Sign in to use this feature.

Years

Between: -

Subjects

remove_circle_outline
remove_circle_outline
remove_circle_outline
remove_circle_outline
remove_circle_outline
remove_circle_outline
remove_circle_outline

Journals

Article Types

Countries / Regions

Search Results (5)

Search Parameters:
Keywords = theory of maximum energy release

Order results
Result details
Results per page
Select all
Export citation of selected articles as:
16 pages, 5452 KB  
Article
Study on the Solidification and Heat Release Characteristics of Flexible Heat Storage Filled with PCM Composite
by Tielei Yan, Gang Wang, Dong Zhang, Changxin Qi, Shuangshuang Zhang, Peiqing Li and Gaosheng Wei
Energies 2025, 18(14), 3760; https://doi.org/10.3390/en18143760 - 16 Jul 2025
Viewed by 1092
Abstract
Phase change materials (PCMs) have significant potential for utilization due to their high energy storage density and excellent safety in energy storage. In this research, a flexible heat storage device using the stable supercooling of sodium acetate trihydrate composite is developed, enabling on-demand [...] Read more.
Phase change materials (PCMs) have significant potential for utilization due to their high energy storage density and excellent safety in energy storage. In this research, a flexible heat storage device using the stable supercooling of sodium acetate trihydrate composite is developed, enabling on-demand heat release through controlled solidification initiation. The solidification and heat release characteristics are investigated in experiments. The results indicate that the heat release characteristics of this heat storage device are closely linked to the crystallization process of the PCM. During the experiment, based on whether external intervention was needed for the solidification process, the PCM manifested two separate solidification modes—specifically, spontaneous self-solidification and triggered-solidification. Meanwhile, the heat release rates, temperature changes, and crystal morphologies were observed in the two solidification modes. Compared with spontaneous self-solidification, triggered-solidification achieved a higher peak surface temperature (53.6 °C vs. 46.2 °C) and reached 45 °C significantly faster (5 min vs. 15 min). Spontaneous self-solidification exhibited slower, uncontrollable heat release with dendritic crystals, while triggered-solidification provided rapid, controllable heat release with dense filamentous crystals. This controllable switching between modes offers key practical advantages, allowing the device to provide either rapid, high-power heat discharge or slower, sustained release as required by the application. According to the crystal solidification theory, the different supercooling degrees are the main reasons for the two solidification modes exhibiting different solidification characteristics. During solidification, the growth rate of SAT crystals exhibits substantial disparities across diverse experiments. In this research, the maximum axial growth rate is 2564 μm/s, and the maximum radial growth rate is 167 μm/s. Full article
(This article belongs to the Special Issue Heat Transfer Principles and Applications)
Show Figures

Figure 1

17 pages, 2798 KB  
Communication
Calculating Strain Energy Release Rate, Stress Intensity Factor and Crack Propagation of an FGM Plate by Finite Element Method Based on Energy Methods
by Huu-Dien Nguyen and Shyh-Chour Huang
Materials 2025, 18(12), 2698; https://doi.org/10.3390/ma18122698 - 8 Jun 2025
Cited by 1 | Viewed by 1127
Abstract
In the field of crack mechanics, predicting the direction of a crack is important because this will evaluate whether, when the crack propagates, it penetrates into important areas and whether the structure is dangerous or not. This paper will refer to three theories [...] Read more.
In the field of crack mechanics, predicting the direction of a crack is important because this will evaluate whether, when the crack propagates, it penetrates into important areas and whether the structure is dangerous or not. This paper will refer to three theories that predict the propagation direction of cracks: a theory of maximum tangential normal stress, a theory of maximum energy release, and a theory of minimum strain energy density. At the same time, the finite element method (FEM)–ANSYS program will be used to calculate stress intensity factors (SIFs), strain energy release rate (J-integral), stress field, displacement near a crack tip, and crack propagation phenomenon based on the above theories. The calculated results were compared with the results in other scientific papers and experimental results. This research used ANSYS program, an experimental method combined with FEM based on the above energy theories to simulate the J-integral, the SIFs, and the crack propagation. The errors of the SIFs of the FGM rectangular plate has a through-thickness center crack of 1.77%, J-integral of 4.49%, and crack propagation angle θc of 0.15%. The FEM gave good errors compared to experimental and exact methods. Full article
(This article belongs to the Section Materials Simulation and Design)
Show Figures

Figure 1

19 pages, 14001 KB  
Article
Mechanical Properties and Damage Constitutive Model of Thermally Damaged Basalt
by Wenzhao Chen, Rui Chang, Xiqi Liu, Yan Chang, Fuqing Zhang, Dongwei Li and Zhenhua Wang
Sustainability 2024, 16(9), 3570; https://doi.org/10.3390/su16093570 - 24 Apr 2024
Cited by 2 | Viewed by 1873
Abstract
Nuclear power is a high-quality clean energy source, but nuclear waste is generated during operation. The waste continuously releases heat during disposal, increasing the adjoining rock temperature and affecting the safety of the disposal site. Basalt is widely considered a commonly used rock [...] Read more.
Nuclear power is a high-quality clean energy source, but nuclear waste is generated during operation. The waste continuously releases heat during disposal, increasing the adjoining rock temperature and affecting the safety of the disposal site. Basalt is widely considered a commonly used rock type in the repository. This study of basalt’s mechanical characteristics and damage evolution after thermal damage, with its far-reaching engineering value, was conducted by combining experimental work and theory. Uniaxial compression tests were conducted on basalt exposed to 25 °C, 500 °C, 700 °C, 900 °C, and 1100 °C conditions, and acoustic emission (AE) equipment was utilized to observe the acoustic emission phenomenon during deformation. This study was carried out to examine the mechanical characteristics, the sound emission features, the progression of damage laws, and the stress–strain framework of basalt after exposure to different types of thermal harm. As the temperature rises, the rock’s maximum strength declines steadily, the peak strain rises in tandem, the rock sample’s ductility is augmented, the failure mode changes from shear to tensile failure, and cracks in the failure area are observed. At room temperature, the acoustic emission signal is more vigorous than in the initial stage of rock sample loading due to thermal damage; however, after the linear elastic stage is entered, its activity is lessened. In cases where the rock approaches collapse, there is a significant surge in acoustic emission activity, leading to the peak frequency of acoustic emission ringing. The cumulative ring count of acoustic emission serves as the basis for the definition of the damage variable. At room temperature, the damage evolution of rock samples can be broken down into four distinct stages. This defined damage variable is more reflective of the entire failure process. After exposure to high temperatures, the initial damage of the rock sample becomes more extensive, and the damage variable tends to be stable with strain evolution. The stress–strain constitutive model of basalt deformation is derived based on the crack axial strain law and acoustic emission parameters. A powerful relationship between theoretical and experimental curves is evident. Full article
(This article belongs to the Section Hazards and Sustainability)
Show Figures

Figure 1

16 pages, 5278 KB  
Article
Study on the Migration and Release of Sulfur during the Oxidizing Roasting of High-Sulfur Iron Ore
by Xiaojiao Chen, Na Zhao, Zhe Li and Zijian Wang
Minerals 2024, 14(3), 276; https://doi.org/10.3390/min14030276 - 5 Mar 2024
Cited by 4 | Viewed by 2878
Abstract
In China, most of the high-sulfur iron ores have not been fully developed and utilized due to the lack of breakthrough progress in the research on the sulfur migration and the desulfurization mechanism during the roasting process. This study will focus on revealing [...] Read more.
In China, most of the high-sulfur iron ores have not been fully developed and utilized due to the lack of breakthrough progress in the research on the sulfur migration and the desulfurization mechanism during the roasting process. This study will focus on revealing the release and fixation mechanisms of sulfur during the roasting process to achieve the transformation of desulfurization from terminal treatment to process control. Experimental results show that as the roasting temperature increases, the release rate of SO2 also increases, reaching the maximum release rate at 900 °C. Simultaneously, it is found that at the same roasting temperature, the release rate and amount of SO2 under the O2/N2 atmosphere is significantly greater than that under the pure N2 and air atmospheres. Meanwhile, X-ray diffraction (XRD) is utilized to explore the phase composition of the roasted product and the sulfur release mechanism. In addition, the adsorption energy, stability and electron transfer of SO2 on the CaO surface are calculated through density functional theory (DFT), and the optimal adsorption active site perpendicular to the O atom (O-top) is also determined. Finally, the sulfur fixing agent CaO is used to study the SO2 fixation mechanism. When the concentration reaches 10%, the sulfur fixation efficiency reaches more than 80%. Therefore, this work will present basic knowledge and systematic guidance for the sulfur migration and release of high-sulfur iron ore under the oxidizing roasting process. Full article
(This article belongs to the Section Mineral Processing and Extractive Metallurgy)
Show Figures

Graphical abstract

21 pages, 641 KB  
Article
Security-Guaranteed PID Control for Discrete-Time Systems Subject to Periodic Dos Attacks
by Nan Hou, Duo Zhang, Fan Yang, Weijian Li and Yang Sui
Processes 2023, 11(5), 1375; https://doi.org/10.3390/pr11051375 - 2 May 2023
Cited by 3 | Viewed by 2306
Abstract
This paper is concerned with the observer-based H proportional-integral-derivative (PID) control issue for discrete-time systems using event-triggered mechanism subject to periodic random denial of service (DoS) jamming attacks and infinitely distributed delays. In order to characterize the occurrence of periodic random DoS [...] Read more.
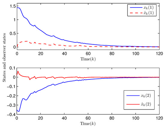
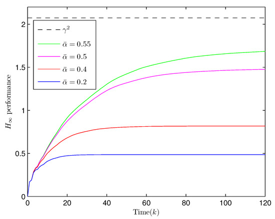
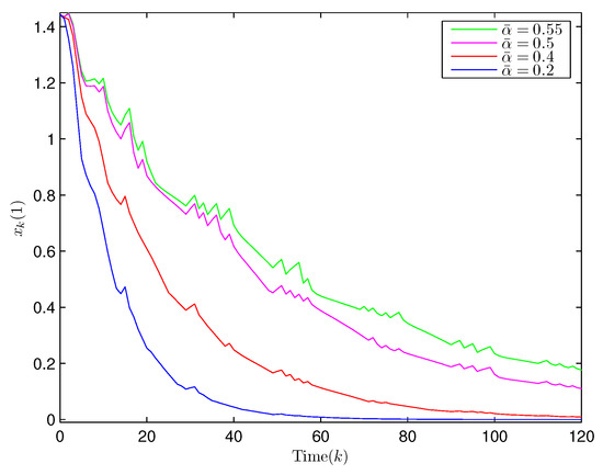
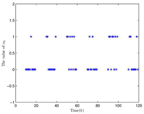
This paper is concerned with the observer-based H proportional-integral-derivative (PID) control issue for discrete-time systems using event-triggered mechanism subject to periodic random denial of service (DoS) jamming attacks and infinitely distributed delays. In order to characterize the occurrence of periodic random DoS jamming attacks in the network channel between controller and actuator, the Kronecker delta function is used to represent the periodic switching between the sleeping period and attack period, and a Bernoulli-distributed random variable is utilized to reflect the probabilistic occurrence of DoS attacks. Infinitely distributed delay is involved to reflect actual state lag. The relative event-triggering mechanism is employed to reduce unnecessary information transmission and save communication energy in the network channel between sensor and observer. An observer-based PID controller is constructed for the regulation of the system to achieve an appropriate working effect. The aim of this paper is to design a security-guaranteed PID controller for delayed systems such that both the exponential mean-square stability and the H performance are satisfied. Using the Lyapunov stability theory, stochastic analysis method and matrix inequality technique, a sufficient condition is put forward that ensures the existence of the required observer and PID controller. Gain parameters of the observer and the PID controller are computed by solving a certain matrix inequality. A simulation is carried out to verify the effectiveness of the developed observer-based H PID control method. The obtained H noise rejection level is below 0.85, the average event-based release interval is 13, the absolute values of the maximum estimation error of two elements in the system state are 1.434 and 0.371 using the observer, and two elements of the system state converge to 0.238 and 0.054 at the 41th time step with two elements of the control output being 0.031 and 0.087. Full article
(This article belongs to the Section Process Control and Monitoring)
Show Figures

Figure 1

Back to TopTop