descartes, significantly advanced medical reasoning. These approaches proved insufficient when it came to handling uncertainty and variability in medical outcomes. Nineteenth-century figures like William Osler advanced a probabilistic understanding of medicine. Karl Popper’s 20th-century hypothetico-deductive method, which introduced the concept of falsifiability and transformed scientific inquiry into a rigorous process of hypothesis testing, is a fundamental aspect of evidence-based medicine (EBM). EBM emerged as the dominant paradigm, combining empirical research, clinical expertise, and statistical inference to guide medical decisions. Looking forward, Bayesian reasoning offers a further refinement in medical reasoning. By incorporating prior knowledge and continuously updating probabilities with new evidence, Bayesianism addresses the limitations of frequentist methods and offers a more dynamic and adaptable framework for clinical decision making. As medical reasoning evolves, understanding this philosophical lineage is essential to navigating the future of patient care, where evidence must be both rigorously tested and individually tailored. Full article
14 pages, 1832 KB  
Article
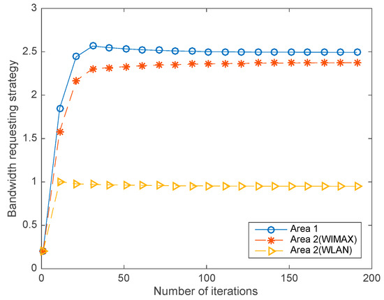
Game-Based Resource Allocation Mechanism in B5G HetNets with Incomplete Information
by Weijia Feng and Xiaohui Li
Appl. Sci. 2020, 10(5), 1557; https://doi.org/10.3390/app10051557 - 25 Feb 2020
Cited by 4 | Viewed by 2647
Abstract
Ultra-dense and highly heterogeneous network (HetNet) deployments make the allocation of limited wireless resources among ubiquitous Internet of Things (IoT) devices an unprecedented challenge in 5G and beyond (B5G) networks. The interactions among mobile users and HetNets remain to be analyzed, where mobile [...] Read more.
Ultra-dense and highly heterogeneous network (HetNet) deployments make the allocation of limited wireless resources among ubiquitous Internet of Things (IoT) devices an unprecedented challenge in 5G and beyond (B5G) networks. The interactions among mobile users and HetNets remain to be analyzed, where mobile users choose optimal networks to access and the HetNets adopt proper methods for allocating their own network resource. Existing works always need complete information among mobile users and HetNets. However, it is not practical in a realistic situation where important individual information is protected and will not be public to others. This paper proposes a distributed pricing and resource allocation scheme based on a Stackelberg game with incomplete information. The proposed model proves to be more practical by solving the problem that important information of either mobile users or HetNets is difficult to acquire during the resource allocation process. Considering the unknowability of channel gain information, the follower game among users is modeled as an incomplete information game, and channel gain is regarded as the type of each player. Given the pricing strategies of networks, users will adjust their bandwidth requesting strategies to maximize their expected utility. While based on the sub-equilibrium obtained in the follower game, networks will correspondingly update their pricing strategies to be optimal. The existence and uniqueness of Bayesian Nash equilibrium is proved. A probabilistic prediction method realizes the feasibility of the incomplete information game, and a reverse deduction method is utilized to obtain the game equilibrium. Simulation results show the superior performance of the proposed method. Full article
Show Figures

Figure 1

Back to TopTop