Sign in to use this feature.

Years

Between: -

Subjects

remove_circle_outline
remove_circle_outline
remove_circle_outline
remove_circle_outline
remove_circle_outline
remove_circle_outline
remove_circle_outline
remove_circle_outline
remove_circle_outline

Journals

remove_circle_outline
remove_circle_outline
remove_circle_outline
remove_circle_outline
remove_circle_outline
remove_circle_outline
remove_circle_outline
remove_circle_outline
remove_circle_outline
remove_circle_outline
remove_circle_outline
remove_circle_outline
remove_circle_outline
remove_circle_outline
remove_circle_outline
remove_circle_outline

Article Types

Countries / Regions

remove_circle_outline
remove_circle_outline
remove_circle_outline
remove_circle_outline
remove_circle_outline
remove_circle_outline

Search Results (1,054)

Search Parameters:
Keywords = symmetrical components

Order results
Result details
Results per page
Select all
Export citation of selected articles as:
27 pages, 8153 KB  
Article
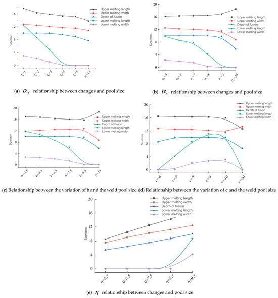
Influence of Welding Sequence of T-Rib on Welding Deformation and Residual Stress of Steel Box Girder
by Shuyi Song, Fanding Gao, Huiwen Qu, Liang Fan, Wenfei Wang and Ningyu Zhao
Buildings 2026, 16(8), 1598; https://doi.org/10.3390/buildings16081598 (registering DOI) - 18 Apr 2026
Abstract
Traditionally, the calibration of welding heat source model parameters mainly relies on empirical trial-and-error methods, which lack clear guidance and generally lead to low computational efficiency. To address this problem, this paper establishes a quantitative relationship between heat source parameters and weld pool [...] Read more.
Traditionally, the calibration of welding heat source model parameters mainly relies on empirical trial-and-error methods, which lack clear guidance and generally lead to low computational efficiency. To address this problem, this paper establishes a quantitative relationship between heat source parameters and weld pool dimensions, which significantly improves the efficiency and accuracy of the simulation. Furthermore, the influence of laws of key parameters of the double-ellipsoid heat source and welding thermal efficiency on the geometric characteristics of the weld pool is systematically analyzed via numerical simulation. On this basis, finite element models considering different welding sequences are established for single and multiple T-rib components, and appropriate welding process parameters are determined according to the influence laws of heat source parameters. The thermo-elastic–plastic finite element method is then adopted to analyze the effects of welding sequences on the welding residual stress and deformation of T-rib and top-plate joints in steel box girders. By comparing different welding schemes, optimized welding strategies for single and multi-rib welding are proposed. The results show that for single T-ribs, simultaneous welding in the same direction produces the minimum residual stress and deformation with almost no distortion, followed by sequential bilateral welding in the same direction. For multi-rib welding with a spacing of 300 mm, synchronous welding yields the smallest deformation, followed by symmetric double-pass synchronous welding from inside to outside. For continuous single-pass welding, an inside-to-outside skip welding sequence is recommended to effectively control residual stress and deformation. Full article
Show Figures

Figure 1

22 pages, 6997 KB  
Article
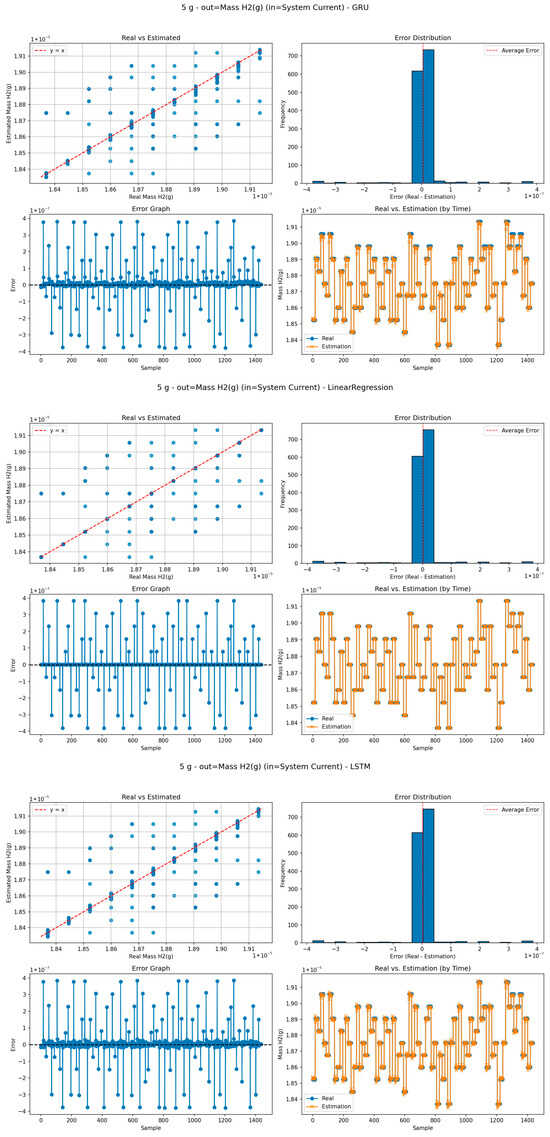
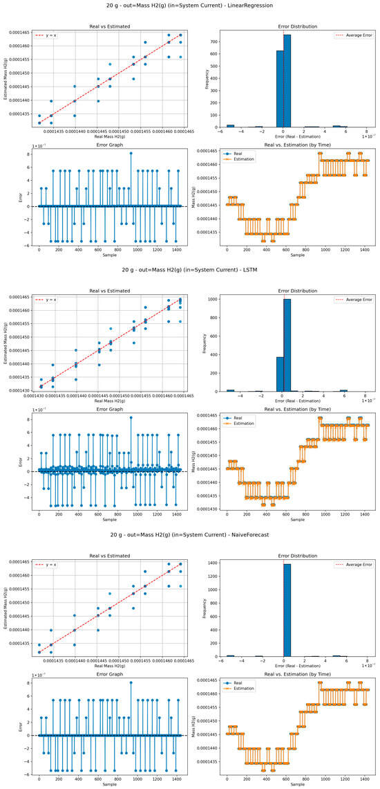
Deep-Learning-Based Time-Series Forecasting of Hydrogen Production in a Membraneless Alkaline Water Electrolyzer: A Comparative Analysis of LSTM and GRU Models
by Davut Sevim, Muhammed Yusuf Pilatin, Serdar Ekinci and Erdal Akin
Appl. Sci. 2026, 16(8), 3938; https://doi.org/10.3390/app16083938 (registering DOI) - 18 Apr 2026
Abstract
Hydrogen production is gaining increasing importance as a key component of the transition toward carbon-neutral energy systems. In this study, the prediction of hydrogen generation in membraneless alkaline water electrolyzers (MAWEs) is investigated using deep-learning-based time-series modeling. A single-input modeling framework is adopted, [...] Read more.
Hydrogen production is gaining increasing importance as a key component of the transition toward carbon-neutral energy systems. In this study, the prediction of hydrogen generation in membraneless alkaline water electrolyzers (MAWEs) is investigated using deep-learning-based time-series modeling. A single-input modeling framework is adopted, where only the system current is used as the input variable. Experimental current signals obtained from long-duration tests conducted at electrolyte concentrations between 5 and 35 g KOH (7200 s per experiment) are employed as the model inputs, while mass-based hydrogen production (in grams) is used as the output variable. Two recurrent neural network architectures, namely Long Short-Term Memory (LSTM) and Gated Recurrent Unit (GRU), are implemented, and their predictive performance is comparatively evaluated using RMSE, MAE, and R2 metrics. In addition to deep learning models, classical approaches including Linear Regression, ARIMA, and Naïve Forecast are also considered for comparison. The results show that both models are capable of accurately reproducing the hydrogen-production dynamics across the entire concentration range. In particular, the prediction accuracy improves notably at medium and high electrolyte concentrations, where the coefficient of determination (R2) approaches 0.98. The residual distributions remain narrow and symmetric around zero, indicating the absence of systematic estimation bias. The results also show that classical models can achieve comparable performance under stable operating conditions, while deep learning models provide advantages in capturing nonlinear and dynamic behavior. While LSTM and GRU exhibit comparable accuracy, each architecture provides complementary advantages under different operating conditions. These findings indicate that deep-learning-based time-series modeling constitutes a lightweight and reliable framework for prediction and control applications in MAWE systems. Overall, this study demonstrates the applicability of data-driven models for the dynamic characterization of membraneless water electrolysis. Full article
(This article belongs to the Special Issue New Trends in Electrode for Electrochemical Analysis)
Show Figures

Figure 1

13 pages, 1033 KB  
Article
Analysis and Color Studies of Some Symmetrically Structured Disazo-Stilbene Dyes Based on Non-Genotoxic 4,4′-Diaminostilbene-2,2′-Disulfonic Acid
by Maria Elena Radulescu-Grad, Sorina Boran, Giannin Mosoarca, Sabina Nitu and Simona Popa
Processes 2026, 14(8), 1295; https://doi.org/10.3390/pr14081295 (registering DOI) - 18 Apr 2026
Abstract
This study presents a detailed colorimetric evaluation using the CIEL*a*b* system for a novel series of symmetrically structured disazo-stilbene dyes. The synthesis utilized the non-genotoxic 4,4’-diaminostilbene-2,2’-disulfonic acid as the diazotizing component, with the coupling components being N-substituted acetoacetanilide derivatives. The purity of the [...] Read more.
This study presents a detailed colorimetric evaluation using the CIEL*a*b* system for a novel series of symmetrically structured disazo-stilbene dyes. The synthesis utilized the non-genotoxic 4,4’-diaminostilbene-2,2’-disulfonic acid as the diazotizing component, with the coupling components being N-substituted acetoacetanilide derivatives. The purity of the obtained dyes was confirmed by HPLC analysis. The color analysis was initially conducted on the dyes in solid state (powder) to investigate potential structure–color correlations. Subsequently, these parameters were applied to analyze the performance of the dyes incorporated into acrylic resin films. Titanium dioxide (P.W.6; C.I. 77891) served as the white standard, along with mixtures of dyes in different concentrations that were applied to a cellulosic substrate. The results characterize these compounds as eco-friendly dyes possessing high tinctorial strength and a significant metamerism effect. Full article
(This article belongs to the Special Issue Biochemical Processes for Sustainability, 2nd Edition)
26 pages, 8974 KB  
Article
Deep-MiSR: Multi-Scale Convolution and Attention-Enhanced DeepLabV3 for Brain Tumor Segmentation in MRI+
by Md Parvej Mosharaf, Jie Su and Jing Zhang
Appl. Sci. 2026, 16(8), 3900; https://doi.org/10.3390/app16083900 - 17 Apr 2026
Abstract
Accurate brain tumor segmentation in magnetic resonance imaging (MRI) is essential for diagnosis, treatment planning, and therapy monitoring. Conventional deep learning models often struggle with large variations in tumor shape, size, and contrast, as well as severe foreground–background imbalance. To address these challenges, [...] Read more.
Accurate brain tumor segmentation in magnetic resonance imaging (MRI) is essential for diagnosis, treatment planning, and therapy monitoring. Conventional deep learning models often struggle with large variations in tumor shape, size, and contrast, as well as severe foreground–background imbalance. To address these challenges, this study presents Deep-MiSR, an enhanced encoder–decoder framework built upon DeepLabV3+ with a MobileNetV2 backbone, tailored for single-modality contrast-enhanced T1-weighted (T1CE) MRI segmentation. Three complementary components are integrated into the architecture: mixed depthwise convolution (MixConv) with heterogeneous kernels within the atrous spatial pyramid pooling module for multi-scale feature aggregation, a squeeze-and-excitation block for adaptive channel recalibration, and R-Drop regularization that enforces prediction consistency via symmetric Kullback–Leibler divergence. The model was evaluated on 3064 T1CE slices from 233 patients drawn from the publicly available Nanfang Hospital brain MRI dataset. Deep-MiSR achieved a Dice similarity coefficient of 0.9281, a mean intersection-over-union of 0.8738, a precision of 0.8839, and a 95th-percentile Hausdorff distance of 7.69 mm, demonstrating consistent improvements over both the DeepLabV3+ baseline and all prior methods evaluated on the same data. Ablation studies confirmed that each component contributes independently, with R-Drop providing the largest individual gain. These findings demonstrate that combining multi-scale convolution, channel attention, and consistency regularization constitutes an effective and computationally practical strategy for robust single-modality brain tumor segmentation. Full article
(This article belongs to the Special Issue Advances in Deep Learning-Based Medical Image Analysis: 2nd Edition)
32 pages, 440 KB  
Article
Structure and Enumeration of Constacyclic Codes over Cube-Zero Local Rings of Order q5
by Sami H. Saif and Shayea Aldossari
Mathematics 2026, 14(8), 1251; https://doi.org/10.3390/math14081251 - 9 Apr 2026
Viewed by 159
Abstract
We investigate λ-constacyclic codes of length n over finite commutative local rings R of characteristic p and order q5, where q=pm is an odd prime power, whose Jacobson radical N satisfies [...] Read more.
We investigate λ-constacyclic codes of length n over finite commutative local rings R of characteristic p and order q5, where q=pm is an odd prime power, whose Jacobson radical N satisfies N3=0N2, under the coprimality condition gcd(n,p)=1. In this setting, exactly two radical types occur, namely (3,1) and (2,2), determined by the dimensions of N/N2 and N2. For each type, we provide an explicit classification of the underlying rings and analyze the induced radical filtration of the ambient algebra Aλ=R[X]/Xnλ. We prove that every λ-constacyclic code is uniquely determined by its residual component in Aλ/J(Aλ) together with two torsion components arising from the radical chain J(Aλ)J(Aλ)20. This residual–torsion decomposition yields explicit generating sets; in particular, every λ-constacyclic code admits a generating set consisting of at most five elements. Furthermore, we derive exact enumeration formulas for all λ-constacyclic codes. In the type (2,2) case, the enumeration is governed by linear-algebraic constraints over the Chinese Remainder Theorem residue fields and, in the anisotropic class, depends on quadratic character values determined by the extension degrees. In the type (3,1) case, the enumeration is controlled by the dimension of the radical of the induced symmetric bilinear form on the top radical layer, equivalently by the rank class of the associated canonical matrix. Full article
17 pages, 5072 KB  
Article
A Dual-Input Dense U-Net-Based Method for Line Spectrum Purification Under Interference Background
by Zixuan Jia, Tingting Teng and Dajun Sun
J. Mar. Sci. Eng. 2026, 14(8), 700; https://doi.org/10.3390/jmse14080700 - 9 Apr 2026
Viewed by 253
Abstract
Line spectrum purification is a fundamental task in underwater detection and identification tasks. A dual-input architecture based on Dense U-net is introduced to extract clean line spectra from strong interference. The U-net model features a symmetric encoder–decoder structure that accepts two-dimensional data as [...] Read more.
Line spectrum purification is a fundamental task in underwater detection and identification tasks. A dual-input architecture based on Dense U-net is introduced to extract clean line spectra from strong interference. The U-net model features a symmetric encoder–decoder structure that accepts two-dimensional data as both input and output. The DenseBlock, a core component of DenseNets, offers greater parameter efficiency compared to conventional convolutional layers. In this paper, standard convolutional layers inside the original U-net are replaced by DenseBlocks. This model possesses two input channels, thus allowing the time–frequency feature of the interference and that of the interference–target mixture to be fed simultaneously. With supervised learning, the model is capable of eliminating the strong interference components and background noise from the superimposed spectrum, thereby producing a purified target line spectrum. Compared to traditional interference suppression methods, this approach offers higher feature accuracy and greater signal-to-interference-and-noise ratio (SINR) gain. Moreover, the model is trainable using simulation datasets and then deployed to real-world measurements, demonstrating strong generalization capabilities—a valuable property given the limited availability of labeled samples in underwater detection tasks. Being data-driven, this method operates without requiring prior assumptions about the array configuration, and consequently exhibits greater resilience to array imperfections relative to conventional model-based interference suppression techniques. Simulation and experimental results demonstrate that the proposed method achieves an output SINR improvement of more than 8 dB under low SINR conditions and exhibits significantly better robustness to array position errors than conventional methods, verifying its excellent line spectrum purification capability. Full article
(This article belongs to the Section Ocean Engineering)
Show Figures

Figure 1

11 pages, 3742 KB  
Article
Numerical Simulation Analysis of Elbow Erosion in Underground Gas Storage Process System
by Chengli Song, Wei Li, Jin Wang, Lifeng Li and Xinbao Liu
Appl. Sci. 2026, 16(7), 3593; https://doi.org/10.3390/app16073593 - 7 Apr 2026
Viewed by 340
Abstract
Aiming at the erosion failure risk of key elbow components in the process system of underground gas storage (UGS), numerical simulation was adopted to investigate the erosion behavior and mechanism of elbows under the following three typical working conditions: gas injection, gas production, [...] Read more.
Aiming at the erosion failure risk of key elbow components in the process system of underground gas storage (UGS), numerical simulation was adopted to investigate the erosion behavior and mechanism of elbows under the following three typical working conditions: gas injection, gas production, and wastewater treatment. The results show that the elbow in the gas injection system is under gas–solid two-phase flow, and the most severely eroded area is located at 45–50° on the outer arc side of the elbow. Small particles have stronger flow-following ability than large particles and collide with the wall more sufficiently, resulting in a higher erosion rate. For the tandem elbows in the gas production system, affected by centrifugal force and secondary flow, the outer arc side shows high pressure while the inner arc side shows low pressure. As the particle size increases, the erosion rates of both elbows decrease, with a larger reduction for the second elbow. The most severely eroded positions of the first and second elbows are at 50–55° and 40–45° on the outer arc side, respectively. The elbow in the wastewater treatment system has relatively slight erosion with a symmetrical distribution, but a small amount of natural gas accumulated on the inner side easily induces cavitation corrosion. Full article
(This article belongs to the Special Issue Sustainability and Challenges of Underground Gas Storage Engineering)
Show Figures

Figure 1

34 pages, 453 KB  
Article
Parametric Estimation of a Merton Model Using SOS Flows and Riemannian Optimization
by Luca Di Persio and Paul Bastin
Mathematics 2026, 14(7), 1217; https://doi.org/10.3390/math14071217 - 4 Apr 2026
Viewed by 431
Abstract
We consider the problem of Bayesian parameter inference in the Merton structural credit risk model, where the posterior is induced by a jump-diffusion likelihood and the marginal evidence is not available in closed form. To approximate this posterior, we construct a variational family [...] Read more.
We consider the problem of Bayesian parameter inference in the Merton structural credit risk model, where the posterior is induced by a jump-diffusion likelihood and the marginal evidence is not available in closed form. To approximate this posterior, we construct a variational family based on triangular sum-of-squares (SOS) polynomial flows, in which each component map is monotone by construction: its diagonal derivative is a positive definite quadratic form on a monomial basis, yielding a closed-form log-Jacobian and explicit gradients with respect to all flow parameters. The symmetric positive definite matrices parametrizing the flow are optimized by intrinsic Riemannian gradient ascent on the positive definite cone equipped with the affine-invariant metric, which preserves feasibility at every iterate without projection. We show that the rank-one Jacobian gradients produced by the SOS structure have unit norm in the affine-invariant metric, establishing a direct algebraic coupling between the transport family and the optimization geometry and implying a universal 1-Lipschitz bound for the log-Jacobian along geodesics. On the likelihood side, we derive exact score identities for all five structural parameters of the Merton model—drift, volatility, jump intensity, jump mean, and jump volatility—through both the Poisson log-normal mixture and the Fourier inversion representations. Strictly positive parameters are handled via exponential reparametrization, and the resulting gradients propagate end-to-end through the flow. We establish uniform truncation bounds on compact parameter sets for the infinite mixture and its associated score series, providing rigorous control over the finite approximations used in practice. The base distribution is chosen to be uniform on [0,1]5, whose bounded support ensures uniform control of the monomial basis and stabilizes the polynomial calculus. These ingredients are assembled into a fully explicit modified ELBO with implementable gradients, combining Euclidean updates for vector parameters and intrinsic manifold updates for matrix parameters. Full article
(This article belongs to the Special Issue Applications of Time Series Analysis)
24 pages, 3448 KB  
Article
Gaussian-Guided Stage-Aware Deformable FPN with Coarse-to-Fine Unit-Circle Resolver for Oriented SAR Ship Detection
by Liangjie Meng, Qingle Guo, Danxia Li, Jinrong He and Zhixin Li
Remote Sens. 2026, 18(7), 1019; https://doi.org/10.3390/rs18071019 - 29 Mar 2026
Viewed by 299
Abstract
Synthetic Aperture Radar (SAR) enables all-weather maritime surveillance, yet ship-oriented bounding box (OBB) detection remains challenging in complex scenes. Strong sea clutter and dense harbor scatterers often mask the slender characteristics of ships as well as the weak responses of small ships. Meanwhile, [...] Read more.
Synthetic Aperture Radar (SAR) enables all-weather maritime surveillance, yet ship-oriented bounding box (OBB) detection remains challenging in complex scenes. Strong sea clutter and dense harbor scatterers often mask the slender characteristics of ships as well as the weak responses of small ships. Meanwhile, the periodicity of angle parameterization introduces regression discontinuities, and near-symmetric, bright-scatterer-dominated signatures further cause heading ambiguity, undermining the stability of orientation prediction. Moreover, in most detectors, multi-scale feature fusion and angle estimation lack explicit coordination, and rotated-box localization performance is often jointly affected by feature degradation and unstable orientation prediction. To this end, we propose a unified framework that simultaneously strengthens multi-scale representations and stabilizes orientation modeling. Specifically, we design a Gaussian-Guided Stage-Aware Deformable Feature Pyramid Network (GSDFPN) and a Coarse-to-Fine Unit-Circle Resolver (CF-UCR). GSDFPN enhances multi-scale fusion with two plug-in components: (i) a Gaussian-guided High-level Semantic Refinement Module (GHSRM) that suppresses clutter-dominated semantics while strengthening ship-responsive cues, and (ii) a Stage-aware Deformable Fusion Module (SDFM) for low-level features, which disentangles channels into a geometry-preserving spatial stream and a clutter-resistant semantic stream, and couples them via deformable interaction with bidirectional cross-stream gating to better capture the inherent slender characteristics of ships and localize small ships. For orientation, CF-UCR decomposes angle prediction into direction-cluster classification and intra-cluster residual regression on the unit circle, effectively mitigating periodicity-induced discontinuities and stabilizing rotated-box estimation. On SSDD+ and RSDD, our method achieves AP/AP50/AP75 of 0.5390/0.9345/0.4529 and 0.4895/0.9210/0.4712, respectively, while reaching APs75/APm75/APl75 of 0.5614/0.8300/0.8392 and 0.4986/0.8163/0.8934, evidencing strong rotated-box localization across target scales in complex maritime scenes. Full article
(This article belongs to the Topic Computer Vision and Image Processing, 3rd Edition)
Show Figures

Figure 1

14 pages, 6039 KB  
Article
Flow Mechanism Analysis of Engine Valve Deviation Under Braking Conditions
by Wenchao Mo, Zhancheng Dou, Qiang Sun and Zhihang Chen
Fluids 2026, 11(4), 87; https://doi.org/10.3390/fluids11040087 - 27 Mar 2026
Viewed by 268
Abstract
The valve serves as the actuating component within the valve mechanism. Under braking conditions, the valve is prone to swaying, which significantly compromises the reliability and service life of the engine. Hence, this paper focuses on researching the deviation characteristics of engine valves. [...] Read more.
The valve serves as the actuating component within the valve mechanism. Under braking conditions, the valve is prone to swaying, which significantly compromises the reliability and service life of the engine. Hence, this paper focuses on researching the deviation characteristics of engine valves. Through a three-dimensional numerical simulation, we analyze the flow field around the valve in the instantaneous states. Our research has revealed that the flow surrounding the valve exhibits a complex multi-vortex structure. Specifically, we observed the evolution pattern of the asymmetric multi-vortex flow along the valve axis within three distinct zones: the asymmetry increase zone, the symmetric development zone, and the asymmetry re-increase zone. The asymmetry increase zone and the asymmetry re-increase zone are located in the curved section and the cylindrical body of the valve, respectively. These zones are the primary contributors to the lateral force acting on the valve, which in turn induces deviation. Based on these analysis results, further research must be conducted on the dynamic characteristics of the flow during valve movement and on optimizing the valve structure through flow control strategies. Full article
(This article belongs to the Special Issue Industrial CFD and Fluid Modelling in Engineering, 3rd Edition)
Show Figures

Figure 1

19 pages, 3595 KB  
Article
Equilibrating the Effects of Gravity-Gradient Potential on the Orbits of Lorentz Triaxial Spacecraft
by M. A. Yousef
Symmetry 2026, 18(4), 567; https://doi.org/10.3390/sym18040567 - 26 Mar 2026
Viewed by 299
Abstract
In this paper, the effects of gravity-gradient potential on a spacecraft of arbitrary shape are outlined. The potential expressing the planet’s gravity-gradient torque on a triaxial spacecraft is formed. The planet’s shape is considered oblate spheroidal, and the dimensions of the spacecraft are [...] Read more.
In this paper, the effects of gravity-gradient potential on a spacecraft of arbitrary shape are outlined. The potential expressing the planet’s gravity-gradient torque on a triaxial spacecraft is formed. The planet’s shape is considered oblate spheroidal, and the dimensions of the spacecraft are assumed small compared to its distance from the center of the planet. The radial, transverse and normal components of the Lorentz force, in terms of orbital elements, are constructed. The variations in the orbital elements due to both gravity-gradient potential and Lorentz force are derived. The charges per unit mass needed to balance such perturbation are obtained. The symmetrical results in mathematical equations are obvious. The International Space Station (ISS) is used as an example to test our model. A three-dimensional diagram was plotted to illustrate the charge per unit mass with the shape and size of the orbits. Full article
Show Figures

Figure 1

14 pages, 1136 KB  
Article
Achieving Maximum Chirality and Enhancing Third-Harmonic Generation via Quasi-Bound States in the Continuum in Nonlinear Metasurfaces
by Du Li, Yuchang Liu, Kun Liang and Li Yu
Nanomaterials 2026, 16(7), 388; https://doi.org/10.3390/nano16070388 - 24 Mar 2026
Viewed by 323
Abstract
Chiral bound states in the continuum (BIC) metasurfaces have emerged as a promising platform for enhancing light–matter interactions, which have potential applications in advanced photonic and quantum information devices. However, simultaneously achieving near-perfect circular dichroism and highly efficient nonlinear conversion with highly symmetric [...] Read more.
Chiral bound states in the continuum (BIC) metasurfaces have emerged as a promising platform for enhancing light–matter interactions, which have potential applications in advanced photonic and quantum information devices. However, simultaneously achieving near-perfect circular dichroism and highly efficient nonlinear conversion with highly symmetric structures in metasurfaces remains an open challenge. In this work, we design a C4-symmetric chiral metasurface composed of eight elliptical silicon nanorods on a SiO2 substrate, where monocrystalline silicon is used as the nonlinear optical material. By combining simulations and nonlinear time-domain coupled-mode theory (TCMT), we discovered that both the optimal chirality and the nonlinear conversion efficiency can be attained simultaneously due to the critical coupling between the metasurface mode and the quasi-BIC mode. Meanwhile, a near-perfect circular dichroism (CD = 0.99) and a high nonlinear conversion efficiency of 7×105 under a radiation intensity of 5kW/cm2 are numerically achieved due to the robustness of bound states in the continuum. This work offers a promising route toward high-performance chiral nonlinear photonic components, which is of great importance for the development of ultra-compact optical devices such as circular polarization detectors, chiral sensors, and nonlinear photonic chips for integrated optical and quantum information systems. Our research not only contributes to the fundamental understanding of chiral metasurfaces but also provides a practical approach for achieving high-efficiency nonlinear optical devices. Full article
(This article belongs to the Special Issue Nanophotonic: Structure, Devices and System)
Show Figures

Figure 1

13 pages, 2175 KB  
Article
Multi-Sensor Measurement of Cylindrical Illuminance
by Michal Kozlok, Marek Balsky and Petr Zak
Sensors 2026, 26(6), 1991; https://doi.org/10.3390/s26061991 - 23 Mar 2026
Viewed by 332
Abstract
Spatial light field metrics, such as cylindrical illuminance, provide essential information for qualitative lighting evaluation, yet they remain far less common in practice than horizontal illuminance. To address this gap, we present a multi-sensor prototype that simultaneously measures horizontal illuminance Eh and [...] Read more.
Spatial light field metrics, such as cylindrical illuminance, provide essential information for qualitative lighting evaluation, yet they remain far less common in practice than horizontal illuminance. To address this gap, we present a multi-sensor prototype that simultaneously measures horizontal illuminance Eh and approximates mean cylindrical illuminance Ez from a set of vertical illuminances uniformly distributed around a cylindrical surface. The device uses a flexible PCB wrapped around a support barrel, along with an inertial and magnetic measurement unit for orientation tracking. The measurements enable direct calculation of the modelling factor defined in the technical standard EN 12 464 and the visualization of the directional light distribution using polar plots and an illuminance solid. Results show that the prototype approximates mean cylindrical illuminance with high accuracy while preserving directional information, allowing the illuminance solid to be decomposed into vector and symmetric components. Compared with conventional approximation methods, the proposed multi-sensor approach reduces spatial error and yields richer data for lighting analysis. These findings indicate that multi-sensor systems can bridge the gap between theoretical spatial metrics and practical photometry and support the improved modelling evaluation and integration of qualitative lighting parameters into routine workflows. Full article
Show Figures

Figure 1

35 pages, 10157 KB  
Article
Mechanical Characteristics Analysis and Structural Optimization of Wheeled Multifunctional Motorized Crossing Frame
by Shuang Wang, Chunxuan Li, Wen Zhong, Kai Li, Hehuai Gui and Bo Tang
Appl. Sci. 2026, 16(6), 3034; https://doi.org/10.3390/app16063034 - 20 Mar 2026
Viewed by 294
Abstract
Wheeled multifunctional motorized crossing frames represent a new type of crossing equipment for high-voltage transmission line construction. The initial design is too conservative, having a large safety margin and high material redundancy. Therefore, it is necessary to study a lightweight design version. However, [...] Read more.
Wheeled multifunctional motorized crossing frames represent a new type of crossing equipment for high-voltage transmission line construction. The initial design is too conservative, having a large safety margin and high material redundancy. Therefore, it is necessary to study a lightweight design version. However, as the structure constitutes an assembly consisting of multiple components, it also exhibits relatively high complexity. In a lightweight design, optimizing multi-component and multi-size parameters can lead to structural interference and separation, seriously affecting the smooth progress of design optimization. Therefore, an optimization design method of a multi-parameter complex assembly structure is proposed to solve this problem. Firstly, the typical stress conditions of the wheeled multifunctional motorized crossing frame were analyzed using its structural model. Then, a finite element model of the beam was established in ANSYS 2021 R1 Workbench, and the mechanical characteristics were analyzed. The results show that the arm support is the key load-bearing component and has significant optimization potential. Subsequently, functional mapping relationships were established among the 14 dimension parameters of the arm support, reducing the number of design variables to six and successfully avoiding component separation or interference during optimization. Through global sensitivity analysis, the height, thickness, and length of the arm body were screened out as the core optimization parameters from six initial design variables. Then, 29 groups of sample points were generated via central composite design (CCD), and a response surface model reflecting the relationships among the arm body’s dimensional parameters, total mass, maximum stress, and maximum deformation was established using the Kriging method. Leave-one-out cross-validation (LOOCV) was performed, and the coefficients of determination (R2) for model fitting were all higher than 0.995, indicating extremely high prediction accuracy. Taking mass and deformation minimization as the optimization objectives, the MOGA algorithm was adopted to perform multi-objective optimization and determine the optimal engineering parameters. Simulation verification was conducted on the optimized arm support, and an eigenvalue buckling analysis was performed simultaneously to verify structural stability. Finally, the proposed optimization method was experimentally verified through mechanical performance tests of the full-scale prototype under symmetric and eccentric loads. The results show that the mass of the optimized arm support is reduced from 217.73 kg to 189.8 kg, with a weight reduction rate of 12.8%. Under an eccentric load of 70,000 N, the maximum deformation of the arm support is 8.9763 mm, the maximum equivalent stress is 314.86 MPa, and the buckling load factor is 6.08, all of which meet the requirements for structural stiffness, strength, and buckling stability. The maximum error between the experimental and finite element results is only 4.64%, verifying the accuracy and reliability of the proposed method. The proposed optimization methodology, validated on a wheeled multifunctional motorized crossing frame, serves as a transferable paradigm for the lightweight design of complex assemblies with coupled dimensional constraints, thereby offering a general reference for the structural optimization of multi-component transmission line equipment, construction machinery, and other multi-component engineering systems. Full article
Show Figures

Figure 1

18 pages, 445 KB  
Article
The Curvature Parameter of the Symmetry Energy and a Modified Polytropic Equation of State
by Ilona Bednarek, Wiesław Olchawa, Jan Sładkowski and Jacek Syska
Appl. Sci. 2026, 16(6), 2825; https://doi.org/10.3390/app16062825 - 16 Mar 2026
Viewed by 258
Abstract
The nuclear symmetry energy is a key component of the equation of state of neutron stars, controlling their macroscopic parameters and internal structure. Currently, it remains an unknown issue in both experimental and theoretical studies within the density range relevant to the interiors [...] Read more.
The nuclear symmetry energy is a key component of the equation of state of neutron stars, controlling their macroscopic parameters and internal structure. Currently, it remains an unknown issue in both experimental and theoretical studies within the density range relevant to the interiors of neutron stars. This paper aims to investigate the density dependence of the symmetry energy, analyzing it in terms of the curvature parameter Ksym. The analysis is based on a neutron star matter equation of state constructed using the proposed modified polytropic form. The polytropic equations of state used approximate the complex, realistic ones. The realistic equations of state selected for the analysis in this paper are those derived using the relativistic mean-field approach. The proposed method exploits the existing strong correlations between the incompressibility of both symmetric and asymmetric nuclear matter and the calculated values of the neutron star crust–core transition density. Starting from the experimental constraint on the incompressibility of symmetric nuclear matter K0 and based on observationally determined parameters, such as the mass and radius of PSR J0740+6620 pulsar, the formulated method allows for a selection of the range of Ksym values acceptable by both the constraints on K0 and the results of astrophysical observations. Full article
(This article belongs to the Special Issue Exploiting Symmetry in Quantum Computing, Materials, and Devices)
Show Figures

Figure 1

Back to TopTop