Sign in to use this feature.

Years

Between: -

Subjects

remove_circle_outline
remove_circle_outline
remove_circle_outline
remove_circle_outline
remove_circle_outline

Journals

Article Types

Countries / Regions

Search Results (10)

Search Parameters:
Keywords = super-span tunnel

Order results
Result details
Results per page
Select all
Export citation of selected articles as:
18 pages, 3740 KB  
Article
Study on the Strength and Mechanism Analysis of Coarse Aggregate Reactive Powder Concrete
by Xiuhong Hao, Haichuan Jia, Guangyao Ding, Xianxian Kong and Xianghe Meng
Buildings 2025, 15(13), 2327; https://doi.org/10.3390/buildings15132327 - 2 Jul 2025
Viewed by 526
Abstract
The demand for super-tall buildings and long-span bridges has driven concrete development toward higher strength and durability. Therefore, this study investigated the impact of composition of materials (aggregates, admixtures, and steel fibers) on the mechanical performance and economic feasibility of coarse aggregate reactive [...] Read more.
The demand for super-tall buildings and long-span bridges has driven concrete development toward higher strength and durability. Therefore, this study investigated the impact of composition of materials (aggregates, admixtures, and steel fibers) on the mechanical performance and economic feasibility of coarse aggregate reactive powder concrete (CA-RPC). The goal is to identify optimal combinations for both performance and cost. Scanning electron microscopy (SEM) and pore structure analysis were used to assess microstructural characteristics. The results demonstrated that replacing quartz sand with yellow sand as the fine aggregate in CA-RPC effectively reduced construction costs without compromising compressive strength. The use of basalt as the coarse aggregate led to higher mechanical strength compared to limestone. Incorporating 20% fly ash reduced the 7-day compressive strength, while the 28-day strength remained unaffected. The addition of 10% silica fume showed no obvious effect on the early strength but significantly improved the 28-day strength and workability of the concrete. Moreover, the incorporation of steel fibers improved the flexural strength and structural integrity of CA-RPC, shifting the failure mode from brittle fracture to a more ductile cracking behavior. SEM observations and pore structure analyses revealed that the admixtures altered the hydration products and pore distribution, thereby affecting the mechanical performance. This study provides valuable insights into the strength development and underlying mechanisms of CA-RPC, offering a theoretical basis for its practical application in bridge deck pavement and tunnels. Full article
(This article belongs to the Section Building Materials, and Repair & Renovation)
Show Figures

Figure 1

18 pages, 11238 KB  
Article
Excavation Method Comparison and Optimization for a Super Large Cross-Section Tunnel
by Yingjing Huang, Tao Fang and Ning Wang
Appl. Sci. 2024, 14(15), 6544; https://doi.org/10.3390/app14156544 - 26 Jul 2024
Cited by 2 | Viewed by 1892
Abstract
Characterized by long spans, low aspect ratios, and intricate construction sequences, super-large cross-section tunnels present substantial construction risks. Therefore, the selection of the optimal excavation method and construction sequence is crucial for ensuring the safety of tunnel construction and minimizing project costs. This [...] Read more.
Characterized by long spans, low aspect ratios, and intricate construction sequences, super-large cross-section tunnels present substantial construction risks. Therefore, the selection of the optimal excavation method and construction sequence is crucial for ensuring the safety of tunnel construction and minimizing project costs. This paper takes a super large transverse-section highway tunnel as a case study, employing field monitoring data combined with ABAQUS software to analyze the stress and deformation of surrounding rock and support structures under different excavation methods. The findings reveal that the deformation of surrounding rock and support structures excavated by the Double-Side Drift Method is smaller than those caused by the three-benching seven-step method and the CRD excavation method. Nevertheless, the significant stresses of surrounding rock and support structures are released by the Double-Side Drift Method, leading to potential stress concentrations. Thus, it is necessary to ensure the rapid completion of early support and quick sealing of the tunnel. Furthermore, the sixth process achieves smaller deformation (including arch displacement and surface settlement) of the tunnel, a shorter construction period, and lower economic costs when compared to other construction processes. Consequently, it can obviously be concluded that both the Double-Side Drift Method and the sixth construction process stand out as the most appropriate choices for excavating super large cross-section tunnels. The insights obtained from this study provide theoretical guidance for the design and construction of similar tunnel projects. Full article
(This article belongs to the Section Civil Engineering)
Show Figures

Figure 1

18 pages, 20014 KB  
Article
Study on Field Test of Deformation and Stability Control Technology for Shallow Unsymmetrical Loading Section of Super-Large-Span Tunnel Portal
by Li Wan, Yanbin Luo, Changan Zhang, Chaopeng Tian, Xing Shao and Zhen Liu
Appl. Sci. 2024, 14(13), 5796; https://doi.org/10.3390/app14135796 - 2 Jul 2024
Cited by 2 | Viewed by 1297
Abstract
This study focuses on monitoring the deformation of the shallow unsymmetrical section of a super-large-span tunnel portal relying on the newly built Shimentangshan Tunnel, and through numerical simulations, the construction sequence and drift ratios were optimized to address challenges related to the stability [...] Read more.
This study focuses on monitoring the deformation of the shallow unsymmetrical section of a super-large-span tunnel portal relying on the newly built Shimentangshan Tunnel, and through numerical simulations, the construction sequence and drift ratios were optimized to address challenges related to the stability of surrounding rock and structure. The findings indicate that employing the double-side drift method results in a maximum settlement value of 107.0 mm and a maximum convergence value of 108.8 mm, leading to larger deformations. Excavating the shallow buried side first followed by the deep buried side proves beneficial for deformation control of the support structure and effectively limits damage to the surrounding rock. A drift ratio of 0.3 ensures optimal support structure security and stability. Considering both structural deformation and surrounding rock damage, a ratio between 0.25 and 0.35 for the drifts is recommended. Taking into account construction efficiency and economic benefits, a construction plan for the shallow buried unsymmetrical section at the portal of super-large-span tunnels is proposed. Full article
(This article belongs to the Special Issue Tunnel and Underground Engineering: Recent Advances and Challenges)
Show Figures

Figure 1

24 pages, 12805 KB  
Article
Mechanical Behavior of Secondary Lining in Super Large-Span Tunnels Considering Temperature Effects
by Fangfang Dong, Yanbin Luo, Jianxun Chen, Chuanwu Wang, Yahui Liu and Wenjie Xun
Symmetry 2024, 16(3), 339; https://doi.org/10.3390/sym16030339 - 12 Mar 2024
Cited by 1 | Viewed by 1704
Abstract
Temperature stress has a significant impact on the structural stress of (super) large-span tunnel lining, which can easily lead to structural fatigue damage and premature cracking. With the increasing scale and quantity of super large-span tunnels, the issue of temperature stress in secondary [...] Read more.
Temperature stress has a significant impact on the structural stress of (super) large-span tunnel lining, which can easily lead to structural fatigue damage and premature cracking. With the increasing scale and quantity of super large-span tunnels, the issue of temperature stress in secondary lining has attracted widespread attention. Previous studies have paid little attention to the influence of temperature stress on the structural internal forces of ordinary small–medium-span tunnels, but this influence cannot be ignored for super large-span tunnels. We take the Letuan Tunnel (a double-hole eight-lane tunnel) of the Binzhou-Laiwu expressway renovation and expansion project in Shandong Province as a case study and analyze the mechanical response of the secondary lining through on-site measurement. Moreover, a numerical simulation was conducted to evaluate the effects of self-weight and temperature stress on the secondary lining of the case tunnel. The results indicate that: the stress of the secondary lining concrete and steel bars is greatly affected by seasonal temperature changes. The compressive stress of the concrete and steel bars is significantly greater in summer than in winter, and the tensile stress is greater in winter than in summer. Furthermore, multiple measurement points have shown a phenomenon of transition between tensile and compressive stress states. The stress of concrete and steel bars fluctuates periodically with a sine function over time, with a fluctuation period of one year. The structural stress increases with the increase of summer temperature and decreases with the decrease of winter temperature. The fluctuation amplitude of stress in the inner side of the lining concrete and steel bars is greater than that on the outer side. Among them, the stress amplitudes of the inner and outer sides of the concrete are between 0.77–1.75 MPa and 0.44–1.07 MPa, respectively, and the stress amplitudes of the inner and outer steel bars are between 5–31 MPa and 7–13 MPa, respectively. The safety factors in summer are lower than those in winter. The minimum safety factors for secondary lining in summer and winter are 3.4 and 4.6, respectively, which can meet the safety requirements for service. The average axial forces of the secondary lining under the coupling effects of self-weight and temperature in winter and summer are 528 MPa and 563 MPa, respectively, which are significantly greater than the combined axial forces under their individual effects. The bending moment distribution of the secondary lining at the tunnel vault, inverted arch, wall spring and other positions under the coupling effect of self-weight and temperature is different from or even opposite to the bending moment superposition result under the two individual actions. The achieved results reveal that the influence of temperature stress on the service performance of the lining structure cannot be ignored, and the research results can provide useful reference for similar tunnels and related studies. Full article
Show Figures

Figure 1

19 pages, 15554 KB  
Article
Mechanical Behavior of Anchor Bolts for Shallow Super-Large-Span Tunnels in Weak Rock Mass
by Shaohui He, Jiaxin He, Jianfei Ma, Xiabing Liu, Yiming Li and Bin Zhang
Materials 2023, 16(17), 5862; https://doi.org/10.3390/ma16175862 - 27 Aug 2023
Cited by 6 | Viewed by 1702
Abstract
Based on the Xiabeishan No.2 tunnel project of the Hang-Shao-Tai high-speed railway in China, the mechanical behavior of the anchor bolts for shallow super-large-span (SSLS) tunnels in weak rock mass is comprehensively investigated through laboratory tests, numerical simulation, and field tests. Firstly, an [...] Read more.
Based on the Xiabeishan No.2 tunnel project of the Hang-Shao-Tai high-speed railway in China, the mechanical behavior of the anchor bolts for shallow super-large-span (SSLS) tunnels in weak rock mass is comprehensively investigated through laboratory tests, numerical simulation, and field tests. Firstly, an eight-month field test is conducted in the Xiabeishan No.2 tunnel, and it is discovered that the blasting vibration created by the construction of the middle pilot tunnel caused serious damage to the temporary support, seriously affecting the development of the bolt axial force and causing great construction risks. Then, the refined finite difference model of the SSLS tunnels is formulated, and a series of field and laboratory tests are conducted to acquire the calculation parameters. By comparing the monitored and simulated bolt axial force, the reliability of the numerical model is verified. Subsequently, the influence of the rock condition, construction scheme and bolt length on the mechanical behavior of anchor bolts is discussed. It is revealed that the rock grade significantly affects the bearing characteristics of anchor bolts. The construction scheme can greatly affect the magnitude and development mode of the bolt axial force, but the final distribution characteristics of the bolt axial force do not change regardless of the construction sequence. The axial force of the anchor bolts grows rapidly with the bolt length when the bolt length is within 18 m; meanwhile, when the bolt length exceeds 18 m, increasing the bolt length has a limited effect on the improvement in the bolt support performance. Finally, some optimization measures are proposed according to the monitoring data and simulation results. Full article
(This article belongs to the Section Construction and Building Materials)
Show Figures

Figure 1

25 pages, 46093 KB  
Article
Numerical Stability Analysis of Large Section Tunnels Using the Double-Side Heading Method: A Case Study of Xiamen Haicang Evacuate-Channel
by Jianxiu Wang, Ansheng Cao, Zhao Wu, Lihua Lin, Zonghai Li, Xiaotian Liu, Huboqiang Li, Yanxia Long and Yuanwei Sun
Appl. Sci. 2023, 13(1), 406; https://doi.org/10.3390/app13010406 - 28 Dec 2022
Cited by 1 | Viewed by 1970
Abstract
Large section tunnels have huge excavation spans, complex excavation procedures, mutual influence among various procedures, multiple disturbances of the surrounding rock, and discontinuous connection among linings under different procedures, which bring great difficulties to their construction. The Caijianwei Mountain No. 2 tunnel of [...] Read more.
Large section tunnels have huge excavation spans, complex excavation procedures, mutual influence among various procedures, multiple disturbances of the surrounding rock, and discontinuous connection among linings under different procedures, which bring great difficulties to their construction. The Caijianwei Mountain No. 2 tunnel of the Xiamen Haicang Evacuate-channel project in China belongs to a super large section tunnel. The tunnel’s maximum excavation section span reaches 30.52 m, and the excavation area reaches 421.73 m2. Its excavation sequence, the timing of the second primary lining support, temporary support disassembly, and secondary lining support of the double-side heading method were analyzed using numerical methods. The excavation sequence of the double side-heading method from the right pilot tunnel to the left pilot tunnel and then to the middle pilot tunnel can avoid a large horizontal displacement at the arch waist and control the deformation of the lining. The excavation sequence from the middle pilot tunnel to the two side pilot tunnels was conducive to the bearing performance of the concrete at the arch crown. The excavation sequence from the two side pilot tunnels to the middle pilot tunnel can better protect the concrete safety at the arch waist. The timing of the second primary lining support, temporary support removal, and secondary lining support have different effects on the deformation and stress of the surrounding rock and support structures. In the construction process, the timing of the second primary lining support, temporary support disassembly, and secondary lining support should be determined according to the actual deformation and stress of the site section. The research results can provide a reference for the construction design of the double-side heading method for large section tunnels. Full article
(This article belongs to the Special Issue Future Trends in Tunnel and Underground Engineering)
Show Figures

Figure 1

16 pages, 12588 KB  
Article
Study on Share Rate of Support Structure for Super-Large Span Twin Tunnels with Small Interval
by Xuwei Zhao, Keguo Sun, Yingzhou Zhen, Yiqin Hong and Huichao Zhou
Appl. Sci. 2022, 12(15), 7498; https://doi.org/10.3390/app12157498 - 26 Jul 2022
Cited by 2 | Viewed by 2043
Abstract
Super-large span twin tunnels, which can relieve traffic burden and improve the efficiency of roads, have been rapidly popularized in urban construction. Hence, it is very important to master the share rate of support structure in this sort of tunnel correctly. In this [...] Read more.
Super-large span twin tunnels, which can relieve traffic burden and improve the efficiency of roads, have been rapidly popularized in urban construction. Hence, it is very important to master the share rate of support structure in this sort of tunnel correctly. In this paper, some field monitoring and numerical simulation work has been carried out in such a tunnel in Daling, China. The content of field monitoring consisted of the vault settlement, stress of the concrete, and the sum pressure. Firstly, the calculation formula of rock pressure in this kind of tunnel had been deduced, which was based on the theoretical sliding failure mode. Then, the calculated rock pressure was applied to the load structure model step by step with 10% intervals (10%, 20%, …). By comparing the monitoring and the simulation results on vault settlement, the share rate of the primary support was ensured to be 40%. Similarly, by comparing the result on safety factors, the share rate of the secondary lining was obtained (40%). The remained load was born mainly by the surrounding rock itself and the advanced support. Finally, the reliability of the results were verified by the sum pressure. This paper can provide reference for the effective design of support structure in super-large span twin tunnels. Full article
(This article belongs to the Special Issue Geo-Environmental Problems Caused by Underground Construction)
Show Figures

Figure 1

24 pages, 10386 KB  
Article
Numerical Simulation on the Response of Adjacent Underground Pipelines to Super Shallow Buried Large Span Double-Arch Tunnel Excavation
by Jianxiu Wang, Ansheng Cao, Zhao Wu, Zhipeng Sun, Xiao Lin, Lei Sun, Xiaotian Liu, Huboqiang Li and Yuanwei Sun
Appl. Sci. 2022, 12(2), 621; https://doi.org/10.3390/app12020621 - 10 Jan 2022
Cited by 14 | Viewed by 2508
Abstract
The excavation of a shallow buried tunnel may cause stress redistribution in surrounding rock, and cause deformation, damage, and even destruction of adjacent underground pipelines. The land part of the Haicang undersea tunnel in Xiamen of China was a super shallow buried large [...] Read more.
The excavation of a shallow buried tunnel may cause stress redistribution in surrounding rock, and cause deformation, damage, and even destruction of adjacent underground pipelines. The land part of the Haicang undersea tunnel in Xiamen of China was a super shallow buried large span double-arch tunnel. Its construction was restricted by both underground excavation safe and adjacent pipeline protection. Multiple groups of working conditions were designed considering the relative position of pipe and tunnel, pipeline and tunnel construction parameters. Numerical simulation was used to study the influence of pipeline horizontal distance, buried depth, pipeline diameter, pipeline wall thickness, pipeline shape, pipeline material and excavation method on the response of adjacent underground pipelines. The results show that the relative position of pipe and tunnel, and the construction method of the double-arch tunnel have a great influence on pipeline deformation. Pipeline material, pipeline diameter and excavation method have a great influence on pipeline stress. The construction method was the key factor affecting the stress and deformation of the pipeline. The three-step reserved core soil method can effectively control the stress and deformation of underground pipelines. The research results can provide a reference for similar projects. Full article
(This article belongs to the Special Issue Advanced Numerical Simulations in Geotechnical Engineering)
Show Figures

Figure 1

20 pages, 11994 KB  
Article
Field Monitoring of the Deformation and Internal Forces of the Surrounding Rock and Support Structures in the Construction of a Super-Span High-Speed Railway Tunnel—A Case Study
by Daoping Liu, Dingli Zhang, Qian Fang, Zhenyu Sun, Jiwei Luo and Ao Li
Appl. Sci. 2020, 10(15), 5182; https://doi.org/10.3390/app10155182 - 28 Jul 2020
Cited by 18 | Viewed by 2867
Abstract
A super-span tunnel that has the characteristics of a large excavation area, a small high-span ratio and a significant spatial effect exhibits a complex mechanical response during the excavation process. In this paper, taking the Badaling Great Wall station in Beijing, China as [...] Read more.
A super-span tunnel that has the characteristics of a large excavation area, a small high-span ratio and a significant spatial effect exhibits a complex mechanical response during the excavation process. In this paper, taking the Badaling Great Wall station in Beijing, China as the engineering background, a case study of field monitoring a super-span tunnel has been presented. A typical monitoring section was selected in the super-span transition section of the tunnel and the deformation and forces of both the surrounding rock and the support structures were systematically monitored. The dynamic evolution and the spatial distribution characteristics of the monitoring data, including the internal displacement of the surrounding rock, the tunnel displacement, the contact pressure between the surrounding rock and the primary supports, the contact pressure between the primary and secondary supports, the axial forces in the bolts and cables, the internal forces in both the steel arches and the secondary supports and the internal stresses of the surrounding rock, were analyzed. The results of the monitoring and the analyses have shown that the deformation and the forces acting on both the surrounding rock and the tunnel’s lining are directly related to the construction procedures, the geological conditions and the locations in the super-span tunnel. According to the results, a few suggestions to improve the construction of the tunnel have been proposed. Full article
(This article belongs to the Section Civil Engineering)
Show Figures

Figure 1

17 pages, 9248 KB  
Article
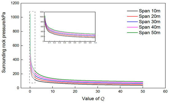
Study on a Surrounding Rock Pressure Calculation Method for Super-Large Section Highway Tunnels
by Hongjie Gao, Ping He, Zheng Chen and Xinyu Li
Symmetry 2019, 11(9), 1133; https://doi.org/10.3390/sym11091133 - 5 Sep 2019
Cited by 20 | Viewed by 5082
Abstract
This paper presents new correlations for estimating the surrounding rock pressure of symmetrically shaped tunnels based on a symmetrical numerical model. Surrounding rock pressure is defined as the load acting on the support structure due to the deformation of the surrounding rock after [...] Read more.
This paper presents new correlations for estimating the surrounding rock pressure of symmetrically shaped tunnels based on a symmetrical numerical model. Surrounding rock pressure is defined as the load acting on the support structure due to the deformation of the surrounding rock after tunnel excavation. Surrounding rock pressure is directly related to the selection of the lining structure and the determination of support parameters. The main challenge in designing and proceeding with the construction process is choosing a calculation method for the surrounding rock pressure for super-large sections, and this has been the focus of research among the tunnel research community. The excavation area of Liantang tunnel of Shenzhen Eastern Transit Expressway (China) is over 400 m2, making it the largest highway tunnel in the world so far. Based on this project, this paper analyses the applicability of various traditional methods of calculating the surrounding rock pressure for super-large section tunnels. In addition, based on the Tunneling Quality Index (Q), the factor of span is introduced into the method of calculating the surrounding rock pressure using the numerical simulation results of super-large symmetrical tunnels with different values of Q and different spans. Additionally, calculated correlations that could quickly estimate the surrounding rock pressure of tunnels are obtained. The comparison of surrounding rock pressures between the estimated and monitoring results of Liantang tunnel and more than 30 projects around the world effectively proves the rationality and universal applicability of the proposed correlations. This method could provide engineers and designers with a quick way to predict the surrounding rock pressure of deep super-large section underground structures during their design and construction stage. Full article
Show Figures

Graphical abstract

Back to TopTop