Game-Based Resource Allocation Mechanism in B5G HetNets with Incomplete Information
Abstract
Featured Application
Abstract
1. Introduction
- We propose a Stackelberg game model with incomplete information to solve the problem, where players have only partial information about others during the process of resource competition.
- We design a practical utility function for each mobile user and propose a probabilistic prediction method to realize the feasibility of the incomplete information game. The proof of the existence and of uniqueness of the Bayesian Nash equilibrium is presented.
- The Bayesian Nash equilibrium obtained from the game with incomplete information is compared with the Nash equilibrium in the complete information game, and superior performance is achieved through system simulation.
2. System Model
3. Distributed Resource Allocation Algorithm
3.1. Follower Game
- Players are mobile users in the set of ,
- The action set of user is the set of the requested bandwidth , consisting of the bandwidth requesting from network and the other networks. Let denote the vector of actions of all mobile users, where denotes the vector of users, except user .
- The type of user is the channel gain between the user and its connected network . Let be the type set of user and be the vector of types of all mobile users, where denotes the vector of users, except user . We assumed the types of all users were continuous and had the same probability distribution, and the probability density function was .
- Strategy of user is a mapping from the type set to the action set, which is . represents the strategy distribution given in the channel gain set , where is equal to . To simplify the presentation, we will use and interchangeably in the following sections. Let represent the vector of strategies made by other players, except user .
- Payoff of user is the function of its action and its type , given the actions and types of others, which is defined as:
3.2. Leader Game
- Players are network operators in the set of .
- Strategy of network is the price of allocated bandwidth charged from the mobile users, represented as , which is a non-negative and continuous value. Let be the set of actions available to network , and denotes the strategy profile of all network operators.
- Payoff of network in the leader game with complete information is expressed in Equation (17), which contains only the profit obtained by selling the bandwidth (as in Equation (4)).where denotes the strategies profile of all networks, except network .
| Algorithm 1 Stackelgerg Game-Based Distributed Resource Allocation Algorithm |
| 1: Input: InitialInitialize , , , . |
| 2: Input: Initial , |
| 3: Repeat: |
| 4: do |
| 5: Mobile users compute , according to Equation (15), , |
| 6: |
| 7: Mobile users obtain the adjusted strategy , |
| 8: while , , |
| 9: Networks obtain the updated strategy profile of users |
| 10: do |
| 11: Networks compute from Equations (19) and (20), |
| 12: |
| 13: Networks obtain the new pricing strategy , |
| 14: while , |
| 15: Until iterating to the convergence |
| 16: Output: and |
4. Simulation Results
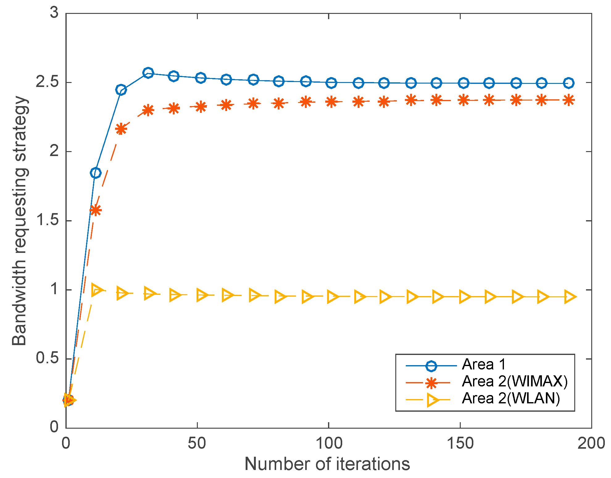
4.1. Follower Game
4.2. Leader Game
5. Conclusions
Author Contributions
Funding
Conflicts of Interest
References
- Cisco Visual Networking Index: Global Mobile Data Traffic Forecast Update. Available online: www.cisco.com/c/en/us/solutions/collateral/service-provider/visual-networking-indexvni/mobile-white-paper-c11-520862.html (accessed on 25 February 2020).
- Zhang, J.; Xia, W.; Yan, F.; Shen, L. Joint Computation Offloading and Resource Allocation Optimization in Heterogeneous Networks With Mobile Edge Computing. IEEE Access 2018, 6, 19324–19337. [Google Scholar] [CrossRef]
- Xu, L.; Zhuang, W. Energy-Efficient Cross-Layer Resource Allocation for Heterogeneous Wireless Access. IEEE Trans. Wirel. Commun. 2018, 17, 4819–4829. [Google Scholar] [CrossRef]
- Sun, Y.; Peng, M.; Mao, S.; Yan, S. Hierarchical Radio Resource Allocation for Network Slicing in Fog Radio Access Networks. IEEE Trans. Veh. Technol. 2019, 68, 3866–3881. [Google Scholar] [CrossRef]
- Dominic, S.; Jacob, L. Distributed Resource Allocation for D2D Communications Underlaying Cellular Networks in Time-Varying Environment. IEEE Commun. Lett. 2018, 22, 388–391. [Google Scholar] [CrossRef]
- Yang, C.; Dai, H.; Li, J.; Zhang, Y.; Han, Z. Distributed Interference-Aware Power Control in Ultra-Dense Small Cell Networks: A Robust Mean Field Game. IEEE Access 2018, 6, 12608–12619. [Google Scholar] [CrossRef]
- Lashgari, M.; Maham, B.; Kebriaei, H. Energy Efficient Price Based Power Allocation in a Small Cell Network by Using a Stackelberg Game. In Proceedings of the IEEE International Black Sea Conference on Communications and Networking (BlackSeaCom), Batumi, Georgia, 4 June 2018; pp. 1–5. [Google Scholar]
- Zhao, X.; Li, X.; Xu, Z.; Chen, T. An Optimal Game Approach for Heterogeneous Vehicular Network Selection with Varying Network Performance. IEEE Intell. Transp. Syst. 2019, 11, 80–92. [Google Scholar]
- Li, Z.; Gui, J.; Xiong, N.; Zeng, Z. Energy-Efficient Resource Sharing Scheme With Out-Band D2D Relay-Aided Communications in C-RAN-Based Underlay Cellular Networks. IEEE Access 2019, 7, 19125–19142. [Google Scholar] [CrossRef]
- Yan, S.; Peng, M.; Cao, X. A Game Theory Approach for Joint Access Selection and Resource Allocation in UAV Assisted IoT Communication Networks. IEEE Internet Things J. 2019, 6, 1663–1674. [Google Scholar] [CrossRef]
- Xu, L.; Nallanathan, A.; Yang, J.; Liao, W. Power and Bandwidth Allocation for Cognitive Heterogeneous Multi-Homing Networks. IEEE Trans. Commun. 2017, 66, 394–403. [Google Scholar] [CrossRef]
- Ye, F.; Shao, S.; Dai, J.; Tian, Y. A Joint Resource Allocation Algorithm in HetNet Based on Game Theory. In Proceedings of the USNC-URSI Radio Science Meeting (Joint with AP-S Symposium), Boston, MA, USA, 8 July 2018; pp. 167–168. [Google Scholar]
- Chen, J.; Deng, Y.; Jia, J.; Dohler, M.; Nallanathan, A. Cross-Layer QoE Optimization for D2D Communication in CR-Enabled Heterogeneous Cellular Networks. IEEE Trans. Cogn. Commun. Netw. 2018, 4, 719–734. [Google Scholar] [CrossRef]
- Dun, H.; Ye, F.; Jiao, S.; Li, Y.; Jiang, T. The Distributed Resource Allocation for D2D Communication with Game Theory. In Proceedings of the 2019 IEEE-APS Topical Conference on Antennas and Propagation in Wireless Communications (APWC), Granada, Spain, 9 September 2019; pp. 104–108. [Google Scholar]
- Rudenko, O.; Liu, Y.; Wang, C.; Rahardja, S. An Extensive Game-Based Resource Allocation for Securing D2D Underlay Communications. IEEE Access 2019, 7, 43052–43062. [Google Scholar] [CrossRef]
- Sun, Y.; Wang, F.; Liu, Z. Coalition Formation Game for Resource Allocation in D2D Uplink Underlaying Cellular Networks. IEEE Commun. Lett. 2019, 23, 888–891. [Google Scholar] [CrossRef]
- Xiao, Z.; Shen, X.; Zeng, F.; Havyarimana, V.; Wang, D.; Chen, W.; Li, K. Spectrum Resource Sharing in Heterogeneous Vehicular Networks: A Noncooperative Game-Theoretic Approach With Correlated Equilibrium. IEEE Trans. Veh. Technol. 2018, 67, 9449–9458. [Google Scholar] [CrossRef]
- Yu, Y.; Liu, S.; Tian, Z.; Wang, S. A dynamic distributed spectrum allocation mechanism based on game model in fog radio access networks. China Commun. 2019, 16, 12–21. [Google Scholar]
- Fossati, F.; Hoteit, S.; Moretti, S.; Secci, S. Fair Resource Allocation in Systems With Complete Information Sharing. IEEE/ACM Trans. Netw. 2018, 26, 2801–2814. [Google Scholar] [CrossRef]
- Xie, R.; Wu, J.; Wang, R.; Huang, T. A game theoretic approach for hierarchical caching resource sharing in 5G networks with virtualization. China Commun. 2019, 16, 32–48. [Google Scholar]
- Rosen, J. B. Existence and uniqueness of equilibrium points for concave N-Person games. Econometrica. 1965, 33, 520–534. [Google Scholar] [CrossRef]
- Duong, N. D.; Madhukumar, A. S.; Niyato, D. Stackelberg Bayesian Game for Power Allocation in Two-tier Networks. IEEE Trans. Veh. Technol. 2015, 65, 2341–2354. [Google Scholar]










© 2020 by the authors. Licensee MDPI, Basel, Switzerland. This article is an open access article distributed under the terms and conditions of the Creative Commons Attribution (CC BY) license (http://creativecommons.org/licenses/by/4.0/).
Share and Cite
Feng, W.; Li, X. Game-Based Resource Allocation Mechanism in B5G HetNets with Incomplete Information. Appl. Sci. 2020, 10, 1557. https://doi.org/10.3390/app10051557
Feng W, Li X. Game-Based Resource Allocation Mechanism in B5G HetNets with Incomplete Information. Applied Sciences. 2020; 10(5):1557. https://doi.org/10.3390/app10051557
Chicago/Turabian StyleFeng, Weijia, and Xiaohui Li. 2020. "Game-Based Resource Allocation Mechanism in B5G HetNets with Incomplete Information" Applied Sciences 10, no. 5: 1557. https://doi.org/10.3390/app10051557
APA StyleFeng, W., & Li, X. (2020). Game-Based Resource Allocation Mechanism in B5G HetNets with Incomplete Information. Applied Sciences, 10(5), 1557. https://doi.org/10.3390/app10051557

