Sign in to use this feature.

Years

Between: -

Subjects

remove_circle_outline
remove_circle_outline
remove_circle_outline
remove_circle_outline

Journals

Article Types

Countries / Regions

Search Results (6)

Search Parameters:
Keywords = undecomposed organic matter

Order results
Result details
Results per page
Select all
Export citation of selected articles as:
18 pages, 2205 KB  
Article
Salinity Mediates Tamarix chinensis Litter Decomposition to Enhance Soil Enzyme Activity in Coastal Saline–Alkali Soils
by Yue Lu, Lingtai Kong, Shihui Li, Pan Lun, Fanglei Gao, Qiqi Cao and Jiangbao Xia
Plants 2025, 14(17), 2674; https://doi.org/10.3390/plants14172674 - 27 Aug 2025
Viewed by 643
Abstract
The aim of this study was to explore the decomposition characteristics of Tamarix chinensis litter and its soil-improving capacity under different salinities. Four treatments were designed: a control (CK) treatment without saline water injection and three treatments encompassing slightly (SS, 0.4% soil salinity), [...] Read more.
The aim of this study was to explore the decomposition characteristics of Tamarix chinensis litter and its soil-improving capacity under different salinities. Four treatments were designed: a control (CK) treatment without saline water injection and three treatments encompassing slightly (SS, 0.4% soil salinity), moderately (SM, 0.8%), and highly saline (SH, 1.2%) conditions. T. chinensis litter at three degrees of decomposition (undecomposed, semidecomposed, and already decomposed) was studied. After 180 days, the litter substrate quality, 0–10 cm soil physicochemical properties, and enzyme activities were measured. Correlation analysis and structural equation modeling were employed to elucidate the interactions and response patterns among soil salinity, the decomposition characteristics of T. chinensis litter, and the physicochemical properties and enzyme activities of surface soil. The results revealed the following: (1) With increasing soil salinity, the contents of litter lignin, cellulose, total carbon and nitrogen residues first decreased but then increased, reaching minima under SM, whereas the content of hemicellulose residue exhibited the opposite trend. With increasing degree of litter decomposition, the contents of lignin and cellulose residues decreased, whereas the contents of hemicellulose, total nitrogen and phosphorus residues increased. (2) With increasing soil salinity, the soil water content, organic matter content, total nitrogen content, and activity of several enzymes increased, peaking under SH. The pH performance followed the order of SS > SM > CK > SH. The total carbon and phosphorus contents first increased but then decreased, with a maximum under SS. The activity of N-acetylamino glucosidase first decreased but then increased and was greatest at moderate and high salinities. (3) The soil water content and level of enzyme activity were significantly correlated with the litter substrate quality. Salinity negatively affected litter substrate residues but positively affected soil physicochemical properties. Litter decomposition under different soil salinities indirectly influenced soil enzymes by affecting soil properties, whereas salinity modulated soil properties directly or through litter decomposition. T. chinensis litter decomposition notably increased enzyme activity in moderate- to high-salinity alkali coastal soils, offering insights for low-efficiency T. chinensis forest management and saline–alkali soil remediation in the Yellow River Delta. Full article
Show Figures

Figure 1

17 pages, 3918 KB  
Article
Contribution of the Soil Macro- and Microstructure to Organic Matter Stabilisation in Natural and Post-Mining/Industrial Soils under Temperate Climatic Conditions
by Messias de Carvalho, Krystyna Ciarkowska and Leszek Wojnar
Sustainability 2024, 16(7), 2747; https://doi.org/10.3390/su16072747 - 26 Mar 2024
Cited by 1 | Viewed by 1560
Abstract
The soil organic matter (SOM) content and stability in natural gypsum soils and mining/industrial soils were compared to check the effects of selected soil properties (mainly macro- and microstructure) on SOM stability and determine whether the old brownfield soils regardless of being highly [...] Read more.
The soil organic matter (SOM) content and stability in natural gypsum soils and mining/industrial soils were compared to check the effects of selected soil properties (mainly macro- and microstructure) on SOM stability and determine whether the old brownfield soils regardless of being highly polluted with trace metals could store high amounts of SOM. The mining/industrial soils were 50–400 years old and so had been left sufficiently long for full self-restoration. Despite having very different origins, both natural and brownfield soils stored similar amounts of SOM and had similar pH values, calcium carbonate contents, and textures but differed in SOM stabilisation, which was expressed by higher C/N ratios, lower aggregate water resistance index, lower dehydrogenase activity, and greater areas of undecomposed or slightly decomposed plant residues in mining/industrial soils compared to gypsum ones. However, the differences diminished with time, and in the oldest (150–400 years) brownfield soils, these parameters were similar to those in natural soils. Multiple regression analysis indicated that under the study conditions, SOM amounts, besides CaCO3 contents and dehydrogenase activity were also strongly affected by porosity and microaggregation. In the research we showed the role of degraded soils in the sustainable use of the environment. Full article
Show Figures

Figure 1

19 pages, 44174 KB  
Article
Response of Soil Aggregate Composition and Stability to Secondary Succession and Plantation of a Broad-Leaved Korean Pine Forest after Clear-Cutting and Its Causes
by Yafei Wang, Lixin Chen, Meixue Qu, Wenbiao Duan, Zhizhen Wang, Zhen Tian and Wen Yang
Forests 2023, 14(10), 2010; https://doi.org/10.3390/f14102010 - 7 Oct 2023
Cited by 2 | Viewed by 1873
Abstract
The composition and stability of soil aggregates are important characteristics for evaluating soil health. The objective of this study was to explore the effects of different restoration modes and secondary succession sequences of Korean pine on the stability of forest soil aggregates after [...] Read more.
The composition and stability of soil aggregates are important characteristics for evaluating soil health. The objective of this study was to explore the effects of different restoration modes and secondary succession sequences of Korean pine on the stability of forest soil aggregates after clear cutting and their causes. The stability and composition of soil aggregates in 0–10 cm, 10–20 cm, and 20–40 cm were analyzed in four natural forests in the secondary succession sequence and a Pinus koraiensis plantation in the clear-cutting area of Liangshui National Nature Reserve, and the effects of forest community characteristics and cementing materials on these aggregates were explored. With the advancement of succession, the large soil water-stable aggregates and mechanical aggregates increased, and the stability increased. From the pioneer community to the top community, the proportion of macroaggregates in the soil mechanical aggregates in the 20–40 cm soil layer increased by 36%, while that in the water-stable aggregates in the 10–20 cm soil layer increased by 19%. Compared with plantation, the stability of soil aggregates in natural forests with a similar age was stronger. Water-stable aggregates were negatively correlated with bulk density, density, and porosity, and positively correlated with organic-matter-related cement. The volume of the dominant tree, litter yield, tree species diversity, biomass of various tree species, and litter biomass in the undecomposed layer were the key indicators affecting the stability of aggregates. In terms of restoration measures, natural restoration is better than plantations with a single tree species. In addition, succession makes forest soil aggregates more stable. The change of dominant tree species leads to changes in soil aggregate stability, and the effect of organic-related cementing material was stronger than that of iron oxide. Full article
(This article belongs to the Section Forest Soil)
Show Figures

Figure 1

15 pages, 2536 KB  
Article
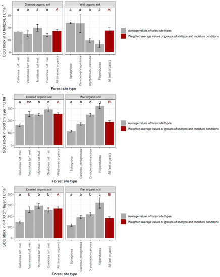
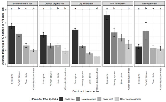
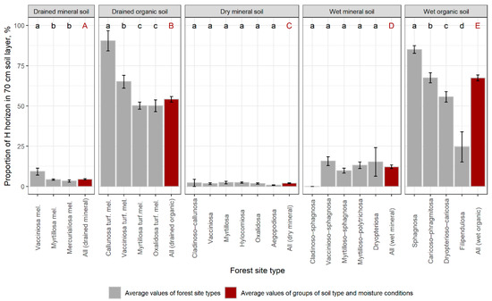
Evaluation of Soil Organic Layers Thickness and Soil Organic Carbon Stock in Hemiboreal Forests in Latvia
by Arta Bārdule, Aldis Butlers, Andis Lazdiņš, Ieva Līcīte, Uldis Zvirbulis, Raimonds Putniņš, Aigars Jansons, Andis Adamovičs and Ģirts Razma
Forests 2021, 12(7), 840; https://doi.org/10.3390/f12070840 - 25 Jun 2021
Cited by 11 | Viewed by 3849
Abstract
In the forest land of many European countries, including hemiboreal Latvia, organic soils are considered to be large sources of greenhouse gas (GHG) emissions. At the same time, growing efforts are expected in the near future to decrease emissions from the Land Use, [...] Read more.
In the forest land of many European countries, including hemiboreal Latvia, organic soils are considered to be large sources of greenhouse gas (GHG) emissions. At the same time, growing efforts are expected in the near future to decrease emissions from the Land Use, Land Use Change and Forestry sector, including lands with organic soils to achieve enhanced contributions to the emissions and removals balance target set by the Paris Agreement. This paper aims to describe the distribution of organic soil layer thickness in forest land based on national forest inventory data and to evaluate soil organic carbon stock in Latvian forests classified as land with organic soil. The average thickness of the forest floor (organic material consisting of undecomposed or partially decomposed litter, O horizon) was greatest in coniferous forests with wet mineral soil, and decreased with increasing soil fertility. However, forest stand characteristics, including basal area and age, were weak predictors of O horizon thickness. In forests with organic soil, a lower proportion of soil organic matter layer (H horizon) in the top 70 cm soil layer, but a higher soil organic carbon stock both in the 0–30 cm layer and in the 0–100 cm layer was found in drained organic soils than in wet organic soils. Furthermore, the distribution of the soil H horizon thickness across different forest site types highlighted the potential overestimation of area of drained organic soils in Latvian forest land reported within the National GHG Inventory. Full article
(This article belongs to the Section Forest Ecology and Management)
Show Figures

Figure 1

22 pages, 3778 KB  
Article
Partial Harvest in Paludified Black Spruce Stand: Short-Term Effects on Water Table and Variation in Stem Diameter
by Samuel Roy Proulx, Sylvain Jutras, Alain Leduc, Marc J. Mazerolle, Nicole J. Fenton and Yves Bergeron
Forests 2021, 12(3), 271; https://doi.org/10.3390/f12030271 - 26 Feb 2021
Cited by 3 | Viewed by 3043
Abstract
The boreal forest is considered to be a low productivity forest due to its cold climate and poorly drained soils promoting paludification. These factors create conditions favouring accumulation of undecomposed organic matter, which causes declining growth rates of forest stands, ultimately converting mature [...] Read more.
The boreal forest is considered to be a low productivity forest due to its cold climate and poorly drained soils promoting paludification. These factors create conditions favouring accumulation of undecomposed organic matter, which causes declining growth rates of forest stands, ultimately converting mature stands into peatlands. Under these conditions, careful logging is conducted during winter, which minimizes soil disturbance in northwestern Quebec boreal forest. This results in water table rise, increased light availability and paludification. Our main objective was to evaluate the short-term effect of partial harvesting as an alternative method to careful logging in winter to mitigate water table rise on black spruce (Picea mariana [Mill.] B.S.P.) stands. We quantified tree stem diameter variation and daily variation in water table depth in mature spruce stands before and after partial harvest (basal area reduction of 40%) and girdling (same basal area reduction with delayed mortality) during 2016 and 2017 growing seasons. Water table variation prior to and following silvicultural treatments did not differ one year after treatment. Daily stem diameter variation in black spruce did not differ between treatments and control. Furthermore, temperature exerted a positive effect on variation in water table and on stem diameter. These results suggest that partial harvest could be more effective than clearcutting to mitigate negative effects of a high water table while limiting paludification. Full article
(This article belongs to the Section Forest Ecology and Management)
Show Figures

Figure 1

16 pages, 1203 KB  
Article
Effects of Thinning on Microbial Community Structure in the Organic Horizon of Chinese Pine Plantations in Badaling, Beijing, China
by Ling Wang, Guangliang Zhao, Yujun Sun, Ying Yang and Hongjuan Zhou
Forests 2019, 10(10), 828; https://doi.org/10.3390/f10100828 - 20 Sep 2019
Cited by 10 | Viewed by 3167
Abstract
Research Highlights: Moderate thinning can effectively improve forestry production and change the microenvironment of understory vegetation. Background and Objectives: Microbial communities control the decomposition and transformation of forest organic matter; however, the influence of thinning on microbes in the organic horizon [...] Read more.
Research Highlights: Moderate thinning can effectively improve forestry production and change the microenvironment of understory vegetation. Background and Objectives: Microbial communities control the decomposition and transformation of forest organic matter; however, the influence of thinning on microbes in the organic horizon remains unclear. Materials and Methods: In this study, we subjected four plots of Chinese pine plantations in Badaling, Beijing to different thinning intensities, including no thinning (T0), low-intensity thinning (T10), medium-intensity thinning (T20), and high-intensity thinning (T50). The changes in chemical properties and microbial community compositions observed in the organic horizon, which comprised undecomposed litter (L layer) and half-decomposed litter (F layer), were analyzed after thinning. Microbial community compositions were evaluated using phospholipid fatty acid (PLFA) methods. Results: The results showed that the abundances of gram-negative bacteria (GN) and total bacteria (B) under the T10 thinning condition were the highest among the four thinning intensities, and the abundance of arbuscular mycorrhizal fungi (AMF) in T20 was higher than under other thinning intensities. The abundance of gram-positive bacteria (GP) and actinobacteria (ACT) in T10 was lower than in both T0 and T50. The abundance of total PLFAs and fungi (FU) was higher in the L layer, whereas the abundance of GP, GN, B, ACT, and AMF was higher in the F layer. Conclusions: Our results demonstrated that the L layer better reflects the influence of thinning on litter. Redundancy analysis (RDA) results indicated that the organic carbon (LOC), dissolved organic carbon (DOC), and ammonium nitrogen (NH4+-N)contents of litter were primarily responsible for the observed changes in microbial community structure, with LOC alone explaining 62.6% of the total variance among the litter substrate factors selected. Overall, moderate-intensity thinning of Pinus tabulaeformis Carr. plantations created more favorable conditions for microbial communities in the organic horizon. Full article
Show Figures

Figure 1

Back to TopTop