Sign in to use this feature.

Years

Between: -

Subjects

remove_circle_outline
remove_circle_outline
remove_circle_outline
remove_circle_outline
remove_circle_outline

Journals

Article Types

Countries / Regions

Search Results (6)

Search Parameters:
Keywords = thermally expandable microcapsule

Order results
Result details
Results per page
Select all
Export citation of selected articles as:
18 pages, 2423 KB  
Article
Preparation and Characterization of Prickly Ash Peel Oleoresin Microcapsules and Flavor Retention Analysis
by Zhiran Zhang, Ziyan Zhang, Xichao Li, Sen Zhou, Mengkai Liu, Shengxin Li, He Liu, Hui Gao, Aiyun Zhao, Yongchang Zhang, Liu Huang and Jie Sun
Foods 2024, 13(11), 1726; https://doi.org/10.3390/foods13111726 - 31 May 2024
Cited by 1 | Viewed by 1570
Abstract
Prickly ash peel oleoresin (PPO) is a highly concentrated oil of Prickly ash essential oil and has a stronger aroma. However, its low water solubility, high volatility, difficulty in transport and storage, and decomposition by light, heat, and oxygen limit its wider application. [...] Read more.
Prickly ash peel oleoresin (PPO) is a highly concentrated oil of Prickly ash essential oil and has a stronger aroma. However, its low water solubility, high volatility, difficulty in transport and storage, and decomposition by light, heat, and oxygen limit its wider application. To solve this problem, this study used freeze-drying or spray-drying, with soybean protein isolate (SPI) or gum Arabic (GA), combined with aqueous maltodextrin (MD) as the encapsulating agents to prepare four types of PPO microcapsules (POMs). Spray-dried microcapsules with GA as the encapsulating agent achieved a high encapsulation efficiency (EE) of 92.31 ± 0.31%, improved the thermal stability of the PPO, and had spherical morphology. (Headspace solid-phase microextraction/gas chromatography–mass spectrometry) HS-SPME/GC-MS detected 41 volatile compounds in PPO; of these, linalool, β-myrcene, sabinene, and D-limonene were identified as key flavor components. Principal component analysis (PCA) effectively distinguished the significant differences in flavor between PPO, spray-dried SPI/MD microcapsules (SS), and spray-dried GA/MD microcapsules (SG). During 15 days of air-exposure, the loss of flavor from SG (54.62 ± 0.54%) was significantly lower than PPO (79.45 ± 1.45%) and SS (57.55 ± 0.36%). During the air-exposure period, SG consistently had the highest antioxidant capacity, making it desirable for PPO packaging, and expanding its potential applications within the food industry. Full article
(This article belongs to the Section Food Analytical Methods)
Show Figures

Graphical abstract

14 pages, 2067 KB  
Article
Microencapsulation with Different Starch-Based Polymers for Improving Oxidative Stability of Cold-Pressed Hickory (Carya cathayensis Sarg.) Oil
by Qing Li, Lu Wang, Meiyu Zheng, Hanyu Lu, Yinying Liu, Yangguang Wang and Shengmin Lu
Foods 2023, 12(5), 953; https://doi.org/10.3390/foods12050953 - 23 Feb 2023
Cited by 6 | Viewed by 2801
Abstract
Hickory (Carya cathayensis Sarg.) oil is a nutrient-dense edible woody oil, with its unsaturated fatty acids accounting for more than 90% of total ones, and liable to oxidation spoilage. To efficiently improve its stability and expand its application fields, the microencapsulation of [...] Read more.
Hickory (Carya cathayensis Sarg.) oil is a nutrient-dense edible woody oil, with its unsaturated fatty acids accounting for more than 90% of total ones, and liable to oxidation spoilage. To efficiently improve its stability and expand its application fields, the microencapsulation of cold-pressed hickory oil (CHO) by the molecular embedding method and freeze-drying technique was performed using malt dextrin (MD), hydroxylpropyl-β-cyclodextrin (HP-β-CD), β-cyclodextrin (β-CD), or porous starch (PS) as a wall material. Two wall materials and/or their CHO microcapsulates (CHOM) with higher encapsulation efficiencies (EE) were selected to carry out physical and chemical characterizations using laser particle size diffractometer, scanning electron microscopy, Fourier-transform infrared spectroscopy, X-ray diffraction, thermogravimetric analysis, derivative thermogravimetry, and oxidative stability tests. Results indicated β-CDCHOM and PSCHOM had significantly higher EE values (80.40% and 75.52%) than MDCHOM and HP-β-CDCHOM (39.36% and 48.32%). The particle sizes of the two microcapsules selected were both widely distributed with their spans being more than 1 µm and a certain degree of polydispersity. Microstructural and chemical characterizations indicated that β-CDCHOM had comparatively stable structure and good thermal stability compared with PSCHOM. Storage performances under light, oxygen, and temperature showed that β-CDCHOM was superior to PSCHOM, especially in terms of thermal and oxidative stability. This study demonstrates that β-CD embedding can be applied to improve the oxidative stability of vegetable oils such as hickory oil and act as a means of preparing functional supplementary material. Full article
(This article belongs to the Special Issue Encapsulation and Delivery of Food Functional Ingredients)
Show Figures

Figure 1

49 pages, 14121 KB  
Review
Methods for the Synthesis of Phase Change Material Microcapsules with Enhanced Thermophysical Properties—A State-of-the-Art Review
by Refat Al-Shannaq, Mohammed M. Farid and Charles A. Ikutegbe
Micro 2022, 2(3), 426-474; https://doi.org/10.3390/micro2030028 - 9 Jul 2022
Cited by 15 | Viewed by 11511
Abstract
Thermal energy storage (TES) has been identified by many researchers as one of the cost-effective solutions for not only storing excess or/wasted energy, but also improving systems’ reliability and thermal efficiency. Among TES, phase change materials (PCMs) are gaining more attention due to [...] Read more.
Thermal energy storage (TES) has been identified by many researchers as one of the cost-effective solutions for not only storing excess or/wasted energy, but also improving systems’ reliability and thermal efficiency. Among TES, phase change materials (PCMs) are gaining more attention due to their ability to store a reasonably large quantity of heat within small temperature differences. Encapsulation is the cornerstone in expanding the applicability of the PCMs. Microencapsulation is a proven, viable method for containment and retention of PCMs in tiny shells. Currently, there are numerous methods available for synthesis of mPCMs, each of which has its own advantages and limitations. This review aims to discuss, up to date, the different manufacturing approaches to preparing PCM microcapsules (mPCMs). The review also highlights the different potential approaches used for the enhancement of their thermophysical properties, including heat transfer enhancement, supercooling suppression, and shell mechanical strength. This article will help researchers and end users to better understand the current microencapsulation technologies and provide critical guidance for selecting the proper synthesis method and materials based on the required final product specifications. Full article
(This article belongs to the Special Issue State-of-the-Art Microscale and Nanoscale Researches in Italy)
Show Figures

Figure 1

19 pages, 3060 KB  
Article
Sodium Caseinate and Acetylated Mung Bean Starch for the Encapsulation of Lutein: Enhanced Solubility and Stability of Lutein
by Yifan Lu, Bo Zhang, Huishan Shen, Xiangzhen Ge, Xiangxiang Sun, Qian Zhang, Xiuyun Zhang, Zhuangzhuang Sun and Wenhao Li
Foods 2022, 11(1), 65; https://doi.org/10.3390/foods11010065 - 28 Dec 2021
Cited by 22 | Viewed by 3729
Abstract
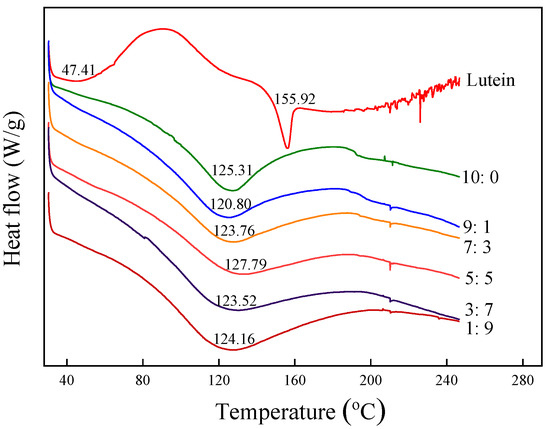
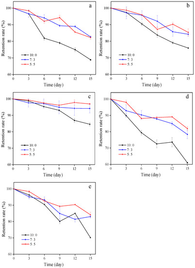
Lutein is a kind of vital carotenoid with high safety and significant advantages in biological functions. However, poor water solubility and stability of lutein have limited its application. This study selected different weight ratios of sodium caseinate to acetylated mung bean starch (10:0, [...] Read more.
Lutein is a kind of vital carotenoid with high safety and significant advantages in biological functions. However, poor water solubility and stability of lutein have limited its application. This study selected different weight ratios of sodium caseinate to acetylated mung bean starch (10:0, 9:1, 7:3, 5:5, 3:7, 1:9, and 0:10) to prepare lutein emulsions, and the microcapsules were produced by spray drying technology. The microstructure, physicochemical properties, and storage stability of microcapsules were investigated. The results show that the emulsion systems were typical non-Newtonian fluids. Lutein microcapsules were light yellow fine powder with smooth and relatively complete particle surface. The increase of sodium caseinate content led to the enhanced emulsion effect of the emulsion and the yield and solubility of microcapsules increased, and wettability and the average particle size became smaller. The encapsulation efficiency of lutein microcapsules ranged from 69.72% to 89.44%. The thermal characteristics analysis showed that the endothermic transition of lutein microcapsules occurred at about 125 °C. The microcapsules with sodium caseinate as single wall material had the worst stability. Thus, it provides a reference for expanding the application of lutein in food, biological, pharmaceutical, and other industries and improving the stability and water dispersion of other lipid-soluble active ingredients. Full article
(This article belongs to the Section Nutraceuticals, Functional Foods, and Novel Foods)
Show Figures

Figure 1

21 pages, 5147 KB  
Article
Resistant Starch-Based Edible Coating Composites for Spray-Dried Microencapsulation of Lactobacillus acidophilus, Comparative Assessment of Thermal Protection, In Vitro Digestion and Physicochemical Characteristics
by Zafarullah Muhammad, Rabia Ramzan, Ruifen Zhang and Mingwei Zhang
Coatings 2021, 11(5), 587; https://doi.org/10.3390/coatings11050587 - 17 May 2021
Cited by 27 | Viewed by 6867
Abstract
Polysaccharides have excellent potential as food-grade coating materials for microencapsulation in pro- and prebiotics-based functional food industry. In this study, potato, maize, and rice resistant starches composite coatings with D-mannose, maltodextrin, and whey protein concentrate were prepared for the spray-dried microencapsulation of Lactobacillus [...] Read more.
Polysaccharides have excellent potential as food-grade coating materials for microencapsulation in pro- and prebiotics-based functional food industry. In this study, potato, maize, and rice resistant starches composite coatings with D-mannose, maltodextrin, and whey protein concentrate were prepared for the spray-dried microencapsulation of Lactobacillus acidophilus KLDS 1.1003. Assessment of different polysaccharide coatings to enhance the longevity of probiotics at high temperatures of spray-drying process, storage, and targeted delivery in the gastrointestinal tract were the key objectives of the present study. The highest microencapsulation efficiencies were shown by maize (95.80%) and potato (94.30%) resistant starches. Similarly, maize resistant starch (MRS)-based composites provided the highest thermal resistance, with Tg 38.77 ± 1.10–93.13 ± 0.81 °C and showed the least 2.1 log cycles viability loss in simulated GI tract. Viability losses during storage were in the following order: control > RRS > PRS > MRS, and the inactivation rate of the microencapsulated cells followed the first-order kinetics (R2 = 0.9264–0.9918). The resistant starch-based spray-dried microcapsules possessed 27.00 ± 0.03 to 52.28 ± 1.02 µm size range and SEM micrographs showed a unified smooth surface without cracks and ruptures. These findings will expand the potential use of natural food-grade coatings in functional foods and allied industries involving spray-dried products. Full article
(This article belongs to the Section Coatings for Food Technology and System)
Show Figures

Graphical abstract

12 pages, 3517 KB  
Article
Blowing Properties and Functionality of Thermoplastic Polyester Film Using Thermally Expandable Microcapsules
by A Ram Pak, Jung Hyun Park and Seung Geol Lee
Polymers 2019, 11(10), 1652; https://doi.org/10.3390/polym11101652 - 11 Oct 2019
Cited by 11 | Viewed by 4602
Abstract
Blowing film was prepared using a polyester elastomer with thermally expandable microcapsules to investigate its blowing properties and functionality. Film with 11% microcapsule contents showed the lowest specific gravity and the highest blowing efficiency. However, the collapse and merging of blowing cells with [...] Read more.
Blowing film was prepared using a polyester elastomer with thermally expandable microcapsules to investigate its blowing properties and functionality. Film with 11% microcapsule contents showed the lowest specific gravity and the highest blowing efficiency. However, the collapse and merging of blowing cells with 11% microcapsule contents was found by SEM. Therefore, film with 9% microcapsule contents was shown to have better blowing and cell stability than that of film with 11% microcapsule contents. Tensile strength and elongation decreased by increasing microcapsule contents. Film curl and film shrinkage properties were unaffected by microcapsule contents. Water vapor permeability and hydrostatic pressure was decreased by increasing microcapsule contents. Full article
(This article belongs to the Special Issue Innovative Functional Textiles)
Show Figures

Graphical abstract

Back to TopTop