Sign in to use this feature.

Years

Between: -

Subjects

remove_circle_outline
remove_circle_outline
remove_circle_outline
remove_circle_outline

Journals

Article Types

Countries / Regions

Search Results (7)

Search Parameters:
Keywords = spinor bundle

Order results
Result details
Results per page
Select all
Export citation of selected articles as:
34 pages, 397 KB  
Article
Hilbert Bundles and Holographic Space–Time Models
by Tom Banks
Astronomy 2025, 4(2), 7; https://doi.org/10.3390/astronomy4020007 - 22 Apr 2025
Viewed by 2022
Abstract
We reformulate holographic space–time models in terms of Hilbert bundles over the space of the time-like geodesics in a Lorentzian manifold. This reformulation resolves the issue of the action of non-compact isometry groups on finite-dimensional Hilbert spaces. Following Jacobson, I view the background [...] Read more.
We reformulate holographic space–time models in terms of Hilbert bundles over the space of the time-like geodesics in a Lorentzian manifold. This reformulation resolves the issue of the action of non-compact isometry groups on finite-dimensional Hilbert spaces. Following Jacobson, I view the background geometry as a hydrodynamic flow, whose connection to an underlying quantum system follows from the Bekenstein–Hawking relation between area and entropy, generalized to arbitrary causal diamonds. The time-like geodesics are equivalent to the nested sequences of causal diamonds, and the area of the holoscreen (The holoscreen is the maximal d2 volume (“area”) leaf of a null foliation of the diamond boundary. I use the term area to refer to its volume.) encodes the entropy of a certain density matrix on a finite-dimensional Hilbert space. I review arguments that the modular Hamiltonian of a diamond is a cutoff version of the Virasoro generator L0 of a 1+1-dimensional CFT of a large central charge, living on an interval in the longitudinal coordinate on the diamond boundary. The cutoff is chosen so that the von Neumann entropy is lnD, up to subleading corrections, in the limit of a large-dimension diamond Hilbert space. I also connect those arguments to the derivation of the ’t Hooft commutation relations for horizon fluctuations. I present a tentative connection between the ’t Hooft relations and U(1) currents in the CFTs on the past and future diamond boundaries. The ’t Hooft relations are related to the Schwinger term in the commutator of the vector and axial currents. The paper in can be read as evidence that the near-horizon dynamics for causal diamonds much larger than the Planck scale is equivalent to a topological field theory of the ’t Hooft CR plus small fluctuations in the transverse geometry. Connes’ demonstration that the Riemannian geometry is encoded in the Dirac operator leads one to a completely finite theory of transverse geometry fluctuations, in which the variables are fermionic generators of a superalgebra, which are the expansion coefficients of the sections of the spinor bundle in Dirac eigenfunctions. A finite cutoff on the Dirac spectrum gives rise to the area law for entropy and makes the geometry both “fuzzy” and quantum. Following the analysis of Carlip and Solodukhin, I model the expansion coefficients as two-dimensional fermionic fields. I argue that the local excitations in the interior of a diamond are constrained states where the spinor variables vanish in the regions of small area on the holoscreen. This leads to an argument that the quantum gravity in asymptotically flat space must be exactly supersymmetric. Full article
Show Figures

Figure 1

15 pages, 312 KB  
Article
Spinor–Vector Duality and Mirror Symmetry
by Alon E. Faraggi
Universe 2024, 10(10), 402; https://doi.org/10.3390/universe10100402 - 19 Oct 2024
Viewed by 1298
Abstract
Mirror symmetry was first observed in worldsheet string constructions, and was shown to have profound implications in the Effective Field Theory (EFT) limit of string compactifications, and for the properties of Calabi–Yau manifolds. It opened up a new field in pure mathematics, and [...] Read more.
Mirror symmetry was first observed in worldsheet string constructions, and was shown to have profound implications in the Effective Field Theory (EFT) limit of string compactifications, and for the properties of Calabi–Yau manifolds. It opened up a new field in pure mathematics, and was utilised in the area of enumerative geometry. Spinor–Vector Duality (SVD) is an extension of mirror symmetry. This can be readily understood in terms of the moduli of toroidal compactification of the Heterotic String, which includes the metric the antisymmetric tensor field and the Wilson line moduli. In terms of the toroidal moduli, mirror symmetry corresponds to mappings of the internal space moduli, whereas Spinor–Vector Duality corresponds to maps of the Wilson line moduli. In the past few of years, we demonstrated the existence of Spinor–Vector Duality in the effective field theory compactifications of string theories. This was achieved by starting with a worldsheet orbifold construction that exhibited Spinor–Vector Duality and resolving the orbifold singularities, hence generating a smooth, effective field theory limit with an imprint of the Spinor–Vector Duality. Just like mirror symmetry, the Spinor–Vector Duality can be used to study the properties of complex manifolds with vector bundles. Spinor–Vector Duality offers a top-down approach to the “Swampland” program, by exploring the imprint of the symmetries of the ultra-violet complete worldsheet string constructions in the effective field theory limit. The SVD suggests a demarcation line between (2,0) EFTs that possess an ultra-violet complete embedding versus those that do not. Full article
Show Figures

Figure 1

26 pages, 366 KB  
Article
A Unified Quantization of Gravity and Other Fundamental Forces of Nature
by Claus Gerhardt
Universe 2022, 8(8), 404; https://doi.org/10.3390/universe8080404 - 1 Aug 2022
Cited by 3 | Viewed by 2224
Abstract
We quantized the interaction of gravity with Yang–Mills and spinor fields; hence, offering a quantum theory incorporating all four fundamental forces of nature. Let us abbreviate the spatial Hamilton functions of the standard model by HSM and the Hamilton function of [...] Read more.
We quantized the interaction of gravity with Yang–Mills and spinor fields; hence, offering a quantum theory incorporating all four fundamental forces of nature. Let us abbreviate the spatial Hamilton functions of the standard model by HSM and the Hamilton function of gravity by HG. Working in a fiber bundle E with base space S0=Rn, where the fiber elements are Riemannian metrics, we can express the Hamilton functions in the form HG+HSM=HG+t23H˜SM, if n=3, where H˜SM depends on metrics σij satisfying detσij=1. In the quantization process, we quantize HG for general σij but H˜SM only for σij=δij by the usual methods of QFT. Let v resp. ψ be the spatial eigendistributions of the respective Hamilton operators, then, the solutions u of the Wheeler–DeWitt equation are given by u=wvψ, where w satisfies an ODE and u is evaluated at (t,δij) in the fibers. Full article
(This article belongs to the Special Issue Quantum Gravity Phenomenology)
33 pages, 2371 KB  
Article
A Supersymmetry and Quantum Cryptosystem with Path Integral Approach in Biology
by Salvatore Capozziello, Richard Pinčák and Erik Bartoš
Symmetry 2020, 12(8), 1214; https://doi.org/10.3390/sym12081214 - 24 Jul 2020
Cited by 4 | Viewed by 5022
Abstract
The source of cancerous mutations and the relationship to telomeres is explained in an alternative way. We define the smallest subunit in the genetic code as a loop braid group element. The loop braid group is suitable to be defined as a configuration [...] Read more.
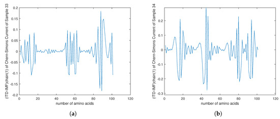
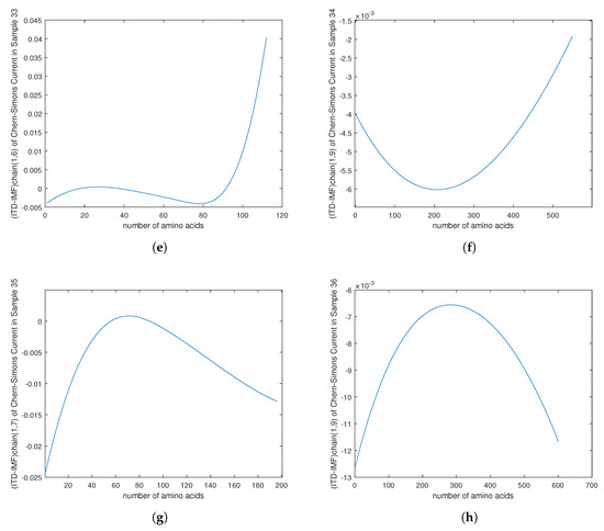
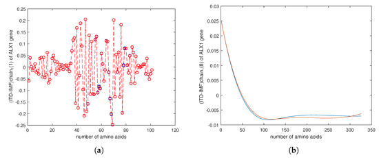
The source of cancerous mutations and the relationship to telomeres is explained in an alternative way. We define the smallest subunit in the genetic code as a loop braid group element. The loop braid group is suitable to be defined as a configuration space in the process of converting the information written in the DNA into the structure of a folded protein. This smallest subunit, or a flying ring in our definition, is a representation of 8-spinor field in the supermanifold of the genetic code. The image of spectral analysis from the tensor correlation of mutation genes as our biological system is produced. We apply the loop braid group for biology and authentication in quantum cryptography to understand the cell cocycle and division mechanism of telomerase aging. A quantum biological cryptosystem is used to detect cancer signatures in 36 genotypes of the bone ALX1 cancer gene. The loop braid group with the RSA algorithm is applied for the calculation of public and private keys as cancer signatures in genes. The key role of this approach is the use of the Chern–Simons current and then the fiber bundle representation of the genetic code that allows a quantization procedure. Full article
(This article belongs to the Section Physics)
Show Figures

Figure 1

22 pages, 344 KB  
Article
Vacuum and Spacetime Signature in the Theory of Superalgebraic Spinors
by Vadim Monakhov
Universe 2019, 5(7), 162; https://doi.org/10.3390/universe5070162 - 2 Jul 2019
Cited by 8 | Viewed by 2914
Abstract
A new formalism involving spinors in theories of spacetime and vacuum is presented. It is based on a superalgebraic formulation of the theory of algebraic spinors. New algebraic structures playing role of Dirac matrices are constructed on the basis of Grassmann variables, which [...] Read more.
A new formalism involving spinors in theories of spacetime and vacuum is presented. It is based on a superalgebraic formulation of the theory of algebraic spinors. New algebraic structures playing role of Dirac matrices are constructed on the basis of Grassmann variables, which we call gamma operators. Various field theory constructions are defined with use of these structures. We derive formulas for the vacuum state vector. Five operator analogs of five Dirac gamma matrices exist in the superalgebraic approach as well as two additional operator analogs of gamma matrices, which are absent in the theory of Dirac spinors. We prove that there is a relationship between gamma operators and the most important physical operators of the second quantization method: number of particles, energy–momentum and electric charge operators. In addition to them, a series of similar operators are constructed from the creation and annihilation operators, which are Lorentz-invariant analogs of Dirac matrices. However, their physical meaning is not yet clear. We prove that the condition for the existence of spinor vacuum imposes restrictions on possible variants of the signature of the four-dimensional spacetime. It can only be (1, 1 , 1 , 1 ), and there are two additional axes corresponding to the inner space of the spinor, with a signature ( 1 , 1 ). Developed mathematical formalism allows one to obtain the second quantization operators in a natural way. Gauge transformations arise due to existence of internal degrees of freedom of superalgebraic spinors. These degrees of freedom lead to existence of nontrivial affine connections. Proposed approach opens perspectives for constructing a theory in which the properties of spacetime have the same algebraic nature as the momentum, electromagnetic field and other quantum fields. Full article
11 pages, 408 KB  
Article
Black Holes and Exotic Spinors
by J. M. Hoff Da Silva, C. H. Coronado Villalobos and Roldao Da Rocha
Universe 2016, 2(2), 8; https://doi.org/10.3390/universe2020008 - 26 May 2016
Cited by 9 | Viewed by 5537
Abstract
Exotic spin structures are non-trivial liftings, of the orthogonal bundle to the spin bundle, on orientable manifolds that admit spin structures according to the celebrated Geroch theorem. Exotic spin structures play a role of paramount importance in different areas of physics, from quantum [...] Read more.
Exotic spin structures are non-trivial liftings, of the orthogonal bundle to the spin bundle, on orientable manifolds that admit spin structures according to the celebrated Geroch theorem. Exotic spin structures play a role of paramount importance in different areas of physics, from quantum field theory, in particular at Planck length scales, to gravity, and in cosmological scales. Here, we introduce an in-depth panorama in this field, providing black hole physics as the fount of spacetime exoticness. Black holes are then studied as the generators of a non-trivial topology that also can correspond to some inequivalent spin structure. Moreover, we investigate exotic spinor fields in this context and the way exotic spinor fields branch new physics. We also calculate the tunneling probability of exotic fermions across a Kerr-Sen black hole, showing that the exotic term does affect the tunneling probability, altering the black hole evaporation rate. Finally we show that it complies with the Hawking temperature universal law. Full article
(This article belongs to the Collection Open Questions in Black Hole Physics)
Show Figures

Figure 1

29 pages, 211 KB  
Review
Noether Symmetries and Covariant Conservation Laws in Classical, Relativistic and Quantum Physics
by Lorenzo Fatibene, Mauro Francaviglia and Silvio Mercadante
Symmetry 2010, 2(2), 970-998; https://doi.org/10.3390/sym2020970 - 29 Apr 2010
Cited by 14 | Viewed by 8313
Abstract
We review the Lagrangian formulation of (generalised) Noether symmetries in the framework of Calculus of Variations in Jet Bundles, with a special attention to so-called “Natural Theories” and “Gauge-Natural Theories” that include all relevant Field Theories and physical applications (from Mechanics to General [...] Read more.
We review the Lagrangian formulation of (generalised) Noether symmetries in the framework of Calculus of Variations in Jet Bundles, with a special attention to so-called “Natural Theories” and “Gauge-Natural Theories” that include all relevant Field Theories and physical applications (from Mechanics to General Relativity, to Gauge Theories, Supersymmetric Theories, Spinors, etc.). It is discussed how the use of Poincar´e–Cartan forms and decompositions of natural (or gauge-natural) variational operators give rise to notions such as “generators of Noether symmetries”, energy and reduced energy flow, Bianchi identities, weak and strong conservation laws, covariant conservation laws, Hamiltonian-like conservation laws (such as, e.g., so-calledADMlaws in General Relativity) with emphasis on the physical interpretation of the quantities calculated in specific cases (energy, angular momentum, entropy, etc.). A few substantially new and very recent applications/examples are presented to better show the power of the methods introduced: one in Classical Mechanics (definition of strong conservation laws in a frame-independent setting and a discussion on the way in which conserved quantities depend on the choice of an observer); one in Classical Field Theories (energy and entropy in General Relativity, in its standard formulation, in its spin-frame formulation, in its first order formulation “à la Palatini” and in its extensions to Non-Linear Gravity Theories); one in Quantum Field Theories (applications to conservation laws in Loop Quantum Gravity via spin connections and Barbero–Immirzi connections). Full article
(This article belongs to the Special Issue Entropy, Order and Symmetry)
Back to TopTop