Sign in to use this feature.

Years

Between: -

Subjects

remove_circle_outline
remove_circle_outline
remove_circle_outline
remove_circle_outline
remove_circle_outline

Journals

Article Types

Countries / Regions

Search Results (11)

Search Parameters:
Keywords = unimolecular copolymer micelle

Order results
Result details
Results per page
Select all
Export citation of selected articles as:
25 pages, 4391 KB  
Article
Synthesis, Characterization, and Self-Assembly Behavior of Block Copolymers of N-Vinyl Pyrrolidone with n-Alkyl Methacrylates
by Nikoletta Roka and Marinos Pitsikalis
Polymers 2025, 17(8), 1122; https://doi.org/10.3390/polym17081122 - 21 Apr 2025
Viewed by 1035
Abstract
Novel amphiphilic block copolymers of N-vinyl pyrrolidone (NVP) and either n-hexyl methacrylate (HMA, PNVP-b-PHMA) or stearyl methacrylate (SMA, PNVP-b-PSMA) were prepared by RAFT polymerization techniques and the sequential addition of monomers starting from the polymerization of NVP and using [...] Read more.
Novel amphiphilic block copolymers of N-vinyl pyrrolidone (NVP) and either n-hexyl methacrylate (HMA, PNVP-b-PHMA) or stearyl methacrylate (SMA, PNVP-b-PSMA) were prepared by RAFT polymerization techniques and the sequential addition of monomers starting from the polymerization of NVP and using two different Chain Transfer Agents, CTAs. PNVP-b-PHMA are amorphous block copolymers containing constituent blocks with both high and low Tg values, whereas PNVP-b-PSMA are amorphous–semi-crystalline copolymers. Samples with different molecular weights and compositions were obtained. The copolymers were microphase-separated, but partial mixing was also observed. The presence of the amorphous PNVP block reduced the crystallinity of the PSMA blocks in the PNVP-b-PSMA copolymers. The thermal stability of the blocks was influenced by both constituents. The self-assembly behavior in THF, which is a selective solvent for polymethacrylate blocks, and in aqueous solutions, where PNVP was soluble, was examined. Unimolecular or low-aggregation-number micelles were obtained in THF for both types of samples. On the contrary, high-aggregation-number, spherical, and compact micelles were revealed in aqueous solutions. The increase in the steric hindrance of the side ester group of the polymethacrylate chain led to slightly lower degrees of association. The hydrophobic compound curcumin was efficiently encapsulated within the micellar core of the supramolecular structures in aqueous solutions. Micelles with higher aggregation numbers were more efficient in the encapsulation of curcumin. The results of this study were compared with those obtained from other block copolymers based on PNVP. Full article
(This article belongs to the Special Issue Block Copolymers: Self-Assembly and Applications, 2nd Edition)
Show Figures

Figure 1

14 pages, 2199 KB  
Article
Amide-Containing Bottlebrushes via Continuous-Flow Photoiniferter Reversible Addition–Fragmentation Chain Transfer Polymerization: Micellization Behavior
by Alexey Sivokhin, Dmitry Orekhov, Oleg Kazantsev, Ksenia Otopkova, Olga Sivokhina, Ilya Chuzhaykin, Alexey Ovchinnikov, Olga Zamyshlyayeva, Irina Pavlova, Olga Ozhogina and Maria Chubenko
Polymers 2024, 16(1), 134; https://doi.org/10.3390/polym16010134 - 31 Dec 2023
Cited by 2 | Viewed by 1908
Abstract
Herein, a series of ternary amphiphilic amide-containing bottlebrushes were synthesized by photoiniferter (PI-RAFT) polymerization of macromonomers in continuous-flow mode using trithiocarbonate as a chain transfer agent. Visible light-mediated polymerization of macromonomers under mild conditions enabled the preparation of thermoresponsive copolymers with low dispersity [...] Read more.
Herein, a series of ternary amphiphilic amide-containing bottlebrushes were synthesized by photoiniferter (PI-RAFT) polymerization of macromonomers in continuous-flow mode using trithiocarbonate as a chain transfer agent. Visible light-mediated polymerization of macromonomers under mild conditions enabled the preparation of thermoresponsive copolymers with low dispersity and high yields in a very short time, which is not typical for the classical reversible addition–fragmentation chain transfer process. Methoxy oligo(ethylene glycol) methacrylate and alkoxy(C12–C14) oligo(ethylene glycol) methacrylate were used as the basic monomers providing amphiphilic and thermoresponsive properties. The study investigated how modifying comonomers, acrylamide (AAm), methacrylamide (MAAm), and N-methylacrylamide (-MeAAm) affect the features of bottlebrush micelle formation, their critical micelle concentration, and loading capacity for pyrene, a hydrophobic drug model. The results showed that the process is scalable and can produce tens of grams of pure copolymer per day. The unmodified copolymer formed unimolecular micelles at temperatures below the LCST in aqueous solutions, as revealed by DLS and SLS data. The incorporation of AAm, MAAm, and N-MeAAm units resulted in an increase in micelle aggregation numbers. The resulting bottlebrushes formed uni- or bimolecular micelles at extremely low concentrations. These micelles possess a high capacity for loading pyrene, making them a promising choice for targeted drug delivery. Full article
Show Figures

Figure 1

20 pages, 4607 KB  
Article
Influence of the Core Branching Density on Drug Release from Arborescent Poly(γ-benzyl L-glutamate) End-Grafted with Poly(ethylene oxide)
by Mosa Alsehli and Mario Gauthier
Int. J. Transl. Med. 2023, 3(4), 496-515; https://doi.org/10.3390/ijtm3040035 - 12 Dec 2023
Cited by 1 | Viewed by 1734
Abstract
Amphiphilic dendritic copolymers of arborescent poly(γ-benzyl L-glutamate) (PBG) of generations G1 and G2, grafted at their chain ends with poly(ethylene oxide) (PEO) segments (PBG-eg-PEO) were synthesized, characterized, and evaluated as nanocarriers for doxorubicin (DOX). The copolymers were designed with hydrophobic PBG [...] Read more.
Amphiphilic dendritic copolymers of arborescent poly(γ-benzyl L-glutamate) (PBG) of generations G1 and G2, grafted at their chain ends with poly(ethylene oxide) (PEO) segments (PBG-eg-PEO) were synthesized, characterized, and evaluated as nanocarriers for doxorubicin (DOX). The copolymers were designed with hydrophobic PBG cores having three different branching densities and were characterized by proton nuclear magnetic resonance (1H NMR) spectroscopy, size exclusion chromatography (SEC), transmission electron microscopy (TEM), and atomic force microscopy (AFM). Dynamic light scattering (DLS) measurements revealed that these amphiphilic molecules behaved like unimolecular micelles without significant aggregation in aqueous media such as phosphate-buffered saline (PBS), with diameters in the 13–29 nm range depending on the generation number and the core structure. Efficient encapsulation of DOX by these unimolecular micelles was demonstrated with drug loading capacities of up to 11.2 wt%, drug loading efficiencies of up to 67%, and pH-responsive sustained drug release, as determined by UV spectroscopy. The generation number of the copolymers and the branching density of the dendritic PBG core were found to have influenced the encapsulation and release properties of the micelles. Given the tailorable characteristics, good water dispersibility, and biocompatibility of the components used to synthesize the amphiphilic arborescent copolymers, these systems should be useful as robust nanocarriers for a broad range of therapeutic and diagnostic agents. Full article
Show Figures

Figure 1

15 pages, 4190 KB  
Article
Evaluation of Encapsulation Potential of Selected Star-Hyperbranched Polyglycidol Architectures: Predictive Molecular Dynamics Simulations and Experimental Validation
by Mateusz Gosecki, Malgorzata Urbaniak, Nuno Martinho, Monika Gosecka and Mire Zloh
Molecules 2023, 28(21), 7308; https://doi.org/10.3390/molecules28217308 - 28 Oct 2023
Cited by 2 | Viewed by 2053
Abstract
Polymers, including non-linear copolymers, have great potential in the development of drug delivery systems with many advantages, but the design requires optimizing polymer–drug interactions. Molecular dynamics (MD) simulations can provide insights into polymer–drug interactions for designing delivery systems, but mimicking formulation processes such [...] Read more.
Polymers, including non-linear copolymers, have great potential in the development of drug delivery systems with many advantages, but the design requires optimizing polymer–drug interactions. Molecular dynamics (MD) simulations can provide insights into polymer–drug interactions for designing delivery systems, but mimicking formulation processes such as drying is often not included in in silico studies. This study demonstrates an MD approach to model drying of systems comprising either hydrophilic tinidazole or hydrophobic clotrimazole drugs with amphiphilic hyperbranched copolyethers. The simulated drying protocol was critical for elucidating drug encapsulation and binding mechanisms. Experimentally, two polymers were synthesized and shown to encapsulate clotrimazole with up to 83% efficiency, guided by interactions with the hydrophobic core observed in simulations. In contrast, tinidazole is associated with surface regions, indicating capacity differences between drug types. Overall, this work highlights MD simulation of the drying process as an important tool for predicting drug–polymer complex behaviour. The modelled formulation protocol enabled high encapsulation efficiency and opened possibilities for the design of delivery systems based on computationally derived binding mechanisms. This demonstrates a computational–experimental approach where simulated drying was integral to elucidating interactions and developing optimized complexes, emphasizing the value of molecular modelling for the development of drug delivery formulations. Full article
(This article belongs to the Special Issue ECSOC-26)
Show Figures

Figure 1

19 pages, 4462 KB  
Article
Unimolecular Micelles from Randomly Grafted Arborescent Copolymers with Different Core Branching Densities: Encapsulation of Doxorubicin and In Vitro Release Study
by Mosa Alsehli and Mario Gauthier
Materials 2023, 16(6), 2461; https://doi.org/10.3390/ma16062461 - 20 Mar 2023
Cited by 3 | Viewed by 2136
Abstract
A series of amphiphilic arborescent copolymers of generations G1 and G2 with an arborescent poly(γ-benzyl L-glutamate) (PBG) core and poly(ethylene oxide) (PEO) chain segments in the shell, PBG-g-PEO, were synthesized and evaluated as drug delivery nanocarriers. The PBG building blocks were [...] Read more.
A series of amphiphilic arborescent copolymers of generations G1 and G2 with an arborescent poly(γ-benzyl L-glutamate) (PBG) core and poly(ethylene oxide) (PEO) chain segments in the shell, PBG-g-PEO, were synthesized and evaluated as drug delivery nanocarriers. The PBG building blocks were generated by ring-opening polymerization of γ-benzyl L-glutamic acid N-carboxyanhydride (Glu-NCA) initiated with n-hexylamine. Partial or full deprotection of the benzyl ester groups followed by coupling with PBG chains yielded a comb-branched (arborescent polymer generation zero or G0) PBG structure. Additional cycles of deprotection and grafting provided G1 and G2 arborescent polypeptides. Side chains of poly(ethylene oxide) were then randomly grafted onto the arborescent PBG substrates to produce amphiphilic arborescent copolymers. Control over the branching density of G0PBG was investigated by varying the length and the deprotection level of the linear PBG substrates used in their synthesis. Three G0PBG cores with different branching densities, varying from a compact and dense to a loose and more porous structure, were thus synthesized. These amphiphilic copolymers behaved similar to unimolecular micelles in aqueous solutions, with a unimodal number- and volume-weighted size distributions in dynamic light scattering measurements. It was demonstrated that these biocompatible copolymers can encapsulate hydrophobic drugs such as doxorubicin (DOX) within their hydrophobic core with drug loading efficiencies of 42–65%. Sustained and pH-responsive DOX release was observed from the unimolecular micelles, which suggests that they could be useful as drug nanocarriers for cancer therapy. Full article
(This article belongs to the Special Issue Νanoparticles for Biomedical Applications)
Show Figures

Graphical abstract

23 pages, 5419 KB  
Article
Construction of Enzyme-Responsive Micelles Based on Theranostic Zwitterionic Conjugated Bottlebrush Copolymers with Brush-on-Brush Architecture for Cell Imaging and Anticancer Drug Delivery
by Fangjun Liu, Dun Wang, Jiaqi Wang, Liwei Ma, Cuiyun Yu and Hua Wei
Molecules 2022, 27(9), 3016; https://doi.org/10.3390/molecules27093016 - 7 May 2022
Cited by 10 | Viewed by 3442
Abstract
Bottlebrush copolymers with different chemical structures and compositions as well as diverse architectures represent an important kind of material for various applications, such as biomedical devices. To our knowledge, zwitterionic conjugated bottlebrush copolymers integrating fluorescence imaging and tumor microenvironment-specific responsiveness for efficient intracellular [...] Read more.
Bottlebrush copolymers with different chemical structures and compositions as well as diverse architectures represent an important kind of material for various applications, such as biomedical devices. To our knowledge, zwitterionic conjugated bottlebrush copolymers integrating fluorescence imaging and tumor microenvironment-specific responsiveness for efficient intracellular drug release have been rarely reported, likely because of the lack of an efficient synthetic approach. For this purpose, in this study, we reported the successful preparation of well-defined theranostic zwitterionic bottlebrush copolymers with unique brush-on-brush architecture. Specifically, the bottlebrush copolymers were composed of a fluorescent backbone of polyfluorene derivate (PFONPN) possessing the fluorescence resonance energy transfer with doxorubicin (DOX), primary brushes of poly(2-hydroxyethyl methacrylate) (PHEMA), and secondary graft brushes of an enzyme-degradable polytyrosine (PTyr) block as well as a zwitterionic poly(oligo (ethylene glycol) monomethyl ether methacrylate-co-sulfobetaine methacrylate) (P(OEGMA-co-SBMA)) chain with super hydrophilicity and highly antifouling ability via elegant integration of Suzuki coupling, NCA ROP and ATRP techniques. Notably, the resulting bottlebrush copolymer, PFONPN9-g-(PHEMA15-g-(PTyr16-b-P(OEGMA6-co-SBMA6)2)) (P2) with a lower MW ratio of the hydrophobic side chains of PTyr and hydrophilic side chains of P(OEGMA-co-SBMA) could self-assemble into stabilized unimolecular micelles in an aqueous phase. The resulting unimolecular micelles showed a fluorescence quantum yield of 3.9% that is mainly affected by the pendant phenol groups of PTyr side chains and a drug-loading content (DLC) of approximately 15.4% and entrapment efficiency (EE) of 90.6% for DOX, higher than the other micelle analogs, because of the efficient supramolecular interactions of π–π stacking between the PTyr blocks and drug molecules, as well as the moderate hydrophilic chain length. The fluorescence of the PFONPN backbone enables fluorescence resonance energy transfer (FRET) with DOX and visualization of intracellular trafficking of the theranostic micelles. Most importantly, the drug-loaded micelles showed accelerated drug release in the presence of proteinase K because of the enzyme-triggered degradation of PTyr blocks and subsequent deshielding of P(OEGMA-co-SBMA) corona for micelle destruction. Taken together, we developed an efficient approach for the synthesis of enzyme-responsive theranostic zwitterionic conjugated bottlebrush copolymers with a brush-on-brush architecture, and the resulting theranostic micelles with high DLC and tumor microenvironment-specific responsiveness represent a novel nanoplatform for simultaneous cell image and drug delivery. Full article
(This article belongs to the Special Issue Design of Functional Polymer Materials for Drug Controlled Release)
Show Figures

Figure 1

15 pages, 3052 KB  
Article
Random and Diblock Thermoresponsive Oligo(ethylene glycol)-Based Copolymers Synthesized via Photo-Induced RAFT Polymerization
by Alexey Sivokhin, Dmitry Orekhov, Oleg Kazantsev, Olga Sivokhina, Sergey Orekhov, Denis Kamorin, Ksenia Otopkova, Michael Smirnov and Rostislav Karpov
Polymers 2022, 14(1), 137; https://doi.org/10.3390/polym14010137 - 30 Dec 2021
Cited by 15 | Viewed by 3034
Abstract
Amphiphilic random and diblock thermoresponsive oligo(ethylene glycol)-based (co)polymers were synthesized via photoiniferter polymerization under visible light using trithiocarbonate as a chain transfer agent. The effect of solvent, light intensity and wavelength on the rate of the process was investigated. It was shown that [...] Read more.
Amphiphilic random and diblock thermoresponsive oligo(ethylene glycol)-based (co)polymers were synthesized via photoiniferter polymerization under visible light using trithiocarbonate as a chain transfer agent. The effect of solvent, light intensity and wavelength on the rate of the process was investigated. It was shown that blue and green LED light could initiate RAFT polymerization of macromonomers without an exogenous initiator at room temperature, giving bottlebrush polymers with low dispersity at sufficiently high conversions achieved in 1–2 h. The pseudo-living mechanism of polymerization and high chain-end fidelity were confirmed by successful chain extension. Thermoresponsive properties of the copolymers in aqueous solutions were studied via turbidimetry and laser light scattering. Random copolymers of methoxy- and alkoxy oligo(ethylene glycol) methacrylates of a specified length formed unimolecular micelles in water with a hydrophobic core consisting of a polymer backbone and alkyl groups and a hydrophilic oligo(ethylene glycol) shell. In contrast, the diblock copolymer formed huge multimolecular micelles. Full article
Show Figures

Figure 1

19 pages, 17624 KB  
Article
Star-Shaped Poly(furfuryl glycidyl ether)-Block-Poly(glyceryl glycerol ether) as an Efficient Agent for the Enhancement of Nifuratel Solubility and for the Formation of Injectable and Self-Healable Hydrogel Platforms for the Gynaecological Therapies
by Piotr Ziemczonek, Monika Gosecka, Mateusz Gosecki, Monika Marcinkowska, Anna Janaszewska and Barbara Klajnert-Maculewicz
Int. J. Mol. Sci. 2021, 22(16), 8386; https://doi.org/10.3390/ijms22168386 - 4 Aug 2021
Cited by 14 | Viewed by 3148
Abstract
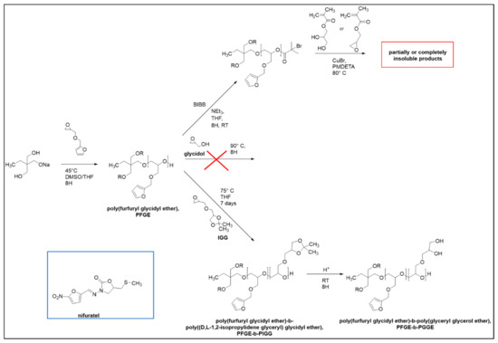
In this paper, we present novel well-defined unimolecular micelles constructed a on poly(furfuryl glycidyl ether) core and highly hydrophilic poly(glyceryl glycerol ether) shell, PFGE-b-PGGE. The copolymer was synthesized via anionic ring-opening polymerization of furfuryl glycidyl ether and (1,2-isopropylidene glyceryl) glycidyl ether, respectively. MTT [...] Read more.
In this paper, we present novel well-defined unimolecular micelles constructed a on poly(furfuryl glycidyl ether) core and highly hydrophilic poly(glyceryl glycerol ether) shell, PFGE-b-PGGE. The copolymer was synthesized via anionic ring-opening polymerization of furfuryl glycidyl ether and (1,2-isopropylidene glyceryl) glycidyl ether, respectively. MTT assay revealed that the copolymer is non-cytotoxic against human cervical cancer endothelial (HeLa) cells. The copolymer thanks to furan moieties in its core is capable of encapsulation of nifuratel, a hydrophobic nitrofuran derivative, which is a drug applied in the gynaecology therapies that shows a broad antimicroorganism spectrum. The study shows high loading capacity of the copolymer, i.e., 146 mg of nifuratel per 1 g of copolymer. The load unimolecular micelles were characterized using DLS and TEM microscopy and compared with the reference glyceryl glycerol ether homopolymer sample. The presence of numerous 1,2-diol moieties in the shell of PFGE-b-PGG macromolecules enabled the formation of reversible cross-links with 2-acrylamidephenylboronic acid-based polyacrylamide. The obtained hydrogels were both injectable and self-healable, which was confirmed with a rheological study. Full article
(This article belongs to the Section Materials Science)
Show Figures

Figure 1

24 pages, 4918 KB  
Article
Micellization Behaviour of Linear and Nonlinear Block Copolymers Based on Poly(n-hexyl isocyanate) in Selective Solvents
by Aggelos Vazaios, Athanasios Touris, Mikel Echeverria, Georgia Zorba and Marinos Pitsikalis
Polymers 2020, 12(8), 1678; https://doi.org/10.3390/polym12081678 - 28 Jul 2020
Cited by 8 | Viewed by 2776
Abstract
Block copolymers have attracted significant scientific and economic interest over the last decades due to their ability to self-assemble into ordered structures both in bulk and in selective solvents. In this work, the self-assembly behaviour of both linear (diblocks, triblocks and pentablocks) and [...] Read more.
Block copolymers have attracted significant scientific and economic interest over the last decades due to their ability to self-assemble into ordered structures both in bulk and in selective solvents. In this work, the self-assembly behaviour of both linear (diblocks, triblocks and pentablocks) and nonlinear (miktoarm stars and a block-graft) copolymers based on poly(n-hexyl isocyanate), PHIC, were studied in selective solvents such as n-heptane and n-dodecane. A variety of experimental techniques, namely static and dynamic light scattering, dilute solution viscometry and atomic force microscopy, were employed to study the micellar structural parameters (e.g., aggregation number, overall micellar size and shape, and core and shell dimensions). The effect of the macromolecular architecture, the molecular weight and the copolymer composition on the self-assembly behaviour was studied. Spherical micelles in equilibrium with clusters were obtained from the block copolymers. Thermally stable, uniform and spherical aggregates were found from the triblock copolymers. The poly(n-hexyl isocyanate)-b-polyisoprene-b-poly(n-hexyl isocyanate),-HIH copolymers tend to adopt closed loop conformation, leading to more elongated cylindrical-type structures upon increasing the concentration. Clustering effects were also reported in the case of the pentablock terpolymers. The topology of the blocks plays an important role, since the poly(n-hexyl isocyanate)-b-polystyrene-b-polyisoprene-b-polystyrene-b-poly(n-hexyl isocyanate), HSISH terpolymer shows intermicellar fusion of spherical micelles, leading to the formation of extended networks. The formation of spherical micelles in equilibrium with clusters was obvious in the case of the miktoarm stars, whereas the block-graft copolymer shows the existence of mainly unimolecular micelles. Full article
(This article belongs to the Special Issue Polymers and Nanomaterials: Interactions and Applications)
Show Figures

Graphical abstract

19 pages, 1840 KB  
Review
Complex Polymeric Architectures Self-Assembling in Unimolecular Micelles: Preparation, Characterization and Drug Nanoencapsulation
by Stefania Ordanini and Francesco Cellesi
Pharmaceutics 2018, 10(4), 209; https://doi.org/10.3390/pharmaceutics10040209 - 1 Nov 2018
Cited by 45 | Viewed by 5692
Abstract
Unimolecular polymeric micelles are a class of single-molecule amphiphilic core-shell polymeric architectures, where the hydrophobic core is well stabilized by the hydrophilic shell, avoiding intermolecular core-core interactions. Multi-arm copolymers with a dendritic core, as well as hyperbranched and comb-like polymers, can form unimolecular [...] Read more.
Unimolecular polymeric micelles are a class of single-molecule amphiphilic core-shell polymeric architectures, where the hydrophobic core is well stabilized by the hydrophilic shell, avoiding intermolecular core-core interactions. Multi-arm copolymers with a dendritic core, as well as hyperbranched and comb-like polymers, can form unimolecular micelles easily. In this review, examples of polymers able to form detectable unimolecular micelles will be presented, summarizing the analytical techniques used to characterize the unimolecular micelles and discriminate them from other supramolecular aggregates, such as multi-micelle aggregates. Unimolecular micelles are suitable for the nanoencapsulation of guest molecules. Compared to traditional supramolecular micelles, unimolecular micelles do not disassemble under dilution and are stable to environmental modifications. Recent examples of their application as drug delivery systems, endowed with increased stability and transport properties, will be discussed. Full article
(This article belongs to the Special Issue Micro and Nano Encapsulation Techniques)
Show Figures

Graphical abstract

16 pages, 2266 KB  
Article
Arborescent Unimolecular Micelles: Poly(γ-Benzyl l-Glutamate) Core Grafted with a Hydrophilic Shell by Copper(I)-Catalyzed Azide–Alkyne Cycloaddition Coupling
by Mario Gauthier and Greg Whitton
Polymers 2017, 9(10), 540; https://doi.org/10.3390/polym9100540 - 23 Oct 2017
Cited by 4 | Viewed by 5336
Abstract
Amphiphilic copolymers were obtained by grafting azide-terminated polyglycidol, poly(ethylene oxide), or poly(2-hydroxyethyl acrylate) chain segments onto alkyne-functionalized arborescent poly(γ-benzyl l-glutamate) (PBG) cores of generations G1–G3 via copper(I)-catalyzed azide–alkyne Huisgen cycloaddition (CuAAC) coupling. The alkyne functional groups on the arborescent PBG substrates were [...] Read more.
Amphiphilic copolymers were obtained by grafting azide-terminated polyglycidol, poly(ethylene oxide), or poly(2-hydroxyethyl acrylate) chain segments onto alkyne-functionalized arborescent poly(γ-benzyl l-glutamate) (PBG) cores of generations G1–G3 via copper(I)-catalyzed azide–alkyne Huisgen cycloaddition (CuAAC) coupling. The alkyne functional groups on the arborescent PBG substrates were either distributed randomly or located exclusively at the end of the chains added in the last grafting cycle of the core synthesis. The location of these coupling sites influenced the ability of the arborescent copolymers to form unimolecular micelles in aqueous environments: The chain end grafting approach provided enhanced dispersibility in aqueous media and favored the formation of unimolecular micelles in comparison to random grafting. This is attributed to a better defined core-shell morphology for the copolymers with end-grafted shell segments. Aqueous solubility also depended on the type of material used for the shell chains. Coupling by CuAAC opens up possibilities for grafting a broad range of polymers on the arborescent substrates under mild conditions. Full article
(This article belongs to the Special Issue From Amphiphilic to Polyphilic Polymers)
Show Figures

Graphical abstract

Back to TopTop