Sign in to use this feature.

Years

Between: -

Subjects

remove_circle_outline
remove_circle_outline
remove_circle_outline
remove_circle_outline
remove_circle_outline
remove_circle_outline
remove_circle_outline
remove_circle_outline
remove_circle_outline

Journals

remove_circle_outline
remove_circle_outline
remove_circle_outline
remove_circle_outline
remove_circle_outline
remove_circle_outline
remove_circle_outline
remove_circle_outline
remove_circle_outline
remove_circle_outline
remove_circle_outline
remove_circle_outline

Article Types

Countries / Regions

remove_circle_outline
remove_circle_outline
remove_circle_outline
remove_circle_outline
remove_circle_outline

Search Results (1,610)

Search Parameters:
Keywords = spatial temporal transformer

Order results
Result details
Results per page
Select all
Export citation of selected articles as:
24 pages, 870 KB  
Review
Neuroradiological Insights into Visual Mental Imagery: Structural and Functional Imaging of Ventral and Dorsal Streams
by Saleha Redžepi, Edin Avdagić, Ajša Šahinović and Mirza Pojskić
Brain Sci. 2026, 16(4), 345; https://doi.org/10.3390/brainsci16040345 - 24 Mar 2026
Abstract
Visual mental imagery, the ability to generate and manipulate internal visual experiences without direct sensory input, links perception with memory, planning, and higher cognition. In this targeted narrative review, we synthesize neuroimaging and lesion evidence on the brain basis of visual imagery, with [...] Read more.
Visual mental imagery, the ability to generate and manipulate internal visual experiences without direct sensory input, links perception with memory, planning, and higher cognition. In this targeted narrative review, we synthesize neuroimaging and lesion evidence on the brain basis of visual imagery, with a focus on neuroradiological correlates of the ventral and dorsal visual pathways. Unlike prior cognitive neuroscience reviews that primarily emphasize functional mechanisms, this review is neuroradiology-oriented and integrates lesion patterns and white-matter disconnection to support clinico-radiological interpretation of imagery complaints. Using a dual-stream framework, we contrast ventral occipito-temporal systems that preferentially support object imagery (appearance-based features such as form, faces/objects, and color, with texture remaining under-studied) with dorsal occipito-parietal systems that preferentially support spatial imagery (relations, transformations, and navigation). Across studies, imagery recruitment is strongly task- and stage-dependent: ventral regions are most often engaged during object-focused imagery, whereas parietal regions are prominent during spatial transformation tasks, with evidence for interaction between pathways when demands require both content and spatial operations. Structural and clinico-radiological findings indicate that imagery impairment can arise from focal posterior lesions and posterior neurodegenerative syndromes but also from network disruption affecting long-range connections that support top-down access to posterior representations. Finally, emerging work on aphantasia and hyperphantasia supports a network-level view in which imagery vividness relates to how effectively higher-order systems engage visual representations. We conclude that standardized, stream-sensitive tasks and multimodal approaches combining functional and structural imaging with lesion-based evidence are key to discovering clinically actionable biomarkers of imagery dysfunction. Full article
Show Figures

Figure 1

26 pages, 2187 KB  
Article
How Does Digital Transformation Affect Cross-Regional Collaborative Innovation: Evidence from A-Share Listed Firms
by Binyu Wei, Xiaoyu Hu, Yushan Wang and Guanghui Wang
Systems 2026, 14(4), 337; https://doi.org/10.3390/systems14040337 - 24 Mar 2026
Abstract
This study utilizes digital transformation and patent data from A-share listed companies on the Shanghai and Shenzhen stock exchanges in China between 2011 and 2021 to examine the influence of digital transformation on the quality of cross-regional collaborative innovation. The findings reveal that [...] Read more.
This study utilizes digital transformation and patent data from A-share listed companies on the Shanghai and Shenzhen stock exchanges in China between 2011 and 2021 to examine the influence of digital transformation on the quality of cross-regional collaborative innovation. The findings reveal that the cooperative innovation network exhibits pronounced small-world characteristics. In terms of spatio-temporal evolution, China’s urban collaborative innovation network demonstrates a notable quadrilateral spatial structure and has evolved toward a multicenter pattern. Moreover, the advancement of digital transformation positively contributes to both the quality and quantity of cross-regional cooperative innovation. By enhancing the relational embeddedness among cities, digital transformation facilitates improved outcomes in collaborative innovation. Furthermore, when the volume of digital patent applications surpasses a certain threshold, its positive effect on the quality of cross-regional collaborative innovation accelerates. These results provide empirical evidence from a major emerging economy, offering insights that can inform policies and strategies in other regions undergoing digital transition. The mechanisms identified, such as network structure evolution and relational embeddedness, contribute to a broader understanding of how digital transformation shapes innovation dynamics across geographical boundaries in a globalized knowledge economy. Full article
(This article belongs to the Special Issue Advancing Open Innovation in the Age of AI and Digital Transformation)
Show Figures

Figure 1

23 pages, 2848 KB  
Article
From Shocks to Structure: Climate-Related Losses, Fiscal Sustainability, and Risk Governance in Europe
by Dariusz Sala, Oksana Liashenko, Kostiantyn Pavlov, Olena Pavlova, Roman Romaniuk, Igor Kotsan and Michał Pyzalski
Sustainability 2026, 18(7), 3164; https://doi.org/10.3390/su18073164 - 24 Mar 2026
Abstract
Climate-related economic losses across Europe have evolved from isolated environmental shocks to persistent, structurally embedded fiscal risks, posing a direct challenge to the long-term fiscal sustainability of European states. This study presents an empirical framework for diagnosing and quantifying this transformation across 38 [...] Read more.
Climate-related economic losses across Europe have evolved from isolated environmental shocks to persistent, structurally embedded fiscal risks, posing a direct challenge to the long-term fiscal sustainability of European states. This study presents an empirical framework for diagnosing and quantifying this transformation across 38 European countries between 1980 and 2023. Combining regime-switching time-series models with a two-part panel design, we identify temporal shifts and spatial asymmetries in loss exposure. Our findings reveal the emergence of a high-loss regime from the early 2000s, alongside a widening inequality in national vulnerability, with countries such as France, Germany, Italy, and Spain bearing a disproportionate burden. This concentration raises critical questions about the sustainability and equity of current EU risk-sharing frameworks. The two-part model further disaggregates the probability of experiencing losses from their conditional magnitude, enabling country-level estimates of expected annual losses. These results highlight the limitations of current fiscal instruments, which remain reactive and fail to align with the spatial and temporal dynamics of climate risk. We argue for a shift from climate loss management to climate loss governance, underpinned by predictive analytics, differentiated policy tools, and a reorientation of EU fiscal solidarity mechanisms. By quantifying, measuring, and spatially disaggregating climate-related fiscal exposure, this study contributes directly to the sustainability agenda: it demonstrates that climate losses are no longer exogenous disruptions but endogenous features of the European economic landscape that must be integrated into sustainable development planning, fiscal governance, and EU-level adaptation policy. Full article
(This article belongs to the Special Issue Effectiveness Evaluation of Sustainable Climate Policies)
Show Figures

Figure 1

24 pages, 17537 KB  
Article
An Adaptive Transformer-Based Language-Model Framework for Assessing Urban Expansion
by Fang Wan, Zhan Zhang, Ru Wang, Daoyu Shu, Beile Ning, Jianya Gong and Xi Li
Land 2026, 15(3), 514; https://doi.org/10.3390/land15030514 - 23 Mar 2026
Abstract
Urban expansion is a key driver of land-use change and environmental pressure in rapidly urbanizing regions. Existing assessments of urban expansion often rely on predefined indicator systems and fixed weighting schemes, which limits their adaptability to evolving research priorities and regional contexts. This [...] Read more.
Urban expansion is a key driver of land-use change and environmental pressure in rapidly urbanizing regions. Existing assessments of urban expansion often rely on predefined indicator systems and fixed weighting schemes, which limits their adaptability to evolving research priorities and regional contexts. This study develops an adaptive framework for urban expansion assessment by integrating a transformer-based language model with multi-source spatial data. A BERT-based semantic extraction process is used to identify relevant indicators and derive their relative weights from the scientific literature, enabling the construction of a literature-driven Urban Expansion Index (UEI). The framework is applied to the Central Plains Mega-city Region (CPMR), China, to examine spatial patterns and temporal dynamics of urban expansion between 2010 and 2020. Results show that UEI is primarily driven by land-use expansion indicators, while socioeconomic, infrastructure, and environmental indicators jointly reflect the multidimensional nature of expansion processes. Spatial patterns reveal a persistent concentration of high expansion intensity in core cities, alongside heterogeneous environmental responses and gradual outward growth. Changes in UEI display weaker spatial coherence than static levels, indicating differentiated local expansion dynamics. Local spatial autocorrelation analysis further identifies shifting clusters of urban expansion intensity, suggesting a reorganization of expansion centers within the agglomeration over time. By linking transformer-based indicator extraction with spatial analysis, this study advances urban expansion assessment beyond outcome-oriented mapping toward a more adaptive and knowledge-informed approach. The proposed framework is transferable to other mega-city regions and provides a useful tool for supporting territorial spatial planning and sustainable urban development. Full article
Show Figures

Figure 1

19 pages, 10157 KB  
Article
DiffVP: A Diffusion Model with Explicit Coordinate-Temporal Encoding for Viewport Prediction in 360 Videos
by Huimin Zheng, Lina Du, Xiushan Nie and Fei Dong
Electronics 2026, 15(6), 1326; https://doi.org/10.3390/electronics15061326 - 23 Mar 2026
Abstract
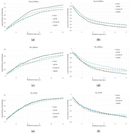
Viewport prediction is a key component in tile-based 360° video streaming. Existing viewport prediction models based on Long Short-term Memory Networks (LSTM) or Transformer typically output a single deterministic future trajectory through deterministic mapping, which fails to capture the inherent randomness in viewing [...] Read more.
Viewport prediction is a key component in tile-based 360° video streaming. Existing viewport prediction models based on Long Short-term Memory Networks (LSTM) or Transformer typically output a single deterministic future trajectory through deterministic mapping, which fails to capture the inherent randomness in viewing behavior. Moreover, when encoding trajectory features, such models often map trajectory coordinates directly into a high-dimensional space while neglecting the spatial information inherent in the coordinates themselves. Additionally, they exhibit limitations in capturing cross-modal relationships between visual and trajectory features. To address these issues, this paper proposes DiffVP, a diffusion model for viewport prediction in 360° videos. Under the constraints of viewing historical trajectories and video saliency maps, DiffVP leverages Denoising Diffusion Implicit Models (DDIMs) to model future viewing trajectories in the form of probability distributions, generating diverse and reasonable prediction results. In the denoising network, DiffVP employs Explicit Coordinate-Time Encoding (ECTE) to model the temporal dependencies of trajectories and the spatial relationships among coordinates; moreover, a Coordinate-Aware Saliency Features Fusion (CASF) module is proposed to achieve cross-modal alignment and interactive fusion of saliency and trajectory features. Experimental results on three public datasets demonstrate that DiffVP achieves the best accuracy for 2–5 s viewport prediction without sacrificing the performance of short-term (<1 s) prediction. Full article
Show Figures

Figure 1

21 pages, 19468 KB  
Article
Comparative Study of Four Hybrid Spatiotemporal Models for Daily PM2.5 Prediction in the Chengdu–Chongqing Region
by Bin Hu, Ling Zeng and Haiming Fan
Sustainability 2026, 18(6), 3126; https://doi.org/10.3390/su18063126 - 23 Mar 2026
Abstract
The Chengdu–Chongqing Twin-City Economic Circle (CC-TCEC), located in the Sichuan Basin, frequently experiences persistent winter PM2.5 pollution due to basin-constrained ventilation and strong meteorology–emission coupling. Using daily PM2.5 observations from 113 monitoring stations with a strict two-year training and one-year testing [...] Read more.
The Chengdu–Chongqing Twin-City Economic Circle (CC-TCEC), located in the Sichuan Basin, frequently experiences persistent winter PM2.5 pollution due to basin-constrained ventilation and strong meteorology–emission coupling. Using daily PM2.5 observations from 113 monitoring stations with a strict two-year training and one-year testing split, we develop hybrid spatiotemporal forecasting models that couple a graph neural network (GCN/GAT) for inter-station spatial dependence learning with a temporal backbone (LSTM/Transformer) for evolving concentration dynamics. We adopt a rolling one-day-ahead forecasting scheme using a 7-day look-back window. Across 12-month, 6-month, and 3-month evaluation windows, the meteorology-augmented Multi-GAT-Transformer shows a slight but consistent advantage over the other tested variants, suggesting potential benefits of attention-based spatial weighting and long-range temporal self-attention under nonstationary basin pollution regimes. Spatiotemporal mappings derived from the best-performing configuration suggest that elevated winter PM2.5 is mainly associated with low-lying areas such as the Chengdu Plain, industry clusters, and dense urban cores, with peaks that also coincide with the New Year and the pre-Lunar New Year period, suggesting a possible contribution from elevated traffic and production activity. These impacts are amplified by winter stagnation (low winds, high humidity, limited precipitation). From a policy perspective, the results support sustainability-oriented winter haze management by enabling early episode warning and hotspot prioritization. Full article
(This article belongs to the Section Air, Climate Change and Sustainability)
Show Figures

Figure 1

20 pages, 2605 KB  
Article
Spatial-Frequency Decoupling Alignment Encoding for Remote Sensing Change Detection
by Xu Zhang, Yue Du, Weiran Zhou and Kaihua Zhang
Sensors 2026, 26(6), 1979; https://doi.org/10.3390/s26061979 - 21 Mar 2026
Viewed by 92
Abstract
Existing remote sensing change detection methods often struggle to accurately capture the contours of complex change targets and subtle textural differences. This makes it difficult to effectively distinguish between the boundaries of change targets and the background. To address this challenge, we propose [...] Read more.
Existing remote sensing change detection methods often struggle to accurately capture the contours of complex change targets and subtle textural differences. This makes it difficult to effectively distinguish between the boundaries of change targets and the background. To address this challenge, we propose a novel method called spatial-frequency decoupling alignment encoding (SDA-Encoding), which is designed to fully leverage information from both the spatial and frequency domains. Specifically, we first use a Transformer encoder to extract bi-temporal features. Next, we apply wavelet transform to decouple these features into low-frequency and high-frequency components. In the multi-scale high-frequency interaction (MHI) module, we combine local spatial enhancement using spatial pyramid pooling with cross-scale dependency supplementation via the dual-domain alignment fusion (DAF) module. Meanwhile, in the position-aware low-frequency enhancement (PLE) module, spatial position sensitivity is restored using coordinate attention, and region-level contextual dependencies are captured through the selective fusion attention (SFA) module. Finally, the two frequency-domain branches are complementarily fused within the spatial domain to achieve unified detection of both fine-grained and structural changes. Experimental results on three benchmark datasets demonstrate the significant performance improvements of SDA-Encoding. Full article
(This article belongs to the Special Issue Image Processing and Analysis for Object Detection: 3rd Edition)
Show Figures

Figure 1

19 pages, 1711 KB  
Article
Joint Planning Method for Soft Open Points and Energy Storage in Hybrid Distribution Networks Based on Improved DC Power Flow
by Wei Luo, Chenwei Zhang, Xionghui Han, Fang Chen, Zhenyu Lv and Yuntao Zhang
Processes 2026, 14(6), 1013; https://doi.org/10.3390/pr14061013 - 21 Mar 2026
Viewed by 44
Abstract
Intelligent soft open points (SOPs) and energy storage systems (ESSs) are effective ways to absorb distributed new energy in the spatial and temporal dimensions, and play an important role in improving the new-energy-carrying capacity of distribution networks. Existing planning models for SOPs and [...] Read more.
Intelligent soft open points (SOPs) and energy storage systems (ESSs) are effective ways to absorb distributed new energy in the spatial and temporal dimensions, and play an important role in improving the new-energy-carrying capacity of distribution networks. Existing planning models for SOPs and ESSs in distribution networks are often nonlinear and non-convex, and are usually transformed into a mixed-integer second-order cone optimization (MISOCP) model. However, this transformation often needs stringent relaxation conditions, and the solution speed and convergence performance of the model are poor. These disadvantages make traditional MISOCP models unsuitable for optimal planning for complex hybrid networks. To overcome these limitations, a joint planning method for AC/DC hybrid networks based on an improved DC power flow (IDCPF) algorithm is proposed in this paper. The proposed method transforms the original nonlinear model into an approximate linear model, improving the solution speed and accuracy of the model. The effectiveness of the proposed method is validated through case studies on an improved AC/DC 43-node network, which demonstrates the accuracy and numerical stability of the planning model. Full article
Show Figures

Figure 1

25 pages, 791 KB  
Article
Artificial Intelligence Innovation and Development Pilot Zones and Green Total Factor Productivity of the Logistics Industry: An Empirical Analysis Based on Double Machine Learning
by Yonggang Ma and Jiagen Zang
Sustainability 2026, 18(6), 3092; https://doi.org/10.3390/su18063092 - 21 Mar 2026
Viewed by 34
Abstract
Although digital economic development is often viewed as a catalyst for green transformation, the causal implications of policy-driven AI deployment for low-carbon logistics development remain unclear. To address this gap, this study leverages China’s National New Generation Artificial Intelligence Innovation Development Pilot Zones [...] Read more.
Although digital economic development is often viewed as a catalyst for green transformation, the causal implications of policy-driven AI deployment for low-carbon logistics development remain unclear. To address this gap, this study leverages China’s National New Generation Artificial Intelligence Innovation Development Pilot Zones (AIIDPZs) as a quasi-natural experiment. Using panel data from 30 provincial regions from 2012 to 2022, this research employs a double machine learning framework to rigorously quantify the AIIDPZ policy’s causal effects on the logistics industry’s green total factor productivity (GTFP). We further examine underlying transmission mechanisms and spatial spillover effects. Results show that the AIIDPZ policy significantly enhances logistics GTFP, a finding robust to parallel trend tests, sample adjustments, and algorithm substitutions. Mechanism analysis reveals that the AIIDPZ policy promotes logistics GTFP by alleviating manufacturing agglomeration and collaborative agglomeration. This occurs mainly through the mitigation of environmental externalities and the easing of inter-sectoral resource competition. Heterogeneity analysis highlights substantial regional variation: the policy impact is strongest in East China, Central China, and Southwest China; positive but weaker in Northeast and Northwest China; and statistically insignificant in North and South China. Spatial econometric results confirm significant positive spillovers to neighboring regions. Temporally, the logistics industry’s GTFP shows a sustained upward trajectory, while spatially it follows a spatial pattern of “Eastern leadership, Central rise, and Western catch-up.” Robust empirical evidence is presented to evaluate the environmental outcomes of AI policy implementation, alongside policy-relevant insights for advancing coordinated and spatially differentiated regional development. Full article
Show Figures

Figure 1

24 pages, 8415 KB  
Article
UAV-Based River Velocity Estimation Using Optical Flow and FEM-Supported Multiframe RAFT Extension
by Andrius Kriščiūnas, Vytautas Akstinas, Dalia Čalnerytė, Diana Meilutytė-Lukauskienė, Karolina Gurjazkaitė, Tautvydas Fyleris and Rimantas Barauskas
Drones 2026, 10(3), 221; https://doi.org/10.3390/drones10030221 - 21 Mar 2026
Viewed by 20
Abstract
Quantifying river surface flow velocity is essential for hydrodynamic modelling, flood forecasting, and water resource management. Traditional in situ methods provide accurate point measurements but are costly and limited in spatial coverage. Unmanned aerial vehicles (UAVs) offer a flexible, non-contact alternative for high-resolution [...] Read more.
Quantifying river surface flow velocity is essential for hydrodynamic modelling, flood forecasting, and water resource management. Traditional in situ methods provide accurate point measurements but are costly and limited in spatial coverage. Unmanned aerial vehicles (UAVs) offer a flexible, non-contact alternative for high-resolution monitoring. Optical flow is a tracer-independent technique for deriving velocity fields from RGB video, making it well suited to UAV-based surveys. However, its operational use is hindered by the limited availability of annotated datasets and by instability under low-texture or noisy conditions. This study combines a Finite element method (FEM)-based physical flow model with UAV video to generate reference datasets and introduces a modified Recurrent All-Pairs Field Transforms (RAFT) architecture based on multiframe sequences. A Gated Recurrent Unit fusion module (Fuse-GRU) is incorporated prior to correlation computation, improving robustness to illumination changes and surface homogeneity while maintaining computational efficiency. The proposed model delivers stable, physically consistent velocity estimates across multiple rivers and flow conditions. Accuracy improves with higher spatial resolution and moderate temporal spacing. Compared to field measurements, the average angular difference ranged from 8 to 15°. The high error values were mainly caused by inaccuracies in the physical model and by complex river features. These findings confirm that multiframe optical flow can reproduce realistic river flow patterns with accuracy comparable to physically-based simulations, thereby supporting UAV-based hydrometric monitoring and model validation. Full article
(This article belongs to the Special Issue Drones in Hydrological Research and Management)
Show Figures

Figure 1

17 pages, 1876 KB  
Article
Pathways to Green Transition for a Resource-Based Economy: Insights from the Eco-Efficiency Dynamics of Russian Regions
by Valentin S. Batomunkuev, Bing Xia, Bair O. Gomboev, Mengyuan Wang, Yu Li, Zehong Li, Natalya R. Zangeeva, Aryuna B. Tsybikova, Marina A. Motoshkina, Aleksei V. Alekseev, Tumun Sh. Rygzynov and Suocheng Dong
Sustainability 2026, 18(6), 3071; https://doi.org/10.3390/su18063071 - 20 Mar 2026
Viewed by 39
Abstract
This paper proposes an innovative research algorithm “measurement—pattern—driving force—synergy” that determines the eco-efficiency of 83 Russian federal subjects (2000–2019) using the Slacks-Based Measure (SBM) model with non-desired outputs (incorporating comprehensive input indicators such as water resources and electricity input, and dual non-desired outputs [...] Read more.
This paper proposes an innovative research algorithm “measurement—pattern—driving force—synergy” that determines the eco-efficiency of 83 Russian federal subjects (2000–2019) using the Slacks-Based Measure (SBM) model with non-desired outputs (incorporating comprehensive input indicators such as water resources and electricity input, and dual non-desired outputs of waste gas and wastewater). Combined with hot spot analysis, a gravity center model, and panel Tobit regression, we reveal the temporal-spatial evolution and driving mechanisms of eco-efficiency in resource-based economies. The research finds that the overall eco-efficiency of Russia is at a medium level and shows a dynamic correlation with the economic development stage. In the early stage of the period under review, there was a high degree of synergy, but the efficiency declined during the period of rapid economic growth. Later, it rebounded somewhat in tie with technological progress. Spatially, it presents a special pattern of low efficiency in the western European industrialized regions and high efficiency in the Arctic and Far East peripheral regions, reflecting the spatial heterogeneity of resource-dependent economies and the survival-constrained efficiency feature. The analysis of influencing factors indicates that per capita GDP has a significant positive driving effect on eco-efficiency, but the expansion of residents’ consumption, the improvement of education level and the dependence on foreign trade all have inhibitory effects, highlighting the path dependence of the current growth model on the structure of resource consumption. The research suggests that Russia should implement differentiated spatial governance in the future, promote the green transformation of consumption and trade structures, and strengthen the ecological orientation of the education and scientific research system to achieve a fundamental transformation of regional sustainable development from survival constraints to innovation-driven. Full article
24 pages, 5799 KB  
Article
Robust Offshore Wind Power Forecasting Under Extreme Marine Conditions Using Multi-Source Feature Fusion and Kolmogorov–Arnold Networks
by Tongbo Zhu, Fan Cai and Dongdong Chen
J. Mar. Sci. Eng. 2026, 14(6), 573; https://doi.org/10.3390/jmse14060573 - 19 Mar 2026
Viewed by 27
Abstract
With the increasing penetration of offshore wind power, extreme marine conditions pose significant challenges to forecasting accuracy and grid stability. To address this issue, this study proposes a robust offshore wind power forecasting framework based on multi-source feature fusion and a hybrid TCN–BiLSTM–KAN [...] Read more.
With the increasing penetration of offshore wind power, extreme marine conditions pose significant challenges to forecasting accuracy and grid stability. To address this issue, this study proposes a robust offshore wind power forecasting framework based on multi-source feature fusion and a hybrid TCN–BiLSTM–KAN architecture. Specifically, a Temporal Convolutional Network (TCN) is employed to extract local multi-scale temporal features and suppress high-frequency disturbances, followed by a Bidirectional Long Short-Term Memory (BiLSTM) network to capture long-term temporal dependencies. A Kolmogorov–Arnold Network (KAN) is further integrated as a nonlinear mapping module to approximate complex dynamics under extreme marine conditions. The model is validated using a real-world offshore wind power dataset with a 15 min forecasting horizon, where balanced samples are constructed across different operating conditions. Experimental results demonstrate that, under extreme conditions, the proposed model achieves an RMSE of 3.58 MW and an R2 of 97.84%, with RMSE reductions of 56.8% and 42.3% compared to CNN-BiLSTM and Transformer-KAN, respectively. Furthermore, cross-site validation confirms that the model maintains stable predictive performance, indicating its preliminary spatial generalization capability. Overall, the proposed framework provides an effective solution for enhancing forecasting reliability and supporting secure grid integration of offshore wind power under extreme marine environments. Full article
(This article belongs to the Section Marine Energy)
Show Figures

Figure 1

23 pages, 3201 KB  
Article
From Stochastic Shocks to Structural Burden: Quantifying Systemic Climate-Related Economic Risks in the European Union
by Kostiantyn Pavlov, Oksana Liashenko, Olena Pavlova, Tomasz Wołowiec, Przemysław Bochenek, Kamila Ćwik and Tetiana Vlasenko
Sustainability 2026, 18(6), 3009; https://doi.org/10.3390/su18063009 - 19 Mar 2026
Viewed by 23
Abstract
Despite the well-documented acceleration of climate-related economic losses in Europe, existing research has largely treated these damages as isolated stochastic events rather than as structurally embedded fiscal risks. This gap leaves EU fiscal governance frameworks inadequately prepared for the persistent, spatially concentrated, and [...] Read more.
Despite the well-documented acceleration of climate-related economic losses in Europe, existing research has largely treated these damages as isolated stochastic events rather than as structurally embedded fiscal risks. This gap leaves EU fiscal governance frameworks inadequately prepared for the persistent, spatially concentrated, and temporally dependent nature of such losses. This study addresses this gap by investigating the systemic transformation of climate-related economic risks within the European Union, arguing that climate losses have evolved from unpredictable stochastic shocks into a persistent, structural burden on the European economy. Adopting a comprehensive multi-methodological approach, the research quantifies this transition by integrating spatial concentration metrics (HHI), advanced time-series modelling (OLS, ARIMA, ETS), and anomaly detection techniques to analyse loss patterns across the EU-27 from 1980 to 2023. The empirical results demonstrate three critical systemic dimensions: (1) a statistically significant upward shift in the baseline of economic damages; (2) a high geographical concentration of losses, with Germany, Italy, and France consistently bearing the largest share of climate-driven fiscal pressure; and (3) the emergence of volatility clustering, indicating that climate risks are becoming increasingly non-linear and embedded in the macroeconomic environment. The study contributes to the literature by reframing climate-related economic losses as a systemic fiscal phenomenon requiring structural governance reform, rather than ad hoc disaster response. The findings suggest that existing reactive policy frameworks are insufficient to address the scale of these structural risks. Consequently, the paper advocates for a paradigm shift in EU climate policy—moving toward anticipatory fiscal instruments, harmonised resilience financing, and monitoring systems designed to mitigate systemic volatility and cross-country economic asymmetry rather than merely responding to isolated disaster events. Full article
Show Figures

Figure 1

20 pages, 3290 KB  
Article
Decoding the Urban Digital Landscape for Sustainable Infrastructure Planning: Evidence from Mobile Network Traffic in Beijing
by Jiale Qian, Sai Wang, Yi Ji, Zhen Wang, Ruihua Dang and Yunpeng Wu
Sustainability 2026, 18(6), 3007; https://doi.org/10.3390/su18063007 - 19 Mar 2026
Viewed by 10
Abstract
Sustainable urban development increasingly depends on understanding how digital activity is distributed across space and time, yet the spatiotemporal dynamics of the urban digital landscape remain poorly mapped by conventional data sources. This study uses Beijing as an empirical testbed, applying a multi-dimensional [...] Read more.
Sustainable urban development increasingly depends on understanding how digital activity is distributed across space and time, yet the spatiotemporal dynamics of the urban digital landscape remain poorly mapped by conventional data sources. This study uses Beijing as an empirical testbed, applying a multi-dimensional analytical framework to massive mobile network traffic data to decode the metabolic rhythms, distributional laws, and functional organization of the urban digital landscape. The results reveal three findings. First, the urban digital landscape exhibits a sleepless trapezoidal temporal rhythm characterized by continuous saturation without a midday trough and a quantifiable weekend activation lag, indicating that digital metabolism is structurally decoupled from physical mobility patterns. Second, digital traffic follows a skew-normal distribution consistent with a 20/70 rule of spatial polarization, in which the top 20% of super-connector nodes sustain approximately 70% of total urban digital flow, yielding a Gini coefficient of 0.68 as a measurable indicator of infrastructure inequality and systemic vulnerability. Third, four distinct functional prototypes are identified—ranging from continuously active metropolitan cores to inverse-tidal ecological peripheries—empirically validating Beijing’s polycentric transformation through the lens of digital flows. These findings demonstrate that large-scale mobile network traffic data offers a replicable and structurally distinct lens for sustainable urban digital governance, supporting resilient network planning, equitable allocation of digital resources, and evidence-based monitoring of urban functional transformation in rapidly growing megacities. Full article
Show Figures

Figure 1

32 pages, 5735 KB  
Article
Conceptual Framework for a Proactive Landslide Cadaster Integrating Climate–Geomechanical Interface Parameters
by Tamara Bračko and Bojan Žlender
Geographies 2026, 6(1), 34; https://doi.org/10.3390/geographies6010034 - 18 Mar 2026
Viewed by 53
Abstract
Increasing frequency and intensity of extreme precipitation events, together with altered soil saturation dynamics, have significantly increased the occurrence of shallow landslides. These processes are closely linked to climate change and increasingly affect mountainous and hilly regions worldwide, where rainfall-induced pore pressure variations [...] Read more.
Increasing frequency and intensity of extreme precipitation events, together with altered soil saturation dynamics, have significantly increased the occurrence of shallow landslides. These processes are closely linked to climate change and increasingly affect mountainous and hilly regions worldwide, where rainfall-induced pore pressure variations and transient infiltration govern slope instability. Despite growing recognition of climate-driven slope failures, most conventional geomechanical analyses still rely on static assumptions and simplified boundary conditions, which are insufficient to capture the pronounced temporal variability of hydro-climatic forcing. To address this gap, this study introduces a conceptual and methodological framework for a proactive landslide cadaster, developed within the Climate Adaptive Resilience Evaluation (CARE) framework. Rather than serving as a static inventory of past events, the proposed cadaster functions as a structured, updatable repository of climate–geomechanical parameters that directly support advanced landslide analyses. The core innovation lies in the formalization of the climate–geomechanical interface, which enables the transformation of climatic and hydrological variables into parameters directly applicable in geomechanical modeling. These parameters encompass climatic, hydrological, geomechanical, and thermo-hydraulic processes and are assigned to spatially referenced locations, complemented by documented landslide occurrences. Their spatial distribution forms a network of reference points that allows interpolation, continuous updating, and reuse across multiple analyses. In this way, the cadaster becomes a proactive, process-based data infrastructure, serving as the foundational input for scenario-based landslide susceptibility, hazard, and risk assessments within the CARE analytical workflow. The conceptual framework is illustrated through an example from Slovenia, focusing on the Visole area near Maribor, where selected data types and workflow steps are presented for demonstration purposes. Full article
Show Figures

Figure 1

Back to TopTop