Sign in to use this feature.

Years

Between: -

Subjects

remove_circle_outline
remove_circle_outline
remove_circle_outline

Journals

Article Types

Countries / Regions

Search Results (4)

Search Parameters:
Keywords = tristetraprolin suppression

Order results
Result details
Results per page
Select all
Export citation of selected articles as:
14 pages, 2379 KB  
Article
The Anti-Apoptotic Effect of C-Type Natriuretic Peptide and the Regulation of NPPC in Porcine Ovarian Granulosa Cells
by Xingyuan Liu, Jinlun Lu, Junyi Zeng, Lei An, Jianhui Tian and Guangyin Xi
Int. J. Mol. Sci. 2025, 26(20), 10046; https://doi.org/10.3390/ijms262010046 - 15 Oct 2025
Viewed by 408
Abstract
C-type natriuretic peptide (CNP), encoded by the NPPC (Natriuretic Peptide Precursor C), has been recognized as the principal endogenous factor sustaining oocyte meiotic arrest in mammalian follicles. Yet its influence on porcine ovarian granulosa cell fate and the regulatory mechanism of NPPC expression [...] Read more.
C-type natriuretic peptide (CNP), encoded by the NPPC (Natriuretic Peptide Precursor C), has been recognized as the principal endogenous factor sustaining oocyte meiotic arrest in mammalian follicles. Yet its influence on porcine ovarian granulosa cell fate and the regulatory mechanism of NPPC expression within these cells remain poorly understood. Here, utilizing an in vitro culture model of primary porcine ovarian granulosa cells and immature oocytes, we examined the impact of CNP on granulosa cell apoptosis and oocyte meiotic resumption, and elucidated the molecular circuitry governing NPPC expression. We found that follicular atresia in pigs was accompanied by a marked decline in the CNP receptor NPR2 (natriuretic peptide receptor 2). Correspondingly, exogenous CNP suppressed apoptosis in cultured porcine granulosa cells. Estradiol can significantly promote the expression level of NPPC in porcine ovarian granulosa cells and, by enhancing NPR2 levels, it can synergize with CNP to inhibit oocyte meiotic resumption in vitro. Conversely, EGF signaling can significantly downregulate NPPC mRNA expression in porcine granulosa cells, an effect likely mediated by ERK-activated tristetraprolin (TTP). Collectively, these findings broaden our understanding of CNP in follicular development and delineate the endocrine network that controls NPPC transcription in the porcine ovary. Full article
(This article belongs to the Special Issue Molecular Biology and Hormonal Regulation in Reproductive Processes)
Show Figures

Figure 1

20 pages, 4700 KB  
Article
Carboxyl Group-Modified Myoglobin Induces TNF-α-Mediated Apoptosis in Leukemia Cells
by Yuan-Chin Lee, Jing-Ting Chiou, Liang-Jun Wang, Yi-Jun Shi, Ying-Jung Chen and Long-Sen Chang
Pharmaceuticals 2022, 15(9), 1066; https://doi.org/10.3390/ph15091066 - 27 Aug 2022
Cited by 3 | Viewed by 2812
Abstract
Previous studies have shown that chemical modification may increase the activity of proteins or confer novel activity to proteins. Some studies have indicated that myoglobin (Mb) is cytotoxic; however, the underlying mechanisms remain unclear. In this study, we investigated whether chemical modification of [...] Read more.
Previous studies have shown that chemical modification may increase the activity of proteins or confer novel activity to proteins. Some studies have indicated that myoglobin (Mb) is cytotoxic; however, the underlying mechanisms remain unclear. In this study, we investigated whether chemical modification of the carboxyl group by semicarbazide could promote the Mb cytotoxicity in human leukemia U937 cells and the underlying mechanism of semicarbazide-modified myoglobin (SEM-Mb)-induced U937 cell death. The semicarbazide-modified Mb (SEM-Mb) induced U937 cell apoptosis via the production of cleaved caspase-8 and t-Bid, while silencing of FADD abolished this effect. These findings suggest that SEM-Mb can induce U937 cell death by activating the death receptor-mediated pathway. The SEM-Mb inhibited miR-99a expression, leading to increased NOX4 mRNA and protein expression, which promoted SIRT3 degradation, and, in turn, induced ROS-mediated p38 MAPK phosphorylation. Activated p38 MAPK stimulated miR-29a-dependent tristetraprolin (TTP) mRNA decay. Downregulation of TTP slowed TNF-α mRNA turnover, thereby increasing TNF-α protein expression. The SEM-Mb-induced decrease in cell viability and TNF-α upregulation were alleviated by abrogating the NOX4/SIRT3/ROS/p38 MAPK axis or ectopic expression of TTP. Taken together, our results demonstrated that the NOX4/SIRT3/p38 MAPK/TTP axis induces TNF-α-mediated apoptosis in U937 cells following SEM-Mb treatment. A pathway regulating p38 MAPK-mediated TNF-α expression also explains the cytotoxicity of SEM-Mb in the human leukemia cell lines HL-60, THP-1, K562, Jurkat, and ABT-199-resistant U937. Furthermore, these findings suggest that the carboxyl group-modified Mb is a potential structural template for the generation of tumoricidal proteins. Full article
(This article belongs to the Section Biopharmaceuticals)
Show Figures

Figure 1

21 pages, 562 KB  
Review
The Tristetraprolin Family of RNA-Binding Proteins in Cancer: Progress and Future Prospects
by Yogesh Saini, Jian Chen and Sonika Patial
Cancers 2020, 12(6), 1539; https://doi.org/10.3390/cancers12061539 - 11 Jun 2020
Cited by 41 | Viewed by 6263
Abstract
Post-transcriptional regulation of gene expression plays a key role in cellular proliferation, differentiation, migration, and apoptosis. Increasing evidence suggests dysregulated post-transcriptional gene expression as an important mechanism in the pathogenesis of cancer. The tristetraprolin family of RNA-binding proteins (RBPs), which include Zinc Finger [...] Read more.
Post-transcriptional regulation of gene expression plays a key role in cellular proliferation, differentiation, migration, and apoptosis. Increasing evidence suggests dysregulated post-transcriptional gene expression as an important mechanism in the pathogenesis of cancer. The tristetraprolin family of RNA-binding proteins (RBPs), which include Zinc Finger Protein 36 (ZFP36; commonly referred to as tristetraprolin (TTP)), Zinc Finger Protein 36 like 1 (ZFP36L1), and Zinc Finger Protein 36 like 2 (ZFP36L2), play key roles in the post-transcriptional regulation of gene expression. Mechanistically, these proteins function by binding to the AU-rich elements within the 3′-untranslated regions of their target mRNAs and, in turn, increasing mRNA turnover. The TTP family RBPs are emerging as key regulators of multiple biological processes relevant to cancer and are aberrantly expressed in numerous human cancers. The TTP family RBPs have tumor-suppressive properties and are also associated with cancer prognosis, metastasis, and resistance to chemotherapy. Herein, we summarize the various hallmark molecular traits of cancers that are reported to be regulated by the TTP family RBPs. We emphasize the role of the TTP family RBPs in the regulation of trait-associated mRNA targets in relevant cancer types/cell lines. Finally, we highlight the potential of the TTP family RBPs as prognostic indicators and discuss the possibility of targeting these TTP family RBPs for therapeutic benefits. Full article
(This article belongs to the Section Molecular Cancer Biology)
Show Figures

Figure 1

19 pages, 10677 KB  
Article
The mRNA-binding Protein TTP/ZFP36 in Hepatocarcinogenesis and Hepatocellular Carcinoma
by Tarek Kröhler, Sonja M. Kessler, Kevan Hosseini, Markus List, Ahmad Barghash, Sonika Patial, Stephan Laggai, Katja Gemperlein, Johannes Haybaeck, Rolf Müller, Volkhard Helms, Marcel H. Schulz, Jessica Hoppstädter, Perry J. Blackshear and Alexandra K. Kiemer
Cancers 2019, 11(11), 1754; https://doi.org/10.3390/cancers11111754 - 8 Nov 2019
Cited by 22 | Viewed by 6325
Abstract
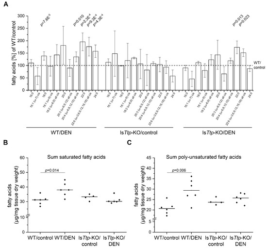
Hepatic lipid deposition and inflammation represent risk factors for hepatocellular carcinoma (HCC). The mRNA-binding protein tristetraprolin (TTP, gene name ZFP36) has been suggested as a tumor suppressor in several malignancies, but it increases insulin resistance. The aim of this study was to [...] Read more.
Hepatic lipid deposition and inflammation represent risk factors for hepatocellular carcinoma (HCC). The mRNA-binding protein tristetraprolin (TTP, gene name ZFP36) has been suggested as a tumor suppressor in several malignancies, but it increases insulin resistance. The aim of this study was to elucidate the role of TTP in hepatocarcinogenesis and HCC progression. Employing liver-specific TTP-knockout (lsTtp-KO) mice in the diethylnitrosamine (DEN) hepatocarcinogenesis model, we observed a significantly reduced tumor burden compared to wild-type animals. Upon short-term DEN treatment, modelling early inflammatory processes in hepatocarcinogenesis, lsTtp-KO mice exhibited a reduced monocyte/macrophage ratio as compared to wild-type mice. While short-term DEN strongly induced an abundance of saturated and poly-unsaturated hepatic fatty acids, lsTtp-KO mice did not show these changes. These findings suggested anti-carcinogenic actions of TTP deletion due to effects on inflammation and metabolism. Interestingly, though, investigating effects of TTP on different hallmarks of cancer suggested tumor-suppressing actions: TTP inhibited proliferation, attenuated migration, and slightly increased chemosensitivity. In line with a tumor-suppressing activity, we observed a reduced expression of several oncogenes in TTP-overexpressing cells. Accordingly, ZFP36 expression was downregulated in tumor tissues in three large human data sets. Taken together, this study suggests that hepatocytic TTP promotes hepatocarcinogenesis, while it shows tumor-suppressive actions during hepatic tumor progression. Full article
Show Figures

Graphical abstract

Back to TopTop