Evaluation of Soil Organic Layers Thickness and Soil Organic Carbon Stock in Hemiboreal Forests in Latvia
Abstract
1. Introduction
2. Materials and Methods
2.1. Study Area
2.2. Measurements of Soil Organic Layer Thickness in Forest Land
2.3. Soil Sampling and Analyses
2.4. Soil Organic Carbon Stock Calculation
2.5. Statistical Analysis
3. Results
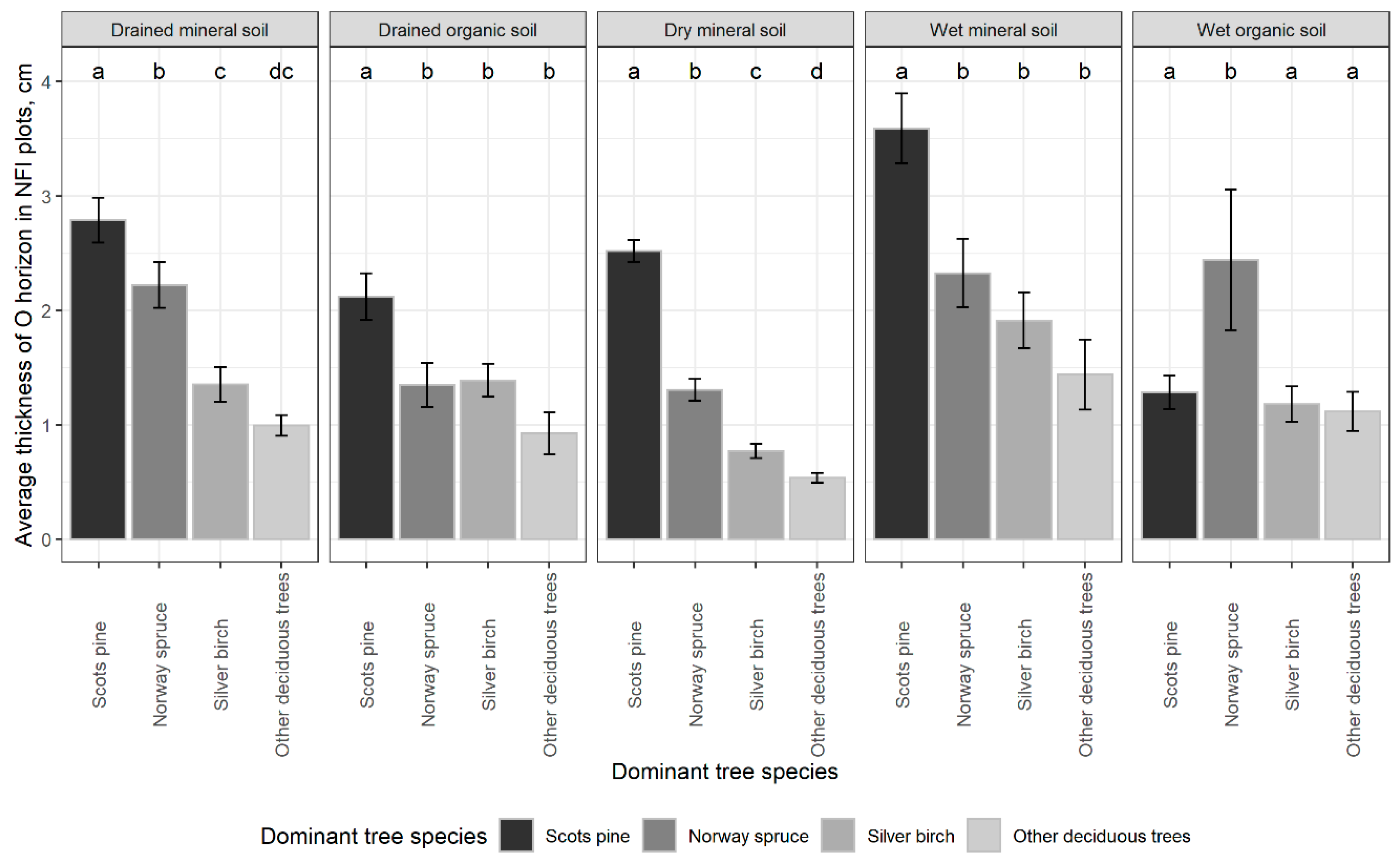
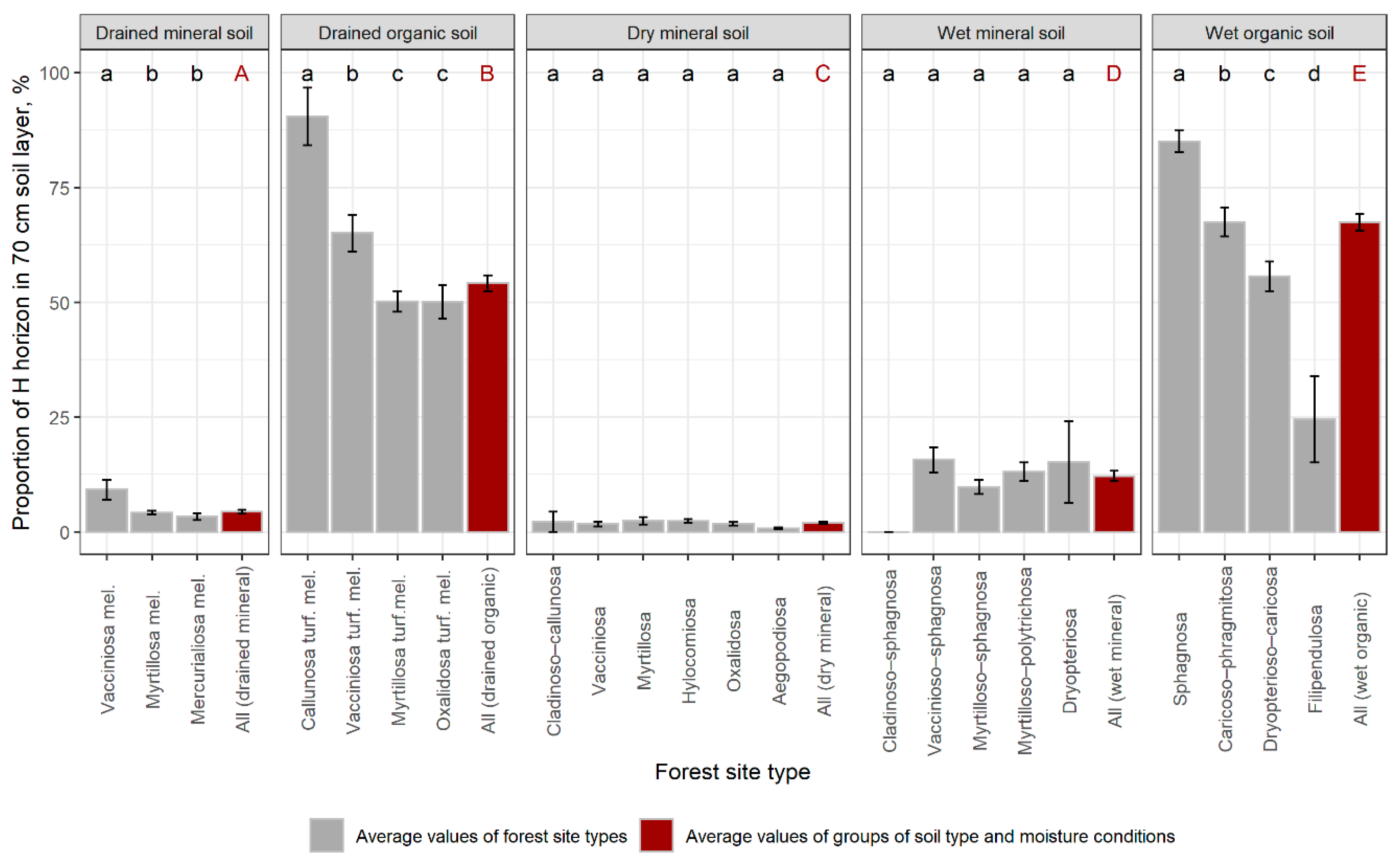
3.1. Thickness of Organic Soil Layers in Forest Land
3.2. Soil Organic Carbon Stock in Forest Land with Organic Soil
4. Discussion
4.1. Thickness of the O Horizon
4.2. Thickness of the H Horizon
4.3. Soil Organic Carbon Stock in Forests with Organic Soils
5. Conclusions
Supplementary Materials
Author Contributions
Funding
Acknowledgments
Conflicts of Interest
References
- Pan, Y.; Birdsey, R.A.; Fang, J.; Houghton, R.; Kauppi, P.E.; Kurz, W.A.; Phillips, O.L.; Shvidenko, A.; Lewis, S.L.; Canadell, J.G.; et al. A large and persistent carbon sink in the world’s forests. Science 2011, 333, 988–993. [Google Scholar] [CrossRef]
- Mayer, M.; Prescott, C.E.; Abaker, W.E.A.; Augusto, L.; Cécillon, L.; Ferreira, G.W.D.; James, J.; Jandl, R.; Katzensteiner, K.; Laclau, J.-P.; et al. Tamm review: Influence of forest management activities on soil organic carbon stocks: A knowledge synthesis. For. Ecol. Manag. 2020, 466, 118127. [Google Scholar] [CrossRef]
- De Vos, B.; Cools, N.; Ilvesniemi, H.; Vesterdal, L.; Vanguelova, E.; Carnicelli, S. Benchmark values for forest soil carbon stocks in Europe: Results from a large scale forest soil survey. Geoderma 2015, 251, 33–46. [Google Scholar] [CrossRef]
- Price, S.P.; Bradford, M.A.; Ashton, M.S. Characterizing organic carbon stocks and flows in forest soils. In Managing Forest Carbon in a Changing Climate; Ashton, M., Tyrrell, M., Spalding, D., Gentry, B., Eds.; Springer: Dordrecht, The Netherlands, 2012; pp. 7–30. [Google Scholar] [CrossRef]
- Schils, R.L.M.; Kuikman, P.; Liski, J.; van Oijen, M.; Smith, P.; Webb, J.; Alm, J.; Somogyi, Z.; van den Akker, J.; Billett, M.; et al. Review of Existing Information on the Interrelations between Soil and Climate Change; European Commission: Brussels, Belgium, 2008; pp. 21–41. [Google Scholar]
- Smith, P. Land use change and soil organic carbon dynamics. Nutr. Cycl. Agroecosyst. 2008, 81, 169–178. [Google Scholar] [CrossRef]
- Adamczyk, B.; Sietiö, O.M.; Straková, P.; Prommer, J.; Wild, B.; Hagner, M.; Pihlatie, M.; Fritze, H.; Richter, A.; Heinonsalo., J. Plant roots increase both decomposition and stable organic matter formation in boreal forest soil. Nat. Commun. 2019, 10, 3982. [Google Scholar] [CrossRef] [PubMed]
- Tubiello, F.N.; Biancalani, R.; Salvatore, M.; Rossi, S.; Conchedda, G. A worldwide assessment of greenhouse gas emissions from drained organic soils. Sustainability 2016, 8, 371. [Google Scholar] [CrossRef]
- Tiemeyer, B.; Freibauer, A.; Borraz, E.A.; Augustin, J.; Bechtold, M.; Beetz, S.; Beyer, C.; Ebli, M.; Eickenscheidt, T.; Fiedler, S.; et al. A new methodology for organic soils in national greenhouse gas inventories: Data synthesis, derivation and application. Ecol. Indic. 2020, 109, 105838. [Google Scholar] [CrossRef]
- UNFCCC. Paris Agreement. Available online: https://unfccc.int/process/conferences/pastconferences/paris-climate-change-conference-november-2015/paris-agreement (accessed on 25 March 2021).
- European Commission. The European Green Deal. Available online: https://eur-lex.europa.eu/resource.html?uri=cellar:b828d165-1c22-11ea-8c1f-01aa75ed71a1.0002.02/DOC_1&format=PDF (accessed on 25 March 2021).
- Ministry of Environmental Protection and Regional Development of Latvia. Informative Report: Strategy of Latvia for the Achievement of Climate Neutrality by 2050. Available online: https://unfccc.int/sites/default/files/resource/LTS1_Latvia.pdf (accessed on 25 March 2021).
- Eglin, T.; Martin, M.; Maurice, D.; Nicolas, M.; Perrier, C.; Buitrago, M.; Landmann, G. Collecting and using data on forest soils. Rev. For. Fr. LXVI 2014, 159–170. [Google Scholar] [CrossRef]
- Wiesmeier, M.; Urbanski, L.; Hobley, E.; Lang, B.; von Luetzow, M.; Marin-Spiotta, E.; van Wesemael, B.; Rabot, E.; Liess, M.; Garcia-Franco, N. Soil organic carbon storage as a key function of soils—A review of drivers and indicators at various scales. Geoderma 2019, 333, 149–162. [Google Scholar] [CrossRef]
- De Vos, B.; Cools, N. Second European Forest Soil Condition Report, Volume I: Results of the BioSoil Soil Survey; Research Institute for Nature and Forest: Brussel, Belgium, 2011; p. 369. [Google Scholar]
- Kasparinskis, R.; Astover, A.; Reintam, E.; Krievāns, M.; Zelčs, V.; Nikodemus, O.; Kārklņš, A.; Rotkovska, I.; Amatniece, V.; Bārdiņa, E.; et al. International WRB Soil Classification Field Workshop in Latvia and Estonia, Guidebook; University of Latvia: Riga, Latvia; Estonian University of Life Sciences: Tartu, Estonia, 2017; p. 115. [Google Scholar]
- Kārkliņš, A.; Gemste, I.; Mežals, H.; Nikodemus, O.; Skujāns, R. Taxonomy of Latvia Soils; Latvijas Lauksaimniecības Universitāte: Jelgava, Latvia, 2009; p. 240. [Google Scholar]
- Kasparinskis, R. Diversity of Forest Soils and Its Influencing Factors in Latvia. Ph.D. Thesis, University of Latvia, Riga, Latvia, 18 May 2012. [Google Scholar]
- Latvia’s National Inventory Report 2021. Available online: https://unfccc.int/ghg-inventories-annex-i-parties/2021 (accessed on 25 March 2021).
- Bušs, K. Forest Ecology and Typology; Zinātne: Rīga, Latvija, 1981; p. 64. [Google Scholar]
- Zālītis, P. Preconditions for Forestry; LVMI Silava: Rīga, Latvija, 2006; p. 219. [Google Scholar]
- IPCC 2006. 2006. 2006 IPCC Guidelines for national greenhouse gas Inventories. In IPCC National Greenhouse Gas Inventories Programme; Eggleston, H.S., Buendia, L., Miwa, K., Ngara, T., Tanabe, K., Eds.; IGES: Kanagawa, Japan, 2006. [Google Scholar]
- Kārkliņš, A. Organic soils in the context of green house gas inventory. In Proceedings of the Zinātniski Praktiskā Konference Līdzsvarota Lauksaimniecība, Jelgava, Latvia, 25–26 February 2016; LLU: Jelgava, Latvia, 2016; pp. 40–44. [Google Scholar]
- European Environment Agency. European Forest Types. Categories and Types for Sustainable Forest Management Reporting and Policy, 2nd ed.; EEA: Copenhagen, Denmark, 2007; pp. 43–46. [Google Scholar]
- FAO. World Reference Base for Soil Resources; Food and Agriculture Organization of the United Nations: Rome, Italy, 1998. [Google Scholar]
- Cools, N.; De Vos, B. Part X: Sampling and analysis of soil. In Manual on Methods and Criteria for Harmonized Sampling, Assessment, Monitoring and Analysis of the Effects of Air Pollution on Forests; UNECE ICP Forests Programme Co-ordinating Centre, Ed.; Thünen Institute of Forest Ecosystems: Eberswalde, Germany, 2011; p. 29. [Google Scholar]
- LVS ISO 11464:2006. Soil Quality–Pretreatment of Samples for Physico-Chemical Analysis; LVS/STK/25 Vides kvalitāte, Latvia; International Organization for Standardization: Geneva, Switzerland, 2006; p. 14. [Google Scholar]
- LVS ISO 11272:2017. Soil Quality–Determination of Dry Bulk Density; ISO/TC 190/SC 3 Chemical Methods and Soil Characteristics, Latvia; International Organization for Standardization: Geneva, Switzerland, 2017; p. 23. [Google Scholar]
- LVS ISO 11277:2020. Soil Quality–Determination of Particle Size Distribution in Mineral Soil Material–Method by Sieving and Sedimentation; ISO/TC 190 Soil Quality, Latvia; International Organization for Standardization: Geneva, Switzerland, 2020; p. 37. [Google Scholar]
- LVS ISO 10694:2006. Soil Quality–Determination of Organic and Total Carbon after Dry Combustion (Elementary Analysis); LVS/STK/25 Vides kvalitāte, Latvia; International Organization for Standardization: Geneva, Switzerland, 2006; p. 12. [Google Scholar]
- ISO 10693:1995. Soil Quality–Determination of Carbonate Content–Volumetric Method; LVS Standartizācijas Nodaļa, Latvijas Standarts; International Organization for Standardization: Geneva, Switzerland, 1995; p. 8. [Google Scholar]
- National Forest Inventory. Available online: http://www.silava.lv/petijumi/nacionlais-mea-monitorings.aspx (accessed on 25 March 2021).
- The R Project for Statistical Computing. Available online: https://www.r-project.org/ (accessed on 25 March 2021).
- Bārdule, A.; Petaja, G.; Butlers, A.; Purviņa, D.; Lazdiņš, A. Estimation of litter input in hemi-boreal forests with drained organic soils for improvement of GHG inventories. Balt. For. under review.
- Hobbie, S.E.; Reich, P.B.; Oleksyn, J.; Ogdahl, M.; Zytkowiak, R.; Hale, C.; Karolewski, P. Tree species effects on decomposition and forest floor dynamics in a common garden. Ecology 2006, 87, 2288–2297. [Google Scholar] [CrossRef]
- Jacob, M.; Viedenz, K.; Polle, A.; Thomas, F.M. Leaf litter decomposition in temperate deciduous forest stands with a decreasing fraction of beech (fagus sylvatica). Oecologia 2010, 164, 1083–1094. [Google Scholar] [CrossRef] [PubMed]
- Berg, B.; Meentemeyer, V. Litter quality in a north European transect versus carbon storage potential. Plant. Soil 2002, 242, 83–92. [Google Scholar] [CrossRef]
- Holden, J.; Chapman, P.J.; Labadz, J.C. Artificial drainage of peatlands: Hydrological and hydrochemical process and wetland restoration. Prog. Phys. Geogr. 2004, 28, 95–123. [Google Scholar] [CrossRef]
- Straková, P.; Anttila, J.; Spetz, P.; Kitunen, V.; Tapanila, T.; Laiho, R. Litter quality and its response to water level drawdown in boreal peatlands at plant species and community level. Plant. Soil 2010, 335, 501–520. [Google Scholar] [CrossRef]
- Nikodemus, O.; Kļaviņš, M.; Krišjāne, Z.; Zelčs, V. Latvija. Zeme, Daba, Tauta, Valsts; Latvijas Universitātes Akadēmiskais apgāds: Rīga, Latvia, 2018; p. 752. [Google Scholar]
- Laiho, R.; Vasander, H.; Penttilä, T.; Laine, J. Dynamics of plant-mediated organic matter and nutrient cycling following water-level draw-down in boreal peatlands. Glob. Biogeochem. Cycles 2003, 17, 22-1–22-11. [Google Scholar] [CrossRef]
- Minkkinen, K.; Laine, J. Long-term effect of forest drainage on the peat carbon stores of pine mires in Finland. Can. J. For. Res. 1998, 28, 1267–1275. [Google Scholar] [CrossRef]
- Lupiķis, A.; Lazdiņš, A. Soil carbon stock changes in transitional mire drained for forestry in Latvia: A case study. Res. Rural Dev. 2017, 1, 55–61. [Google Scholar] [CrossRef]
- Szajdak, L.W.; Jezierski, A.; Wegner, K.; Meysner, T.; Szczepański, M. Influence of drainage on peat organic matter: Implications for development, stability, and transformation. Molecules 2020, 25, 2587. [Google Scholar] [CrossRef]
- Briggs, R.D. Soil development and properties. In Encyclopedia of Forest Sciences, 1st ed.; Evans, J., Youngquist, J., Eds.; Elsevier Ltd.: Amsterdam, The Netherlands; Academic Press: Cambridge, MA, USA, 2004; pp. 1223–1227. [Google Scholar]
- Fioretto, A.; Di Nardo, C.; Papa, S.; Fuggi, A. Lignin and cellulose degradation and nitrogen dynamics during decomposition of three leaf litter species in a Mediterranean ecosystem. Soil Biol. Biochem. 2005, 37, 1083–1091. [Google Scholar] [CrossRef]
- Nicolás, C.; Martin-Bertelsen, T.; Floudas, D.; Bentzer, J.; Smits, M.; Johansson, T.; Troein, C.; Persson, P.; Tunlid, A. The soil organic matter decomposition mechanisms in ectomycorrhizal fungi are tuned for liberating soil organic nitrogen. ISME J. 2019, 13, 977–988. [Google Scholar] [CrossRef]
- Salah, Y.M.S.; Scholes, M.C. Effect of temperature and litter quality on decomposition rate of Pinus patula needle litter. Procedia Environ. Sci. 2011, 6, 180–193. [Google Scholar] [CrossRef]
- Tucker Serniak, L. The effects of earthworms on carbon dynamics in forest soils. Ref. Modul. Earth Syst. Environ. Sci. 2017. [Google Scholar] [CrossRef]
- Liu, C.; Westman, C.J.; Berg, B.; Kutsch, W.; Wang, G.Z.; Man, R.; Ilvesniemi, H. Variation in litterfall-climate relationships between coniferous and broadleaf forests in Eurasia. Glob. Ecol. Biogeogr. 2004, 13, 105–114. [Google Scholar] [CrossRef]
- Neumann, M.; Ukonmaanaho, L.; Johnson, J.; Benham, S.; Vesterdal, L.; Novotný, R.; Verstraeten, A.; Lundin, L.; Thimonier, A.; Michopoulos, P.; et al. Quantifying carbon and nutrient input from litterfall in European forests using field observations and modeling. Glob. Biogeochem. Cycles 2018, 32, 784–798. [Google Scholar] [CrossRef]
- Dalsgaard, L.; Lange, H.; Strand, L.T.; Callesen, I.; Kynding Borgen, S.; Liski, J.; Rasmus, A. Underestimation of boreal forest soil carbon stocks related to soil classification and drainage. Can. J. For. Res. 2016, 46, 1413–1425. [Google Scholar] [CrossRef]
- Butlers, A.; Lazdins, A. Carbon stock in litter and organic soil in drained and naturally wet forest lands in Latvia. Res. Rural Dev. 2020, 35, 47–54. [Google Scholar] [CrossRef]
- Casselgård, M. Effects of 100 Years of Drainage on Peat Properties in a Drained Peatland Forests in Northern Sweden. Master’s Thesis, Swedish University of Agricultural Science, Umeå, Sweden, 2020. [Google Scholar]
- Simola, H.; Pitkänen, A.; Turunen, J. Carbon loss in drained forestry peatlands in Finland, estimated by re-sampling peatlands surveyed in the 1980s. Eur. J. Soil Sci. 2012, 63, 798–807. [Google Scholar] [CrossRef]
- Flanagan, L.B.; Syed, K.H. Stimulation of both photosynthesis and respiration in response to warmer and drier conditions in a boreal peatland ecosystem. Glob. Chang. Biol. 2011, 17, 2271–2287. [Google Scholar] [CrossRef]
- Lohila, A.; Minkkinen, K.; Aurela, M.; Tuovinen, J.-P.; Penttilä, T.; Ojanen, P.; Laurila, T. Greenhouse gas flux measurements in a forestry-drained peatland indicate a large carbon sink. Biogeosciences 2011, 8, 3203–3218. [Google Scholar] [CrossRef]
- Ojanen, P.; Minkkinen, K.; Alm, J.; Penttilä, T. Soil–atmosphere CO2, CH4 and N2O fluxes in boreal forestry-drained peatlands. For. Ecol. Manag. 2010, 260, 411–421. [Google Scholar] [CrossRef]
- Bārdule, A.; Bāders, E.; Stola, J.; Lazdiņš, A. Forest soil characteristic in Latvia according results of the demonstration project BioSoil. Mežzinātne 2009, 20, 105–124. [Google Scholar]
- Hiederer, R.; Micheli, E.; Durrant, T. Evaluation of the BioSoil Demonstration Project-Soil Data Analysis, EUR 24729 EN; Publication Office of the European Union: Ispra, Italy, 2011; p. 155. [Google Scholar]






| Soil Type and Moisture Conditions 1 | Forest Site Types 2 | Relative Soil Fertility 3 | Characteristics of NFI Plots 4 Where Thickness of Soil Organic Layers Was Measured | Soil Sampling 6 | ||
|---|---|---|---|---|---|---|
| Number of NFI Plots | Average Age 5 (min–max) | Average Standing Volume ± S.E. (min–max), m3 ha−1 | Number of Plots | |||
| Dry mineral soil | Cladinoso–callunosa | very low | 42 | 70 (18–165) | 163 ± 15 (10–466) | - |
| Vacciniosa | low | 148 | 67 (1–165) | 213 ± 11 (<0.1–595) | - | |
| Myrtillosa | low | 157 | 68 (1–170) | 268 ± 14 (<0.1–696) | - | |
| Hylocomiosa | medium | 818 | 53 (1–201) | 259 ± 8 (<0.1–1123) | - | |
| Oxalidosa | above average | 950 | 38 (1–182) | 216 ± 6 (<0.1–1753) | - | |
| Aegopodiosa | high | 151 | 56 (1–173) | 264 ± 15 (<0.1–836) | - | |
| Naturally wet mineral soil | Cladinoso–sphagnosa | very low | 2 | 42 (31–53) | 75 ± 50 (25–125) | - |
| Vaccinioso–sphagnosa | low | 73 | 53 (2–153) | 140 ± 13 (<0.1–395) | - | |
| Myrtilloso–sphagnosa | medium | 178 | 54 (1–193) | 204 ± 13 (<0.1–780) | - | |
| Myrtilloso–polytrichosa | above average | 154 | 45 (1–181) | 187 ± 12 (<0.1–567) | - | |
| Dryopteriosa | high | 11 | 47 (10–80) | 248 ± 57 (7–525) | - | |
| Drained mineral soil | Callunosa mel. | low | 2 | 25 (24–25) | 64 ± 20 (44–83) | - |
| Vacciniosa mel. | medium | 69 | 60 (1–141) | 259 ± 20 (<0.1–645) | - | |
| Myrtillosa mel. | above average | 511 | 48 (1–182) | 247 ± 9 (<0.1–1046) | - | |
| Mercurialiosa mel. | high | 236 | 40 (1–103) | 223 ± 13 (<0.1–1458) | - | |
| Naturally wet organic soil | Sphagnosa | low | 137 | 76 (3–178) | 88 ± 6 (<0.1–373) | 13 |
| Caricoso–phragmitosa | medium | 168 | 64 (1–168) | 147 ± 8 (<0.1–445) | 28 | |
| Dryopterioso–caricosa | high | 195 | 47 (4–143) | 172 ± 10 (<0.1–643) | 25 | |
| Filipendulosa | high | 8 | 57 (31–91) | 243 ± 64 (28–523) | 5 | |
| Drained organic soil | Callunosa turf. mel. | low | 22 | 57 (27–210) | 110 ± 14 (9–294) | 13 |
| Vacciniosa turf. mel. | medium | 102 | 67 (1–190) | 202 ± 13 (<0.1–577) | 17 | |
| Myrtillosa turf.mel. | high | 327 | 56 (1–195) | 229 ± 10 (<0.1–759) | 36 | |
| Oxalidosa turf. mel. | high | 138 | 44 (2–129) | 208 ± 14 (<0.1–916) | 37 | |
| Total | all | all | 4599 | 51 (1–210) | 220 ± 3 (<0.1–1753) | 174 |
| Soil Type and Moisture Conditions 1 | Forest Site Types 2 | Relative Soil Fertility 3 | Total Area in Latvia, Kha 4 | Soil Organic Carbon Stock, Mt C | ||
|---|---|---|---|---|---|---|
| O Horizon | 0–30 cm | 0–100 cm | ||||
| Naturally wet organic soil | Sphagnosa | low | 87.6 | 2.09 | 9.86 | 20.65 |
| Caricoso–phragmitosa | medium | 105.5 | 2.48 | 18.06 | 40.72 | |
| Dryopterioso–caricosa | high | 137.3 | 1.32 | 34.07 | 60.17 | |
| Filipendulosa | high | 4.2 | 0.03 | 1.35 | 2.71 | |
| total | - | 334.6 | 5.92 | 63.34 | 124.25 | |
| Drained organic soil | Callunosa turf. mel. | low | 17.2 | 0.29 | 2.77 | 5.05 |
| Vacciniosa turf. mel. | medium | 68.4 | 1.03 | 17.32 | 35.58 | |
| Myrtillosa turf.mel. | high | 216.4 | 4.29 | 53.77 | 127.46 | |
| Oxalidosa turf. mel. | high | 99.0 | 1.38 | 28.83 | 51.12 | |
| total | - | 401.1 | 6.99 | 102.69 | 219.20 | |
| Total | all | - | 735.7 | 12.90 | 166.02 | 343.45 |
Publisher’s Note: MDPI stays neutral with regard to jurisdictional claims in published maps and institutional affiliations. |
© 2021 by the authors. Licensee MDPI, Basel, Switzerland. This article is an open access article distributed under the terms and conditions of the Creative Commons Attribution (CC BY) license (https://creativecommons.org/licenses/by/4.0/).
Share and Cite
Bārdule, A.; Butlers, A.; Lazdiņš, A.; Līcīte, I.; Zvirbulis, U.; Putniņš, R.; Jansons, A.; Adamovičs, A.; Razma, Ģ. Evaluation of Soil Organic Layers Thickness and Soil Organic Carbon Stock in Hemiboreal Forests in Latvia. Forests 2021, 12, 840. https://doi.org/10.3390/f12070840
Bārdule A, Butlers A, Lazdiņš A, Līcīte I, Zvirbulis U, Putniņš R, Jansons A, Adamovičs A, Razma Ģ. Evaluation of Soil Organic Layers Thickness and Soil Organic Carbon Stock in Hemiboreal Forests in Latvia. Forests. 2021; 12(7):840. https://doi.org/10.3390/f12070840
Chicago/Turabian StyleBārdule, Arta, Aldis Butlers, Andis Lazdiņš, Ieva Līcīte, Uldis Zvirbulis, Raimonds Putniņš, Aigars Jansons, Andis Adamovičs, and Ģirts Razma. 2021. "Evaluation of Soil Organic Layers Thickness and Soil Organic Carbon Stock in Hemiboreal Forests in Latvia" Forests 12, no. 7: 840. https://doi.org/10.3390/f12070840
APA StyleBārdule, A., Butlers, A., Lazdiņš, A., Līcīte, I., Zvirbulis, U., Putniņš, R., Jansons, A., Adamovičs, A., & Razma, Ģ. (2021). Evaluation of Soil Organic Layers Thickness and Soil Organic Carbon Stock in Hemiboreal Forests in Latvia. Forests, 12(7), 840. https://doi.org/10.3390/f12070840

